Fiche de mathématiques
> >

Bac Mathématiques Maroc 2023

Sciences-Maths

Partager :


Durée : 4 heures

Coefficient : 9


L'usage de la calculatrice n'est pas autorisé.


7,5 points

exercice 1

Bac Maroc 2023 Sc-Maths : image 3

Bac Maroc 2023 Sc-Maths : image 6

Bac Maroc 2023 Sc-Maths : image 7


2,25 points

exercice 2

Bac Maroc 2023 Sc-Maths : image 9


3,5 points

exercice 3

Bac Maroc 2023 Sc-Maths : image 2

Bac Maroc 2023 Sc-Maths : image 4


3 points

exercice 4

Bac Maroc 2023 Sc-Maths : image 1


3,5 points

exercice 5

Bac Maroc 2023 Sc-Maths : image 5





Bac Maroc 2023 Sc-Maths

Partager :



7,5 points

exercice 1

Partie I

1. a)  Nous devons montrer que  \overset{ { \white{ . } } } {  \forall\,t\in[0\;;\;+\infty[,\;\dfrac{4}{(2+t)^2}\le\dfrac{1}{1+t}\le\dfrac 1 2\left(1+\dfrac{1}{(1+t)^2}\right) \,. }

{\bullet}{\white{x}}\forall\,t\in[0\;;\;+\infty[,\;\dfrac{4}{(2+t)^2}-\dfrac{1}{1+t}=\dfrac{4(1+t)-(2+t)^2}{(2+t)^2(1+t)} \\ \overset{ { \white{ . } } } {  \phantom{WWWWWWWWWWWWWW}= \dfrac{4+4t-4-4t-t^2}{(2+t)^2(1+t)} } \\ \overset{ { \white{ . } } } {  \phantom{WWWWWWWWWWWWWW}= \dfrac{-t^2}{(2+t)^2(1+t)} }

\text{Or }\forall\,t\in[0\;;\;+\infty[,\;\left\lbrace\begin{matrix}-t^2\le0\\ (2+t)^2>0\\1+t>0\end{matrix}\right.\quad\Longrightarrow\quad \dfrac{-t^2}{(2+t)^2(1+t)}\le0 \\\phantom{WWWWWWWWWWWWW}\quad\Longrightarrow\quad \dfrac{4}{(2+t)^2}-\dfrac{1}{1+t}\le0

D'où  \boxed{\forall\,t\in[0\;;\;+\infty[,\;\dfrac{4}{(2+t)^2}\le\dfrac{1}{1+t}}

_{\bullet}{\white{x}}\forall\,t\in[0\;;\;+\infty[,\;\dfrac{1}{1+t}-\dfrac 1 2\left(1+\dfrac{1}{(1+t)^2}\right)=\dfrac{1}{1+t}-\dfrac 1 2-\dfrac{1}{2(1+t)^2} \\ \overset{ { \white{ . } } } {  \phantom{WWWWWWWWWWWWWWWwWW}= \dfrac{2(1+t)-(1+t)^2-1}{2(1+t)^2} }   \\ \overset{ { \white{ . } } } {  \phantom{WWWWWWWWWWWWWWWwWW}= \dfrac{2+2t-1-2t-t^2-1}{2(1+t)^2} } \\ \overset{ { \phantom{ . } } } {  \phantom{WWWWWWWWWWWWWWWwWW}= \dfrac{-t^2}{2(1+t)^2} }

\\\\\text{Or }\forall\,t\in[0\;;\;+\infty[,\;\left\lbrace\begin{matrix}-t^2\le0\\2(1+t)^2>0\end{matrix}\right.\quad\Longrightarrow\quad \dfrac{-t^2}{2(1+t)^2}\le0 \\\overset{ { \white{ . } } } {  \phantom{WWWWWWWWWWWWwW}\quad\Longrightarrow\quad \dfrac{1}{1+t}-\dfrac 1 2\left(1+\dfrac{1}{(1+t)^2}\right)\le0}

D'où  \boxed{\forall\,t\in[0\;;\;+\infty[,\;\dfrac{1}{1+t}\le\dfrac 1 2\left(1+\dfrac{1}{(1+t)^2}\right) }

Par conséquent, nous avons montré que :  \overset{ { \white{ . } } } { \boxed{ \forall\,t\in[0\;;\;+\infty[,\;\dfrac{4}{(2+t)^2}\le\dfrac{1}{1+t}\le\dfrac 1 2\left(1+\dfrac{1}{(1+t)^2}\right) } \,. }

