Fiche de mathématiques
> >

Bac Scientifique
Polynésie Française - Session de remplacement Septembre 2007

Partager :
Pour les candidats ayant suivi l'enseignement de spécialité :
Durée de l'épreuve : 4 heures - Coefficient 9


Les calculatrices électroniques de poche sont autorisées, conformément à la réglementation en vigueur.
Du papier millimétré est mis à la disposition du candidat.
Le sujet est composé de 4 exercices indépendants. Le candidat doit traiter tous les exercices.
Dans chaque exercice, le candidat peut admettre un résultat précédemment donné dans le texte pour aborder les questions suivantes, à condition de l'indiquer clairement sur la copie.
La qualité et la précision de la rédaction seront prises en compte dans l'appréciation des copies.
7 points

exercice 1 - Commun à tous les candidats

On désigne par (E) l'ensemble des fonctions f continues sur l'intervalle [0 ; 1] et vérifiant les conditions (P_{1}), (P_{2}) et (P_{3}) suivantes :
    (P_{1}) : f est strictement croissante sur l'intervalle [0 ; 1].
    (P_{2}) : f(0) = 0 et f(1) = 1.
    (P_{3}) : pour tout réel x de l'intervalle [0 ; 1],  f(x) \le x.

Dans un repère orthonormal (O ; \vec{i},\vec{j}) du plan, on note (\mathcal{C}_{f}) la courbe représentative d'une fonction f de l'ensemble (E) et (D) la droite d'équation y = x.

À toute fonction f de (E), on associe le nombre réel I_{f}= \displaystyle\int_{0}^1  [x - f(x)] \text{d}x.

1. a) Une seule des trois courbes ci-dessous représente une fonction de (E).
La déterminer en justifiant l'élimination des deux autres.
Bac S Spécialité Polynésie Française Session de remplacement Septembre 2007 - terminale : image 7

    b) Montrer que, pour toute fonction f de (E), I_{f} \ge 0.

2. Soit h la fonction définie sur l'intervalle [0 ; 1] par h(x) = 2^x - 1.
(On rappelle que, pour tout x réel, 2^x = \text{e}^{x\ln 2}).
    a) Montrer que la fonction h vérifie les conditions (P_{1}) et (P_{2}).
    b) Soit \varphi la fonction définie sur l'intervalle [0 ; 1] par \varphi(x) = 2^x - x - 1.
Montrer que, pour tout x de [0 ; 1], \varphi(x) \le 0. (On pourra étudier le sens de variation de la fonction \varphi sur [0 ; 1]).
En déduire que la fonction h appartient à l'ensemble (E).
    c) Montrer que le réel I_{h} associé à la fonction h est égal à \dfrac{3}{2} - \dfrac{1}{\ln 2}.

3. Soit P une fonction définie sur l'intervalle [0 ; 1] par P(x)=ax^2 +b x+ ca, b et c sont trois nombres réels tels que 0 < a < 1.
On se propose de déterminer les valeurs des réels a, b et c pour que la fonction P appartienne à l'ensemble (E) et que I_{p} = I_{h}.
    a) Montrer que la fonction P vérifie la propriété (P_{2}) si et seulement si, pour tout réel x de l'intervalle [0 ; 1], P(x) = ax^2 +(1 - a)x.
Montrer que toute fonction P définie sur [0 ; 1] par P(x)=ax^2 +(1 - a)x avec 0 < a < 1 appartient à (E).
    b) Exprimer en fonction de a le réel I_{P} associé à la fonction P.
    c) Montrer qu'il existe une valeur du réel a pour laquelle I_{P} = I_{h}.
Quelle est cette valeur ?


4 points

exercice 2 - Commun à tous les candidats

On considère un cube ABCDEFGH d'arête de longueur 3.
Bac S Spécialité Polynésie Française Session de remplacement Septembre 2007 - terminale : image 2


On choisit le repère orthonormal \left(\text{D}~;~\vec{\i},~\vec{\j},~\vec{k}\right) tel que \vec{\i} = \dfrac{1}{3}\overrightarrow{\text{DA}}, \vec{\j} = \dfrac{1}{3}\overrightarrow{\text{DC}} et \vec{k} = \dfrac{1}{3}\overrightarrow{\text{DH}}.

1. a) Donner les coordonnées des points A, C et E.
    b) Déterminer les coordonnées du point L barycentre du système {(C ; 2) , (E ; 1)}.
    c) Déterminer les coordonnées des vecteurs \overrightarrow{\text{AE}} et \overrightarrow{\text{DL}}.