1. b)  Soit un nombre réel x  supegal 0.
D'après la question précédente, nous savons que  \overset{ { \white{ . } } } {  \forall\,t\in[0\;;\;x],\;\dfrac{4}{(2+t)^2}\le\dfrac{1}{1+t}\le\dfrac 1 2\left(1+\dfrac{1}{(1+t)^2}\right)  \,. }
Dès lors,

\displaystyle\int_0^{x}\dfrac{4}{(2+t)^2}\text{ d}t\le\displaystyle\int_0^{x}\dfrac{1}{1+t}\text{ d}t\le\displaystyle\int_0^{x}\dfrac 1 2\left(1+\dfrac{1}{(1+t)^2}\right)\text{ d}t \\ \\ \quad\Longrightarrow\quad4\left[\dfrac{-1}{2+t}\right]_0^x\le\left[\overset{{\white{\frac{}{}}}}{\ln(1+t)}\right]_0^x\le\dfrac 1 2 \left[t-\dfrac{1}{1+t}\right]_0^x \\ \\ \quad\Longrightarrow\quad4\left(\dfrac{-1}{2+x}-\dfrac{-1}{2+0}\right)\le\ln(1+x)-\ln(1+0)\le\dfrac 1 2 \left[\left(x-\dfrac{1}{1+x}\right)-\left(0-\dfrac{1}{1+0}\right)\right] \\ \\ \quad\Longrightarrow\quad4\left(\dfrac{-1}{2+x}+\dfrac{1}{2}\right)\le\ln(1+x)-0\le\dfrac 1 2 \left(x-\dfrac{1}{1+x}+1\right)

\\ \\ \quad\Longrightarrow\quad4\left(\dfrac{-2+2+x}{2(2+x)}\right)\le\ln(1+x)\le\dfrac 1 2 \left(\dfrac{x+x^2-1+1+x}{1+x}\right) \\ \\ \quad\Longrightarrow\quad4\left(\dfrac{x}{2(2+x)}\right)\le\ln(1+x)\le\dfrac 1 2 \left(\dfrac{x^2+2x}{1+x}\right) \\ \\ \quad\Longrightarrow\quad\dfrac{2x}{2+x}\le\ln(1+x)\le\dfrac 1 2 \left(\dfrac{x^2+2x}{1+x}\right)

Par conséquent, nous avons montré que :  \overset{ { \white{ . } } } { \boxed{\forall\,x\in[0\;;\;+\infty[,\; \dfrac{2x}{2+x}\le\ln(1+x)\le\dfrac 1 2 \left(\dfrac{x^2+2x}{1+x}\right) } \,. }

  2.  Soit g  la fonction numérique de la variable réelle x  définie sur ]0 ; +infini[ par :  \overset{ { \white{ . } } } {  g(x)=\dfrac{\ln(1+x)}{x}\,.}
Nous devons montrer que :  \overset{ { \white{ . } } } {  \underset{x>0}{\underset{x\to0}{\lim}}\dfrac{g(x)-1}{x}=\dfrac{-1}{2}\,.}

Par la question précédente, nous savons que :  \overset{ { \white{ . } } } { \forall\,x\in\;]0\;;\;+\infty[,\; \dfrac{2x}{2+x}\le\ln(1+x)\le\dfrac 1 2 \left(\dfrac{x(x+2)}{1+x}\right) }

Dès lors, en divisant les trois membres des inégalités par x (different 0), nous obtenons que pour tout x  appartient ]0 ; +infini[,

\dfrac{2}{2+x}\le\dfrac{\ln(1+x)}{x}\le\dfrac 1 2 \left(\dfrac{x+2}{1+x}\right)\quad\Longrightarrow\quad\dfrac{2}{2+x}\le g(x)\le\dfrac{x+2}{2(1+x)} \\ \overset{ { \white{ . } } } { \phantom{WWWWWWWWWWWWW}\quad\Longrightarrow\quad\dfrac{2}{2+x}-1\le g(x)-1\le\dfrac{x+2}{2(1+x)}-1 } \\ \overset{ { \white{ . } } } { \phantom{WWWWWWWWWWWWW}\quad\Longrightarrow\quad\dfrac{2-2-x}{2+x}\le g(x)-1\le\dfrac{x+2-2-2x}{2(1+x)} } \\ \overset{ { \white{ . } } } { \phantom{WWWWWWWWWWWWW}\quad\Longrightarrow\quad\dfrac{-x}{2+x}\le g(x)-1\le\dfrac{-x}{2(1+x)} }
\\ \overset{ { \white{ . } } } { \phantom{WWWWWWWWWWWWW}\quad\Longrightarrow\quad\dfrac{-1}{2+x}\le \dfrac{g(x)-1}{x}\le\dfrac{-1}{2(1+x)} } \\\\\text{Or }\;\left\lbrace\begin{matrix}\underset{x>0}{\underset{x\to0}{\lim}}\;\dfrac{-1}{2+x}=-\dfrac 1 2 \\\overset{ { \white{ . } } } { \underset{x>0}{\underset{x\to0}{\lim}}\;\dfrac{-1}{2(1+x)}=-\dfrac 1 2 }\end{matrix}\right.

Selon le théorème d'encadrement (théorème des gendarmes), nous en déduisons que  \boxed{\underset{x>0}{\underset{x\to0}{\lim}}\;\dfrac{g(x)-1}{x}=-\dfrac 12 }\,.

Partie II

Soit f  la fonction numérique de la variable réelle x  définie sur ]0 ; +infini[ par :  

\left\lbrace\begin{matrix}f(0)=1\phantom{WWWWWWWWWWx}\\f(x)=g(x)\,\text e^{-x}\quad(\forall\,x\in\;]0\;;\;+\infty\,[)\end{matrix}\right.


1.  Calculons   \overset{ { \white{ ^. } } } { \lim\limits_{x\to+\infty}f(x). }

\lim\limits_{x\to+\infty}f(x)=\lim\limits_{x\to+\infty}g(x)\,\text e^{-x} \\ \overset{ { \white{ . } } } { \phantom{WWWvW}= \lim\limits_{x\to+\infty}\dfrac{\ln(1+x)}{x}\,\text e^{-x}} \\ \overset{ { \white{ . } } } { \phantom{WWWvW}= \lim\limits_{x\to+\infty}\dfrac{\ln(1+x)}{1+x}\times\dfrac{1+x}{x}\times\text e^{-x}}

\text{Or }\;\left\lbrace\begin{matrix}\lim\limits_{x\to+\infty}\dfrac{\ln(1+x)}{1+x}=\lim\limits_{X\to+\infty}\dfrac{\ln(X)}{X}\quad\text{avec }X=1+x\\\overset{ { \white{ . } } } {   \phantom{WWWWi}=0\quad\text{croissances comparées }}\\ \\\lim\limits_{x\to+\infty}\dfrac{1+x}{x}=\lim\limits_{x\to+\infty}\dfrac{x}{x}=1  \phantom{WWWWWWWWW}\\ \\\lim\limits_{x\to+\infty}\text e^{-x}\underset{(X=-x)}{=}\;\lim\limits_{X\to-\infty}\text e^{X}=0\phantom{WWWWWWW}\end{matrix}\right.

Nous en déduisons que  \overset{ { \white{ ^. } } } { \lim\limits_{x\to+\infty}f(x)=0\times1\times0 } , soit que  \overset{ { \white{ ^. } } } { \boxed{\lim\limits_{x\to+\infty}f(x)=0}\,. }

Graphiquement, ce résultat signifie que la courbe C  admet une asymptote horizontale d'équation y  = 0 au voisinage de +infini.

2. a)  Montrons que la fonction f  est continue à droite en 0.

D'une part,  {\red{f(0)=1}}.

D'autre part,  \underset{x>0}{\underset{x\to0}{\lim}}\;f(x)= \underset{x>0}{\underset{x\to0}{\lim}}\;\dfrac{\ln(1+x)}{x}\,\text e^{-x}\,.

\text{Or }\;\underset{x>0}{\underset{x\to0}{\lim}}\;\dfrac{\ln(1+x)}{x}=\underset{x>0}{\underset{x\to0}{\lim}}\;\dfrac{\ln(1+x)-\ln(1+0)}{x-0} \\ \\ \overset{ { \white{ . } } } {  \phantom{WWWWiWWW}=h'(0)\quad\text{avec }h(x)=\ln(1+x) } \\  \overset{ { \white{ . } } } {  \phantom{WWWWiWWW}=1\quad\text{car }h'(x)=\dfrac{1}{1+x}\Longrightarrow\quad h'(0)=\dfrac{1}{1+0}=1 } \\ \\\text{D'où }\;\boxed{\underset{x>0}{\underset{x\to0}{\lim}}\;\dfrac{\ln(1+x)}{x}=1 }

{ \white{ xxi } }{ \white{ xxi } }{ \white{ xxi } }{ \white{ xxi } }\text{De plus, }\;\underset{x>0}{\underset{x\to0}{\lim}}\;\text e^{-x}=\text e^{0}\quad\Longrightarrow\quad\boxed{\underset{x>0}{\underset{x\to0}{\lim}}\;\text e^{-x}=1}