2. Soit (a , b) un couple de réels. On note M le point de la droite (AE) tel que\overrightarrow{\text{AM}} = a\overrightarrow{\text{AE}} et N le point de la droite (DL) tel que \overrightarrow{\text{DN}} = b\overrightarrow{\text{DL}}.
    a) Montrer que le vecteur \overrightarrow{\text{MN}} est orthogonal aux vecteurs \overrightarrow{\text{AE}} et \overrightarrow{\text{DL}} si et seulement si le couple (a , b) vérifie le système \left\lbrace\begin{array}{l c l}- a + 2b& =&1 \\ 3a - b& =& 0 \end{array}\right.
    b) En déduire qu'il existe un seul point M0 de (AE) et un seul point N0 de (DL) tels que la droite (M0N0) est orthogonale aux droites (AE) et (DL).
    c) Déterminer les coordonnées des points M0 et N0 puis calculer la distance M0N0.


4 points

exercice 3 - Commun à tous les candidats

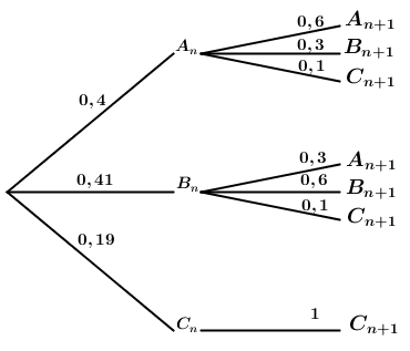
La végétation d'un pays imaginaire est composée initialement de trois types de plantes :
40 % sont de type A, 41 % de type B et 19 % de type C.
On admet qu'au début de chaque année :
    chaque plante de type A disparaît et elle est remplacée par une et une seule nouvelle plante de type A, B ou C.
    chaque plante de type B disparaît et elle est remplacée par une et une seule nouvelle plante de type A, B ou C.
    chaque plante de type C disparaît et elle est remplacée par une et une seule nouvelle plante de type C.

La probabilité qu'une plante de type A soit remplacée par une plante de même type est 0,6 et celle qu'elle le soit par une plante de type B est 0,3.
La probabilité qu'une plante de type B soit remplacée par une plante de même type est 0,6 et celle qu'elle le soit par une plante de type A est 0,3.

Au début de chaque année, on choisit au hasard une plante dans la végétation et on relève son type.

Pour tout entier naturel n non nul, on note:
    A_{n} l'évènement « la plante choisie la n-ième année est de type A »,
    B_{n} l'évènement « la plante choisie la n-ième année est de type B »,
    C_{n} l'évènement « la plante choisie la n-ième année est de type C ».
On désigne par p_{n}, q_{n} et r_{n} les probabilités respectives des événements A_{n}, B_{n} et C_{n}.
Bac S Spécialité Polynésie Française Session de remplacement Septembre 2007 - terminale : image 6

Compte tenu de la composition initiale de la végétation (début de l'année n°0) on pose :
p_{0} = 0,40, q_{0} = 0,41 et r_{0} = 0,19.

1. Recopier sur la copie et compléter l'arbre pondéré ci-contre, en remplaçant chaque point d'interrogation par la probabilité correspondante. Aucune justification n'est demandée pour cette question.

2. a) Montrer que p_{1} = 0,363 puis calculer q_{1} et r_{1}.
    b) Montrer que, pour tout entier naturel n non nul,
\left\lbrace\begin{array}{l c l} p_{n+1}&=& 0,6p_{n} + 0,3 q_{n} \\ q_{n+1}& =& 0,3p_{n} + 0,6q_{n} \end{array}\right.

3. On définit les suites \left(S_{n}\right) et \left(D_{n}\right) sur \mathbb{N} par
S_{n} = q_{n} + p_{n} et D_{n} = q_{n} - p_{n}.
    a) Montrer que \left(S_{n}\right) est une suite géométrique dont on précisera la raison.
On admet que \left(D_{n}\right) est une suite géométrique de raison 0,3.
    b) Déterminer les limites des suites \left(S_{n}\right) et \left(D_{n}\right).
    c) En déduire les limites des suites \left(p_{n}\right), \left(q_{n}\right) et \left(r_{n}\right).
Interpréter le résultat.



5 points

exercice 4 - Épreuve de spécialité

Pour cet exercice, les figures correspondant aux parties A et B sont fournies sur la feuille jointe en annexe. Cette feuille ne sera pas remise avec la copie.

Le plan complexe est rapporté à un repère orthonormal direct (O ; \vec{u},\vec{v}).
On considère un triangle OAB et une similitude directe \sigma de centre O, de rapport \lambda et d'angle \theta.
Soit :
    les points A' et B', images respectives des points A et B par la similitude \sigma ;
    les points I, milieu du segment [A'B] et J, milieu du segment [AB'] ;
    le point M milieu du segment [AA'] ;
    le point H, projeté orthogonal du point O sur la droite (AR) et le point H' image du point H par la similitude \sigma.

Partie A. Étude d'un exemple

Dans cette partie, le point A a pour affixe -6 + 4i, le point B a pour affixe 2 + 4i, et le point H, projeté orthogonal du point O sur la droite (AB), a donc pour affixe 4i.
La similitude \sigma est la similitude directe de centre O, de rapport \dfrac{1}{2} et d'angle \dfrac{\pi}{2}.