Dès lors,  \overset{ { \white{ ^W } } } {  \underset{x>0}{\underset{x\to0}{\lim}}\;\dfrac{\ln(1+x)}{x}\,\text e^{-x}=1\times 1 = 1, }  soit  \overset{ { \white{ ^W } } } {  {\red{\underset{x>0}{\underset{x\to0}{\lim}}\;f(x)= 1}}. }

Par conséquent, la fonction f  est continue à droite en 0 car  \overset{ { \white{ ^W } } } {  \underset{x>0}{\underset{x\to0}{\lim}}\;f(x)= f(0). }

2. b)  Pour tout x  appartient ]0 ; +infini[,

\left(\dfrac{\text e^{-x}-1}{x}\right)g(x)+\left(\dfrac{g(x)-1}{x}\right)=\dfrac{(\text e^{-x}-1)g(x)+g(x)-1}{x} \\ \overset{ { \white{ . } } } { \phantom{WWWWWWWWWxWWW}= \dfrac{\text e^{-x}g(x)-g(x)+g(x)-1}{x}} \\ \overset{ { \white{ . } } } { \phantom{WWWWWWWWWxWWW}= \dfrac{\text e^{-x}g(x)-1}{x}} \\ \overset{ { \white{ . } } } { \phantom{WWWWWWWWWxWWW}= \dfrac{f(x)-1}{x}} \\ \\ \Longrightarrow\quad\boxed{\forall\,x\in\,]0\;;\;+\infty[,\; \dfrac{f(x)-1}{x}=\left(\dfrac{\text e^{-x}-1}{x}\right)g(x)+\left(\dfrac{g(x)-1}{x}\right) }

2. c)  Nous devons en déduire que f  est dérivable à droite de 0 et déterminer  \overset{ { \white{ . } } } { f'_d(0). }

\underset{x>0}{\underset{x\to0}{\lim}}\;\dfrac{f(x)-f(0)}{x-0}=\underset{x>0}{\underset{x\to0}{\lim}}\;\dfrac{f(x)-1}{x} \\ \overset{ { \white{ . } } } { \phantom{WWWWWxW}=    \underset{x>0}{\underset{x\to0}{\lim}}\;\left(\dfrac{\text e^{-x}-1}{x}\right)g(x)+\left(\dfrac{g(x)-1}{x}\right) }

\text{Or }\; \bullet\quad\underset{x>0}{\underset{x\to0}{\lim}}\;\left(\dfrac{\text e^{-x}-1}{x}\right)= \underset{x>0}{\underset{x\to0}{\lim}}\;\left(\dfrac{\text e^{-x}-\text e^0}{x-0}\right) \\ \overset{ { \white{ . } } } { \phantom{WWWWWWWWWW}= k'(0)\quad\text{avec }k(x)=\text e^{-x}  } \\ \overset{ { \white{ . } } } { \phantom{WWWWWWWWWW}= -1\quad\text{car }k'(x)=-\text e^{-x}\Longrightarrow\quad k'(0)=-\text e^{0}=-1 }  \\\\\phantom{WWWW}\text{D'où }\;\boxed{\underset{x>0}{\underset{x\to0}{\lim}}\;\left(\dfrac{\text e^{-x}-1}{x}\right)=-1 }

\bullet\quad\underset{x>0}{\underset{x\to0}{\lim}}\;g(x)=\underset{x>0}{\underset{x\to0}{\lim}}\;\dfrac{\ln(1+x)}{x}=1\quad(\text{voir Partie II - 2. a)}\quad\Longrightarrow\;\boxed{\underset{x>0}{\underset{x\to0}{\lim}}\;g(x)=1 } \\\\\bullet\quad\boxed{\underset{x>0}{\underset{x\to0}{\lim}}\;\left(\dfrac{g(x)-1}{x}\right)=-\dfrac 1 2 }\quad(\text{voir Partie I - 2.)} \\ \\ \\ \text{D'où }\;\underset{x>0}{\underset{x\to0}{\lim}}\;\dfrac{f(x)-f(0)}{x-0}=(-1)\times1+\left(-\dfrac 1 2\right)=-1-\dfrac 1 2 \\ \quad\Longrightarrow\boxed{\underset{x>0}{\underset{x\to0}{\lim}}\;\dfrac{f(x)-f(0)}{x-0}=-\dfrac 3 2 \in\R}
Par conséquent, la fonction f  est dérivable à droite de 0 et  \overset{ { \white{ . } } } { f'_d(0)=-\dfrac 3 2 . }

3.  Montrons que f  est dérivable sur ]0 ; +infini[.

Par définition de f , nous savons que pour tout x  appartient ]0 ; +infini[,  f(x)=g(x)\,\text e^{-x}.