1. Déterminer les affixes des points A', B' et H'.

2. Montrer que la droite (IJ) est perpendiculaire à la droite (HH').
Bac S Spécialité Polynésie Française Session de remplacement Septembre 2007 - terminale : image 8


Partie B. Étude du cas général

1. a) Montrer que H' est le projeté orthogonal du point O sur la droite (A'B').
    b) Montrer que \overrightarrow{\text{MI}} = \dfrac{1}{2}\overrightarrow{\text{AB}}. On admet que \overrightarrow{\text{MJ}} = \dfrac{1}{2}\overrightarrow{\text{A}'\text{B}'}.
    c) En déduire que \dfrac{\text{MJ}}{\text{MI}} = \dfrac{\text{OH}'}{\text{OH}} et que \left(\overrightarrow{\text{MI}},\overrightarrow{\text{MJ}}\right)  = \left(\overrightarrow{\text{OH}},\overrightarrow{\text{OH}'}\right) + k\times 2\pi,~ k \in \mathbb{Z}.

2. On appelle s la similitude directe qui transforme M en O et I en H.
On note K l'image du point J par la similitude s.
    a) Montrer que OK= OH', puis que \left(\overrightarrow{\text{MI}},\overrightarrow{\text{MJ}}\right)  =\left(\overrightarrow{\text{OH}},\overrightarrow{\text{OK}}\right)  + k\times 2\pi,~ k \in \mathbb{Z}.
    b) En déduire que le point H' est l'image du point J par la similitude s.
3. Montrer que \left(\overrightarrow{\text{IJ}},\overrightarrow{\text{HH}'}\right) = \left(\overrightarrow{\text{MI}},\overrightarrow{\text{OH}}\right) + k\times 2\pi,~ k \in \mathbb{Z}.
Montrer que la droite (IJ) est perpendiculaire à la droite (HH').
Bac S Spécialité Polynésie Française Session de remplacement Septembre 2007 - terminale : image 10








exercice 1

1. a) La proposition (P_3) veut dire géométriquement que :
\text{ Sur l'intervalle [0 ; 1], la courbe } (\mathcal{C}_f) \text{ représentative de la fonction }f \text{ est en-dessous de la droite (D) d'équation }y=x

Cette proposition n'est vérifiée ni par la courbe n°2 ni par la courbe n°3.
\boxed{\text{ La courbe qui représente donc une fonction de l'ensemble (E) est la courbe n°1 }}

1. b) Soit f une fonction de l'ensemble (E), on a:
f est continue sur l'intervalle [0 ; 1]
Pour tout réel x de l'intervalle [0 ; 1], 0 \le x-f(x)
Donc, l'intégrale \displaystyle \int_0^1 \left[x-f(x)\right] \text{d}x est positive, il s'ensuit que I_f\ge 0
On conclut que:
\boxed{\forall f\in (E)\text{ : } I_f\ge 0 }

2. a) Pour tout x de [0;1]\text{ : }
 h(x)=2^x-1=\text{e}^{x\ln 2}-1

Puisque les deux fonctions x\mapsto \ln (2) x \text{ et } x\mapsto e^x-1 sont dérivables sur \mathbb{R}, donc h est dérivable sur \mathbb{R} par composition, il s'ensuit que h est dérivable sur [0;1]
On a donc:
\forall x \in[0;1]\text{ : }h'(x)=\left(\text{e}^{x\ln 2}-1\right)'=(x\ln 2)'\text{e}^{x\ln 2}=\boxed{\ln (2)\text{e}^{x\ln 2}}

On sait que
\forall x \in [0;1]\text{ : } \text{e}^{x\ln 2}>0

On en tire que
\forall x\in[0;1]\text{ : } h'(x)>0

Donc:
h \text{ est une fonction strictement croissante sur l'intervalle } [0;1] \text{ et la propriété } (P_1) \text{ est vérifiée. }\red{(I)}

D'autre part:
\begin{cases} h(0)=\text{e}^{0\times\ln 2}-1=1-1=0 \\h(1)=\text{e}^{1\times\ln 2}-1=\text{e}^{\ln 2}-1=2-1=1\end{cases}\text{ et donc la propriété } (P_2) \text{ est vérifiée } \red{(II)}

De \red{(I)} \black{\text{ et }} \red{(II)} :
\boxed{\text{ La fonction }h \text{ vérifie les conditions } (P_{1}) \text{ et } (P_{2})}

2. b) Pour tout x de [0;1] \text{ : }
\varphi (x)= 2^x - x - 1=h(x)-x

Les fonctions h et x\mapsto x sont dérivables sur [0;1] , il en est alors de même pour la fonction \varphi.
Et on peut écrire:
\forall x\in[0;1]\text{ : }\varphi'(x)=(h(x)-x)'=h'(x)-1=\boxed{\ln (2)\text{e}^{x\ln 2}-1}