La fonction g  est un quotient de deux fonctions dérivables sur ]0 ; +infini[ avec x  different 0.
La fonction  x\mapsto \text e^{-x}  est dérivable sur ]0 ; +infini[ comme étant la composée de deux fonctions dérivables.
Il s'ensuit que la fonction f  est dérivable sur ]0 ; +infini[.

De plus, pour tout x  appartient ]0 ; +infini[,

f'(x)=\left(\dfrac{\ln(1+x)}{x}\,\text e^{-x}\right)' \\ \overset{ { \white{ . } } } { \phantom{f'(x)}=\left(\dfrac{\ln(1+x)}{x}\right)' \times\text e^{-x}+\dfrac{\ln(1+x)}{x}\times(\text e^{-x})'} \\ \overset{ { \white{ . } } } { \phantom{f'(x)}=\dfrac{(\ln(1+x))'\times x-\ln(1+x)\times x'}{x^2}}\times\text e^{-x}+\dfrac{\ln(1+x)}{x}\times(-\text e^{-x})   \\ \overset{ { \white{ . } } } { \phantom{f'(x)}=\dfrac{\dfrac{1}{1+x}\times x-\ln(1+x)\times 1}{x^2}}\times\text e^{-x}-\dfrac{\ln(1+x)}{x}\times\text e^{-x}
{ \white{ xxxii } }\\ \overset{ { \white{ . } } } { \phantom{f'(x)}=\dfrac{\dfrac{x}{1+x}-\ln(1+x)}{x^2} }\times\text e^{-x}-\dfrac{\ln(1+x)}{x}\times\text e^{-x} \\ \overset{ { \white{ . } } } { \phantom{f'(x)}=\left(\dfrac{\dfrac{x}{1+x}-\ln(1+x)}{x^2} -\dfrac{\ln(1+x)}{x}\right)\times\text e^{-x}} \\ \overset{ { \white{ . } } } { \phantom{f'(x)}=\left(\dfrac{\dfrac{x-(1+x)\ln(1+x)}{1+x}}{x^2} -\dfrac{\ln(1+x)}{x}\right)\times\text e^{-x}}
{ \white{ xxxii } } \overset{ { \white{ . } } } { \phantom{f'(x)}=\left(\dfrac{x-(1+x)\ln(1+x)}{x^2(1+x)} -\dfrac{\ln(1+x)}{x}\right)\times\text e^{-x}} \\ \overset{ { \white{ . } } } { \phantom{f'(x)}=\left(\dfrac{x-(1+x)\ln(1+x)}{x^2(1+x)} -\dfrac{x(1+x)\ln(1+x)}{x^2(1+x)}\right)\times\text e^{-x}} \\ \overset{ { \white{ . } } } { \phantom{f'(x)}=\dfrac{x-(1+x)\ln(1+x)-x(1+x)\ln(1+x)}{x^2(1+x)} \times\text e^{-x}}
\\ \overset{ { \white{ . } } } { \phantom{f'(x)}=\dfrac{x-(1+x)\ln(1+x)[1+x]}{x^2(1+x)} \,\text e^{-x}} \\ \overset{ { \white{ . } } } { \phantom{f'(x)}=\dfrac{x-(1+x)^2\ln(1+x)}{x^2(1+x)} \,\text e^{-x}} \\ \\ \Longrightarrow\quad\boxed{\forall\,x\in\,]\,0\;;\;+\infty\,[,\;f'(x)=\dfrac{x-(1+x)^2\ln(1+x)}{x^2(1+x)} \,\text e^{-x}}

4. a)  Nous avons montré dans la Partie I, question 1. b), que pour tout x  appartient ]0 ; +infini[,  
{ \white{ xxi } }{ \white{ xxi } }{ \white{ xxi } }\overset{ { \white{ . } } } {  \dfrac{2x}{2+x}\le\ln(1+x)\le\dfrac 1 2 \left(\dfrac{x^2+2x}{1+x}\right)  \,. }
Dès lors, pour tout x  > 0,