1re méthode :
Résolvons l'inéquation \varphi'(x)\le 0 sur l'intervalle [0;1]
\varphi'(x)\le 0\Longleftrightarrow \ln (2)\text{e}^{x\ln 2}-1 \le 0 \Longleftrightarrow \text{e}^{x\ln 2}\le \dfrac{1}{\ln 2}\Longleftrightarrow x\ln 2\le \ln\left(\dfrac{1}{\ln 2}\right)\Longleftrightarrow x\ln 2\le -\ln\left(\ln 2\right) \Longleftrightarrow x\le \dfrac{-\ln\left(\ln 2\right)}{\ln 2}

De même pour l'inéquation
\varphi'(x)\ge 0\Longleftrightarrow x\ge \dfrac{-\ln\left(\ln 2\right)}{\ln 2}

Avec
\varphi'\left(\dfrac{-\ln\left(\ln 2\right)}{\ln 2}\right)= 0

En notant \theta=\dfrac{-\ln\left(\ln 2\right)}{\ln 2} et en s'assurant que \theta=\dfrac{-\ln\left(\ln 2\right)}{\ln 2}\approx 0,53\in[0;1]
On trace le tableau de variations de la fonction \varphi, en tenant compte de \varphi(0)=0 \text{ et } \varphi(1)=0 :
\begin{tabvar}{|C|CCCCC|}      \hline  x                      & 0        &      & \theta               &        & 1      \\ \hline  \varphi'(x)            &          &    - & \barre{0}       &  +     &        \\ \hline \niveau{2}{3} \varphi  & 0       &     \decroit &\varphi(\theta)&  \croit  &   0    \\ \hline \end{tabvar}

On en déduit :
\boxed{\forall x\in[0;1] \text{ , } \varphi(x)\le 0 }

2e méthode : (qui demande moins de calculs)
\varphi''(x)=(\ln2)^2\text{e}^{x\ln2}>0 donc \varphi' est croissante sur [0;1]. Comme \varphi'(0)=\ln2-1< 0 \text{ et }\varphi'(1)= 2\ln2 - 1 > 0 , on obtient :
\begin{tabvar}{|C|CCCCC|}      \hline  x                      & 0        &      & \theta               &        & 1      \\ \hline \varphi''                &   &&    +                               &&   \\ \hline  \niveau{2}{3}\varphi'            &  \ln2-1<0        &&  \croit  &  2\ln2-1 >0   &  \\ \hline \niveau{2}{3} \varphi  & 0       &     \decroit &\varphi(\theta)&  \croit  &   0    \\ \hline \end{tabvar}


On en déduit :
\boxed{\forall x\in[0;1] \text{ , } \varphi(x)\le 0 }

Or, pour tout x de [0;1] \text{ , }\varphi(x)=h(x)-x, donc :
\forall x\in[0;1]\text{ , } h(x)\le x

Et donc :
h \text{ vérifie la propriété } (P_3) ~ ~ \red{(III)}

De \red{(I) }\black{,} \red{(II)} }\text{ \black{et} } \red{(III)} :
\boxed{h\in (E)}

2. c) Calcul de I_h :
\begin{matrix}I_h&=&\displaystyle\int_{0}^{1} \left(x-h(x)\right) \text{d}x&=&\displaystyle\int_{0}^{1} \left(x-2^x+1\right) \text{d}x\\&=&\displaystyle\int_{0}^{1} \left(x-\text{e}^{x\ln2}+1\right) \text{d}x&=&\displaystyle\int_{0}^{1} x \text{d}x-\dfrac{1}{\ln 2}\int_{0}^{1}\ln(2)\text{e}^{x\ln2}\text{d}x+\int_{0}^{1} \text{d}x\\&=&\left[\dfrac{x^2}{2}\right]_0^1-\dfrac{1}{\ln 2}\left[\text{e}^{x\ln2}\right]_0^1+[x]_0^1&=&\dfrac{1}{2}-\dfrac{1}{\ln 2}\left(e^{\ln 2} -e^0\right)+1\\&=&\dfrac{1}{2}-\dfrac{1}{\ln 2}\left(2-1\right)+1&=&\boxed{\dfrac{3}{2}-\dfrac{1}{\ln 2}}\end{matrix}

3. a)
P \text{ vérifie la propriété } (P_{2}) \Longleftrightarrow \begin{cases} P(0)=0\\P(1)=1\end{cases}\Longleftrightarrow  \begin{cases} c=0 \\ a +b+ c=1\end{cases} \Longleftrightarrow \begin{cases} c=0\\b=1-a\end{cases}\Longleftrightarrow \boxed{\forall x\in[0;1]\text{ : }P(x)= ax^2+(1-a)x }

3. b)
I_P=\displaystyle\int_{0}^{1} \left(x-P(x)\right) \text{d}x=\displaystyle\int_{0}^{1} \left(x-ax^2-(1-a)x\right) \text{d}x=\displaystyle\int_{0}^{1} \left(-ax^2+ax\right) \text{d}x=a\left[-\dfrac{x^3}{3}+\dfrac{x^2}{2}\right]_0^1=a\left[-\dfrac{1}{3}+\dfrac{1}{2}\right]=\boxed{\dfrac{a}{6}}

3. c)Puisque 0<a<1, on a :
0<I_P=\dfrac{a}{6}<\dfrac{1}{6}
.
Or, on a \dfrac{3}{2}-\dfrac{1}{\ln 2}\approx 0,057 et \dfrac{1}{6}\approx 0,167 , donc :
0<I_h<\dfrac{1}{6}
.
Et donc :
\boxed{ \text{ Il existe } a \text{ pour lequel }I_P=I_h}

Valeur de a :
I_P=I_h\Longleftrightarrow \dfrac{a}{6}= \dfrac{3}{2}-\dfrac{1}{\ln 2}\Longleftrightarrow \boxed{a=9-\dfrac{6}{\ln 2}}

Or, a=9-\dfrac{6}{\ln 2}\approx 0,34, donc 0<a<1 et la valeur convient

exercice 2


1. a) D est l'origine du repère, alors D(0;0;0).
Coordonnées du point A :
\vec{i} = \dfrac{1}{3}\overrightarrow{\text{DA}}\Longleftrightarrow \overrightarrow{\text{DA}}=3 \vec{i}\Longleftrightarrow  \boxed{A(3;0;0)}

De même:
Coordonnées du point C :
\vec{j} = \dfrac{1}{3}\overrightarrow{\text{DC}}\Longleftrightarrow \boxed{C(0;3;0)}

Coordonnées du point E :
\overrightarrow{DE}=\overrightarrow{DH}+\overrightarrow{DA}\Longleftrightarrow \overrightarrow{DE}=3\vec{i}+3\vec{k} \Longleftrightarrow\boxed{E(3;0;3)}

1. b) La somme des coefficients n'est pas nulle, L est le barycentre du système \lbrace(C ; 2) , (E ; 1)\rbrace, équivaut à dire :
2\overrightarrow{LC}+\overrightarrow{LE}=\overrightarrow{0}

Soit :
2\overrightarrow{LC}+\overrightarrow{LE}=\overrightarrow{0}\Longleftrightarrow \begin{cases}2(x_C-x_L)+(x_E-x_L)=0\\2(y_C-y_L)+(y_E-y_L)=0\\2(z_C-z_L)+(z_E-z_L)=0\end{cases}\Longleftrightarrow \begin{cases}-2x_L+3-x_L=0\\6-2y_L-y_L=0\\-2z_L+3-z_L=0\end{cases}\Longleftrightarrow\boxed{L(1;2;1)}

1. c)
\overrightarrow{AE}(x_E-x_A;y_E-y_A;z_E-z_A)\Longleftrightarrow \overrightarrow{AE}(3-3;0-0;3-0)\Longleftrightarrow \boxed{\overrightarrow{AE}(0;0;3)}

\overrightarrow{DL}(x_L-x_D;y_L-y_D;z_L-z_D)\Longleftrightarrow \overrightarrow{DL}(x_L;y_L;z_L)\Longleftrightarrow \boxed{\overrightarrow{DL}(1;2;1)}

2. a) On a :
\overrightarrow{MN}=\overrightarrow{MA}+\overrightarrow{AD}+\overrightarrow{DN}=-a\overrightarrow{AE}+\overrightarrow{AD}+b\overrightarrow{DL}

Rappelons aussi que :
\overrightarrow{AE}(0;0;3)\text{ , }  \overrightarrow{DL}(1;2;1)\text{ et } \overrightarrow{AD}(-3;0;0)\left(\text{car: }\overrightarrow{AD}=-3\vec{i} \right)

On obtient :
\begin{matrix} \begin{cases} \overrightarrow{MN}\perp \overrightarrow{AE} \\ \overrightarrow{MN}\perp \overrightarrow{DL}\end{cases} &\Longleftrightarrow & \begin{cases}   \overrightarrow{MN}.\overrightarrow{AE}=0\\ \overrightarrow{MN}. \overrightarrow{DL}=0\end{cases}&\Longleftrightarrow& \begin{cases}\left(-a\overrightarrow{AE}+\overrightarrow{AD}+b\overrightarrow{DL}\right).\overrightarrow{AE}=0\\\left(-a\overrightarrow{AE}+\overrightarrow{AD}+b\overrightarrow{DL}\right).\overrightarrow{DL}=0\end{cases} \\&\Longleftrightarrow& \begin{cases}-a\overrightarrow{AE}.\overrightarrow{AE}+\overrightarrow{AD}.\overrightarrow{AE}+b\overrightarrow{DL}.\overrightarrow{AE}=0\\-a\overrightarrow{AE}.\overrightarrow{DL}+\overrightarrow{AD}.\overrightarrow{DL}+b\overrightarrow{DL}.\overrightarrow{DL}=0\end{cases}&\Longleftrightarrow &\begin{cases} -3^2a+0+3b=0\\-3a-3+b(1^2+2^2+1^2)=0\end{cases} \\&\Longleftrightarrow& \begin{cases} -9a+3b=0\\-3a-3+6b=0\end{cases}  \end{matrix}