\overset{ { \white{ . } } } { {\red{-(1+x)^2\times\,}} \dfrac 1 2 \left(\dfrac{x^2+2x}{1+x}\right) \le{\red{-(1+x)^2\times\,}}\ln(1+x)\le{\red{-(1+x)^2\times\,}}\dfrac{2x}{2+x} } \\ \overset{ { \white{ . } } } { -\dfrac 1 2 (1+x)(x^2+2x) \le-(1+x)^2\ln(1+x)\le-(1+2x+x^2)\times\dfrac{2x}{2+x} } \\ \overset{ { \white{ . } } } { -\dfrac 1 2 (x^2+2x+x^3+2x^2) \le-(1+x)^2\ln(1+x)\le-\dfrac{2x+4x^2+2x^3}{2+x} }
\\ \overset{ { \white{ . } } } { x-\dfrac {x^2+2x+x^3+2x^2}{ 2}  \le x-(1+x)^2\ln(1+x)\le x-\dfrac{2x+4x^2+2x^3}{2+x} } \\ \overset{ { \white{ . } } } { \dfrac {2x-x^2-2x-x^3-2x^2}{ 2}  \le x-(1+x)^2\ln(1+x)\le \dfrac{2x+x^2-2x-4x^2-2x^3}{2+x} } \\ \overset{ { \white{ . } } } { \dfrac {-x^3-3x^2}{ 2}  \le x-(1+x)^2\ln(1+x)\le \dfrac{-2x^3-3x^2}{2+x} }
\\ \overset{ { \white{ . } } } { \dfrac {-x^2(x+3)}{ 2}  \le x-(1+x)^2\ln(1+x)\le \dfrac{-x^2(2x+3)}{2+x} } \\ \overset{ { \white{ . } } } { \dfrac {-x^2(x+3)}{ 2x^2(1+x)}  \le\dfrac{ x-(1+x)^2\ln(1+x)}{x^2(1+x)}\le \dfrac{-x^2(2x+3)}{x^2(1+x)(2+x)} }\quad\text{car }x^2(1+x)>0 \\ \overset{ { \white{ . } } } { \dfrac {-(x+3)}{ 2(1+x)}  \le\dfrac{ x-(1+x)^2\ln(1+x)}{x^2(1+x)}\le \dfrac{-(2x+3)}{(1+x)(2+x)} }\quad{\red{\text{(inégalités }(1))}}

Or  \overset{ { \white{ . } } } {  x>0 \quad\Longrightarrow\quad\dfrac{2x+3}{(1+x)(2+x)}>0\quad\Longrightarrow\quad\boxed{\dfrac{-(2x+3)}{(1+x)(2+x)}<0} }

Montrons que pour tout x  > 0, nous obtenons  -\dfrac 3 2 <\dfrac {-(x+3)}{ 2(1+x)} .

-\dfrac 3 2 <\dfrac {-(x+3)}{ 2(1+x)} \quad\Longleftrightarrow\quad\dfrac 3 2 >\dfrac {x+3}{ 2(1+x)}  \\ \overset{ { \white{ . } } } { \phantom{WWWiWWW} \quad\Longleftrightarrow\quad3 >\dfrac {x+3}{ 1+x}  } \\ \overset{ { \white{ . } } } { \phantom{WWWiWWW} \quad\Longleftrightarrow\quad3(1+x) >x+3  } \\ \overset{ { \white{ . } } } { \phantom{WWWiWWW} \quad\Longleftrightarrow\quad3+3x >x+3  }
{ \white{ xxxxxxiii } }{ \white{ xxxii } }\\ \overset{ { \white{ . } } } { \phantom{WWWiWWW} \quad\Longleftrightarrow\quad2x>0  } \\ \overset{ { \white{ . } } } { \phantom{WWWiWWW} \quad\Longleftrightarrow\quad x>0  }
D'où  \overset{ { \white{ . } } } { \boxed{ x>0 \quad\Longleftrightarrow\quad-\dfrac 3 2 <\dfrac {-(x+3)}{ 2(1+x)}  }}

Dès lors, les "inégalités (1)" peuvent être complétées comme suit :

-\dfrac 3 2 < \dfrac {-(x+3)}{ 2(1+x)}  \le\dfrac{ x-(1+x)^2\ln(1+x)}{x^2(1+x)}\le \dfrac{-(2x+3)}{(1+x)(2+x)} <0

Par conséquent,  \overset{ { \white{ . } } } { \boxed{\forall\,x\in\,]0\;;\;+\infty\,[,\;-\dfrac 3 2 <\dfrac{ x-(1+x)^2\ln(1+x)}{x^2(1+x)} <0}}

4. b)  Puisque l'exponentielle est strictement positive sur   \overset{ { \white{ _. } } } { \R } , nous avons :