Conclusion :
\boxed{\text{ Le vecteur }\overrightarrow{MN} \text{ est orthogonal aux vecteurs } \overrightarrow{AE} \text{ et } \overrightarrow{DL} \text{ si et seulement si a et b vérifient } \begin{cases} 3a-b=0\\-a+2b=1\end{cases}}

2. b) Résolvons le système \left\lbrace\begin{array}{l c l}- a + 2b& =&1 \\ 3a - b& =& 0 \end{array}\right
\begin{cases} 3a-b=0\\-a+2b=1\end{cases}\Longleftrightarrow \begin{cases} 6a-2b=0\\-a+2b=1\end{cases}\Longleftrightarrow \begin{cases} 5a=1\\b=\dfrac{a+1}{2}\end{cases}\Longleftrightarrow \begin{cases} a=\dfrac{1}{5}\\b=\dfrac{3}{5}\end{cases}

Le système admet une solution unique, donc il existe deux points M_0 et N_0 uniques appartenant respectivement aux droites (AE) et (DL) avec \overrightarrow{M_0N_0} orthogonal aux vecteurs \overrightarrow{\text{AE}} et \overrightarrow{\text{DL}}
On en déduit que :
\boxed{\text{ Il existe un seul point } M_0 \text{ de } (AE) \text{ et un seul point } N_0 \text{ de } (DL) \text{ tels que la droite } (M_0N_0) \text{ est orthogonale aux droites } (AE) \text{ et } (DL)}

2. c) D'après le 2. b)
\overrightarrow{AM_0} = \dfrac{1}{5}\overrightarrow{\text{AE}} et \overrightarrow{DN_0} = \dfrac{3}{5}\overrightarrow{\text{DL}}

\overrightarrow{AM_0} = \dfrac{1}{5}\overrightarrow{\text{AE}}\Longleftrightarrow \begin{cases}x_{M_0}=\dfrac{1}{5}\times 0+3\\y_{M_0}=\dfrac{1}{5}\times 0+0\\z_{M_0}=\dfrac{1}{5}\times 3+0\end{cases} \Longleftrightarrow \begin{cases}x_{M_0}=3\\y_{M_0}=0\\z_{M_0}=\dfrac{3}{5}\end{cases}\Longleftrightarrow\boxed{M_0\left(3;0;\dfrac{3}{5}\right)}
\overrightarrow{DN_0} = \dfrac{3}{5}\overrightarrow{\text{DL}}\Longleftrightarrow \begin{cases}x_{N_0}=\dfrac{3}{5}\times 1\\y_{N_0}=\dfrac{3}{5}\times 2\\z_{N_0}=\dfrac{3}{5}\times 1\end{cases} \Longleftrightarrow\boxed{N_0\left(\dfrac{3}{5};\dfrac{6}{5};\dfrac{3}{5}\right)}
Calcul de la distance M_0N_0 :
M_0N_0=\sqrt{(x_{N_0}-x_{M_0})^2+(y_{N_0}-y_{M_0})^2+(z_{N_0}-z_{M_0})^2}=\sqrt{\left(\dfrac{3}{5}-3\right)^2+\left(\dfrac{6}{5}-0\left)^2+\left(\dfrac{3}{5}-\dfrac{3}{5}\right)^2}=\sqrt{\dfrac{36}{5}}=\dfrac{6}{\sqrt{5}}=\boxed{\dfrac{6\sqrt{5}}{5}}


exercice 3

1. On complète l'arbre :
Bac S Spécialité Polynésie Française Session de remplacement Septembre 2007 - terminale : image 1

2. a) L'événement "la plante choisie la 1ère année est de type A" a pour probabilité :
p_1=p(A_0\cap A_1)+p(B_0\cap A_1)=0,4\times0,6+0,41\times 0,3=\boxed{0,363}

L'événement "la plante choisie la la 1ère année est de type B" a pour probabilité :
q_{1}=p(A_0\cap B_1)+p(B_0\cap B_1)=0,4\times 0,3+0,41\times 0,6=\boxed{0,366}

L'énévement "la plante choisie la 1ère année est de type C" a pour probabilité :
r_1=1-(p_1+q_1)=1-(0,363+0,366)=\boxed{0,271}

2. b) Pour tout entier naturel n, la situation à la n-ème année se représente d'après l'énoncé par l'arbre suivant :
Bac S Spécialité Polynésie Française Session de remplacement Septembre 2007 - terminale : image 3

Donc, directement :
\boxed{\forall n \in \mathbb{N}\text{ , } \left\lbrace\begin{array}{l c l} p_{n+1}&=& 0,6p_{n} + 0,3 q_{n} \\ q_{n+1}& =& 0,3p_{n} + 0,6q_{n} \end{array}\right. }

3. a) La suite (S_n) est définie par :
\forall n\in\mathbb{N}\text{ , }S_{n} = q_{n} + p_{n}

Donc :
\begin{matrix}\forall n\in\mathbb{N}\text{ , } S_{n+1}&=&q_{n+1} + p_{n+1}\\&=& 0,3p_{n} + 0,6q_{n} +0,6p_{n} + 0,3 q_{n}\\&=&0,9p_n+0,9q_{n}\\&=&0,9(p_n+q_{n})\\&=&\boxed{0,9 S_n}\end{matrix}

On conclut que :
\boxed{ \text{ La suite } (S_n)_{n\in\mathbb{N}} \text{ est une suite géométrique de raison } 0,9 }

3. b) Les raisons des deux suites géométriques (S_n) et (D_n) (à savoir 0,9 et 0,3) appartiennent tout les deux à ]0;1[, donc :
\boxed{ \displaystyle\lim_{n\to+\infty}S_n=\lim_{n\to+\infty}D_n=0}

3. c) On a pour tout n de \mathbb{N} ,
\begin{cases} S_{n} = q_{n} + p_{n}\\D_{n} = q_{n} - p_{n}\end{cases}

Donc, pour tout entier naturel n,
\begin{cases} q_{n}=\dfrac{S_n+D_n}{2} \\ p_{n}=\dfrac{S_n-D_n}{2}\end{cases}

On en déduit :
\displaystyle \lim_{n\to+\infty}p_n=\dfrac{1}{2}\left(\lim_{n\to+\infty}S_n-\lim_{n\to+\infty}D_n\right)=0 \text{ et } \lim_{n\to+\infty}q_n=\dfrac{1}{2}\left(\lim_{n\to+\infty}S_n+\lim_{n\to+\infty}D_n\right)=0

Conclusion :
\boxed{ \displaystyle\lim_{n\to+\infty}p_n=\lim_{n\to+\infty}q_n=0}

Finalement, puisque pour tout n\in\mathbb{N} ,
r_n=1-p_n-q_n

Alors :
\boxed{\displaystyle\lim_{n\to+\infty}r_n=1}

Interprétation: À longue échéance, il n'y aura plus que des plantes du type C, les plantes de type A et B vont disparaître.

exercice 4

Partie A :

1. L'expression de la similitude directe \sigma de centre O, de rapport \lambda et d'angle \theta est :
\sigma: z'-z_O=\lambda\text{e}^{i\theta}(z-z_O)

Dans notre cas, \lambda=\dfrac{1}{2}\text{ , } \theta=\dfrac{\pi}{2} \text{ et }z_O=0, donc :
\sigma: z'=\dfrac{1}{2}\text{e}^{i\frac{\pi}{2}}z\text{ soit }\sigma: z'=\dfrac{i}{2}z

On calcule les affixes demandées :
z_{A'}=\dfrac{i}{2}z_A=\dfrac{i}{2}(-6+4i)=\boxed{-2-3i}
z_{B'}=\dfrac{i}{2}z_B=\dfrac{i}{2}(2+4i)=\boxed{-2+i}
z_{H'}=\dfrac{i}{2}z_H=\dfrac{i}{2}(4i)=\boxed{-2}
2. Calculons tout d'abord les affixes des points I et J qui sont respectivement les milieux des segments [A'B] et [AB']:
z_I=\dfrac{z_{A'}+z_{B}}{2}=\dfrac{-2-3i+2+4i}{2}=\dfrac{1}{2}i
z_J=\dfrac{z_{A}+z_{B'}}{2}=\dfrac{-6+4i-2+i}{2}=\dfrac{-8+5i}{2}=-4+\dfrac{5}{2}i
Montrons que la droite (IJ) est perpendiculaire à la droite (HH').
z_{\vec{IJ}}=-4+\frac{5i}{2}-\frac{i}{2}=-4+2i\text{ donc }\overrightarrow{IJ}(-4;2)
z_{\vec{HH'}}=-2-4i\text{ donc }\overrightarrow{HH'}(-2;-4)
Evaluons le produit scalaire : \overrightarrow{IJ}.\overrightarrow{HH'}=(-4)(-2)\times (2)(-4)=0
Il s'ensuit :
\boxed{\text{ La droite (IJ) est perpendiculaire à la droite (HH')}}

Partie B :

1. a) Une similitude conserve les angles. Comme (OH) est perpendiculaire à (AB) alors :
(OH') \text{ est perpendiculaire à }(A'B')

D'autre part la similitude conserve l'alignement ; comme H\in(AB) alors :
 H'\in(A'B')

On en déduit que :
\boxed{\text{  H' est le projeté orthogonal du point O sur la droite (A'B')}}

1. b) Dans le triangle AA'B, M est le milieu de [AA'] et I est le milieu de [A'B]. On en déduit :
\boxed{\overrightarrow{MI}=\dfrac{1}{2}\overrightarrow{AB}}

1. c)
Rapport des distances :
On a \overrightarrow{MI}=\dfrac{1}{2}\overrightarrow{AB} \text{ donc } MI=\dfrac{1}{2} AB, de même, \overrightarrow{MJ}=\dfrac{1}{2}\overrightarrow{A'B'}\Longrightarrow MJ=\dfrac{1}{2} A'B'
Donc :
\dfrac{MJ}{MI}=\dfrac{A'B'}{AB}