\forall\,x\in\,]0\;;\;+\infty\,[,\;-\dfrac 3 2 <\dfrac{ x-(1+x)^2\ln(1+x)}{x^2(1+x)} <0 \\\\ \phantom{XXX}\quad\Longrightarrow\quad -\dfrac 3 2\,\text e^{-x} <\dfrac{ x-(1+x)^2\ln(1+x)}{x^2(1+x)}\,\text e^{-x} <0 \\\\ \phantom{XXX}\quad\Longrightarrow\quad -\dfrac 3 2\,\text e^{-x} <f'(x)<0

\text{Or }\;x>0\quad\Longrightarrow\quad -x<0 \\ \overset{ { \white{ . } } } { \phantom{\text{Or }\;x>0}\quad\Longrightarrow\quad \text e^{-x}<1} \\ \overset{ { \white{ . } } } { \phantom{\text{Or }\;x>0}\quad\Longrightarrow\quad -\dfrac 3 2\,\text e^{-x}>-\dfrac 3 2}

Nous obtenons alors,  \forall\,x\in\,]0\;;\;+\infty\,[,\; -\dfrac 3 2 <-\dfrac 3 2\,\text e^{-x} <f'(x)<0  ,
soit  \boxed{\forall\,x\in\,]0\;;\;+\infty\,[,\; -\dfrac 3 2 <f'(x)<0 }

5. a)  En nous basant sur la question précédente, nous pouvons dresser le tableau de variations de f .

{ \white{ WWW } }\begin{matrix}f(0)=1\phantom{W}\\ \\f_d(0)=-\dfrac 3 2<0\end{matrix}\phantom{ WW } \begin{matrix}|\\|\\|\\|\\|\\|\\|\\|\\|\end{matrix}\phantom{ WW }\begin{array} { |c|ccccccc| } \hline &&&&&&&& x &0&&&&&&+\infty\\ &&&&&&& \\ \hline&&&&&&& \\ f'(x)&& - && - & &- &\\&&&&&&&\\ \hline&1&&&&&&\\ f(x)&&\searrow&&\searrow&&\searrow&\\&&&& &&&0\\ \hline \end{array}

5. b)  Courbe C  et la demi-tangente à droite au point de C  de coordonnées (0 ; 1) dont le coefficient directeur vaut  \overset{ { \white{ . } } } {  -\dfrac 3 2\,.}

Bac Maroc 2023 Sc-Maths : image 10


Partie III

1.  Montrons que l'équation  \overset{ { \white{ . } } } {  f(x)=3x }  admet une unique solution alpha dans ]0 ; +infini[.

Soit la fonction h définie dans ]0 ; +infini[ par  \overset{ { \white{ . } } } {   h(x)=f(x)-3x .}
Notons que  \overset{ { \white{ . } } } {   h(x)=f(x)-3x\quad\Longleftrightarrow\quad h(x)=f(x)+(-3x) .}

La fonction h  est continue sur l'intervalle ]0 ; +infini[ (somme de deux fonctions continues sur cet intervalle).
La fonction h  est strictement décroissante sur l'intervalle ]0 ; +infini[ (somme de deux fonctions strictement décroissantes sur cet intervalle).


\left\lbrace\begin{matrix}\lim\limits_{ x\to0^+ }h(x)=\lim\limits_{ x\to0^+ }[f(x)-3x]=1-0=1\phantom{ www }\\\lim\limits_{ x\to+\infty }h(x)=\lim\limits_{ x\to+\infty } [f(x)-3x]=0-\infty=-\infty  \end{matrix}\right.\quad\Longrightarrow\quad  \boxed{ 0\in\,]\,\lim\limits_{ x\to+\infty }h(x)\,;\,\lim\limits_{ x\to0^+ }h(x)\,[ }

Selon le corollaire du théorème des valeurs intermédiaires, l'équation  \overset{ { \white{ . } } } { h(x)=0 } }  admet une unique solution alpha dans ]0 ; +infini[ .
Par conséquent, l'équation  \overset{ { \white{ . } } } {   f(x)=3x }  admet une unique solution alpha dans ]0 ; +infini[, soit  \overset{ { \white{ . } } } {  \boxed{ f(\alpha)=3\alpha}\, . }

2.  Soit  \overset{ { \white{ . } } } {   \beta\in\R^+ }  et  \overset{ { \white{ . } } } { (u_n)_{n\in\N} }   la suite numérique définie par :  \overset{ { \white{ . } } } { \left\lbrace\begin{matrix}u_0=\beta\phantom{XXXXXXXX}\\ \overset{ { \white{ . } } } {   u_{n+1}=\dfrac 1 3 f(u_n)\quad(\forall\,n\in\N) }\end{matrix}\right.}

2. a)  Démontrons par récurrence que pour tout entier naturel n ,  \overset{ { \white{ . } } } {  u_n\ge0. }

Initialisation  : Montrons que la propriété est vraie pour n  = 0, soit que   \overset{ { \white{ . } } }{ u_0\ge0}
C'est une évidence car  \overset{ { \white{ . } } } { u_0=\beta\in\R^+\quad\Longrightarrow\quad u_0\ge0. }
Donc l'initialisation est vraie.