D'autre part, H', A'\text{ et }B' sont les images respectives de H, A \text{ et }B par la similitude \sigma de rapport \lambda=\dfrac{1}{2} (on rappelle aussi que O est le centre de \sigma donc invariant)
Donc :
\dfrac{OH'}{OH}=\dfrac{A'B'}{AB}=\dfrac{1}{2}

On obtient :
\boxed{\dfrac{MJ}{MI}=\dfrac{OH'}{OH}}

Angles :
La droite (MI) est parallèle à (AB) et la droite (MJ) parallèle à (A'B'), donc :
(\overrightarrow{MI},\overrightarrow{MJ})=(\overrightarrow{AB},\overrightarrow{A'B'}) [2\pi]

Or, on sait que la similitude conserve les angles, donc puisque H', A'\text{ et }B' sont les images respectives de H, A \text{ et }B par la similitude \sigma
On a :
(\overrightarrow{OH},\overrightarrow{OH'})=(\overrightarrow{AB},\overrightarrow{A'B'}) [2\pi]

On en déduit :
(\overrightarrow{MI},\overrightarrow{MJ})=(\overrightarrow{OH},\overrightarrow{OH'}) [2\pi]

Ou :
\boxed{(\overrightarrow{MI},\overrightarrow{MJ})=(\overrightarrow{OH},\overrightarrow{OH'}) +2k\pi \text{ avec }k\in\mathbb{Z}}

2. a)
Distances :
Puisque O, H\text{ et }K sont les images respectives de M, I \text{ et }J par la similitude s, donc :
MI=OH \text{ et }MJ=OK

Donc:
\dfrac{MJ}{MI}=\dfrac{OK}{OH}

Or, d'après 1. c) :
\dfrac{\text{MJ}}{\text{MI}} = \dfrac{\text{OH}'}{\text{OH}}

On en déduit :
\dfrac{OK}{OH}=\dfrac{OH'}{OH}

Et donc :
\boxed{OK=OH'}

Angles:
Puisque O, H\text{ et }K sont les images respectives de M, I \text{ et }J par la similitude s
Alors:
\left(\overrightarrow{\text{MI}},\overrightarrow{\text{MJ}}\right)  =\left(\overrightarrow{\text{OH}},\overrightarrow{\text{OK}}\right) [2\pi]

Or d'après 1. c)
\left(\overrightarrow{\text{MI}},\overrightarrow{\text{MJ}}\right) =(\overrightarrow{OH},\overrightarrow{OH'})[2\pi]

D'où :
\boxed{\left(\overrightarrow{\text{MI}},\overrightarrow{\text{MJ}}\right) =(\overrightarrow{\text{OH}},\overrightarrow{\text{OK}})+2k\pi \text{ avec }k\in\mathbb{Z}}}

2. b) On déduit directement des résultats trouvés en 2. a) que le point K coïncide avec le point H'
Et donc:
\boxed{\text{ Le point H' est l'image du point J par la similitude s }}

3. Puisque O, H\text{ et }H' sont les images respectives de M, I \text{ et }J par la similitude s
Alors les deux angles (\overrightarrow{\text{IJ}},\overrightarrow{\text{HH'}}) et (\overrightarrow{\text{MI}},\overrightarrow{\text{OH}}) sont des angles de similitude s.
Donc directement :
\boxed{\left(\overrightarrow{\text{IJ}},\overrightarrow{\text{HH}'}\right) = \left(\overrightarrow{\text{MI}},\overrightarrow{\text{OH}}\right) + 2k\pi,~ k \in \mathbb{Z}}

On a vu que (OH) est perpendiculaire à (AB) et que (MI) est parallèle à (AB), donc (MI) est perpendiculaire à (OH)
Il en découle :
\left(\overrightarrow{\text{MI}},\overrightarrow{\text{OH}}\right)=\dfrac{\pi}{2}[2\pi]

Donc :
\left(\overrightarrow{\text{IJ}},\overrightarrow{\text{HH}'}\right)=\dfrac{\pi}{2}[2\pi]

On en déduit :
\boxed{\text{ La droite (IJ) est perpendiculaire à la droite (HH') }}
Publié le
ceci n'est qu'un extrait
Pour visualiser la totalité des cours vous devez vous inscrire / connecter (GRATUIT)
Inscription Gratuite se connecter
Merci à
dandave
/
Aurelien_
pour avoir contribué à l'élaboration de cette fiche


Vous devez être membre accéder à ce service...

Pas encore inscrit ?

1 compte par personne, multi-compte interdit !

Ou identifiez-vous :


Rester sur la page

Inscription gratuite

Fiches en rapport

parmi 1768 fiches de maths

Désolé, votre version d'Internet Explorer est plus que périmée ! Merci de le mettre à jour ou de télécharger Firefox ou Google Chrome pour utiliser le site. Votre ordinateur vous remerciera !