Hérédité  : Montrons que si pour un nombre naturel n  fixé, la propriété est vraie au rang n , alors elle est encore vraie au rang (n +1).
Montrons donc que si pour un nombre naturel n  fixé,  \overset{ { \white{ . } } }{ u_{n}\ge0 } , alors  \overset{ { \white{ . } } }{ u_{n+1}\ge0. }
En effet,  nous savons par la question 5a - Partie II que  \overset{ { \white{ . } } } {   \forall\,x\in\;]0\;;\;+\infty\,[,\;  f(x)>0. }
Or par hypothèse,  \overset{ { \white{ . } } } {   u_n\in\;]0\;;\;+\infty\,[. }
Il s'ensuit que  \overset{ { \white{ . } } } {   f(u_n)>0. }
Par conséquent,   \overset{ { \white{ . } } } {   \boxed{u_{n+1}>0 }\,. }
L'hérédité est vraie.

Puisque l'initialisation et l'hérédité sont vraies, nous avons montré par récurrence que  \overset{ { \white{ . } } }{ \boxed{ \forall n\in\N\text{  ;  }u_n\ge0  } }\;.

2. b)  Nous devons montrer que :  \overset{ { \white{ . } } } {   \forall\,n\in\N:\;  |u_{n+1}-\alpha|\le \dfrac 1 2 |u_n-\alpha|. }
La fonction f  est continue et dérivable sur l'intervalle [0 ; +infini[.
Nous avons montré dans la Partie II - question 4. b) que  \forall\,x\in\,]0\;;\;+\infty\,[,\; -\dfrac 3 2 <f'(x)<0   et par suite,  |f'(x)|<\dfrac 3 2.
D'après l'inégalité des accroissements finis sur l'intervalle [0 ; +infini[, nous obtenons :  \overset{ { \white{ . } } } {  \forall\,x,y\in[0\;;\;+\infty[,\;\,|f(x)-f(y)|\le \dfrac 3 2|x-y|.}

Or  \overset{ { \white{ . } } } { \alpha\in\;[\,0\;;\;+\infty\,[}  et  \overset{ { \white{ . } } } { \forall\,n\in\N,\;u_n\in\;[\,0\;;\;+\infty\,[.}

Dès lors,  |f(u_n)-f(\alpha)|\le \dfrac 3 2|u_n-\alpha|\,.

Il s'ensuit que  |3\,u_{n+1}-3\,\alpha|\le \dfrac 3 2|u_n-\alpha| , soit que  3\,|u_{n+1}-\alpha|\le \dfrac 3 2|u_n-\alpha|
Par conséquent,   \overset{ { \white{ . } } } {  \boxed{ \forall\,n\in\N:\;  |u_{n+1}-\alpha|\le \dfrac 1 2 |u_n-\alpha|. }}

2. c)  Démontrons par récurrence que pour tout entier naturel n ,  \overset{ { \white{ . } } } { |u_n-\alpha|\le\dfrac{1}{2^n}|\beta-\alpha|. }

Initialisation  : Montrons que la propriété est vraie pour n  = 0, soit que   \overset{ { \white{ . } } } { |u_0-\alpha|\le\dfrac{1}{2^0}|\beta-\alpha|. }
C'est une évidence car  \overset{ { \white{ _. } } } { |u_0-\alpha|=|\beta-\alpha|\quad\Longrightarrow\quad\boxed{|u_0-\alpha|\le\dfrac{1}{2^0}|\beta-\alpha|}\quad\text{car }\dfrac{1}{2^0}=1.}
Donc l'initialisation est vraie.

Hérédité  : Montrons que si pour un nombre naturel n  fixé, la propriété est vraie au rang n , alors elle est encore vraie au rang (n +1).
Montrons donc que si pour un nombre naturel n  fixé,  \overset{ { \white{ . } } } { |u_n-\alpha|\le\dfrac{1}{2^n}|\beta-\alpha| } , alors  \overset{ { \white{ . } } } { |u_{n+1}-\alpha|\le\dfrac{1}{2^{n+1}}|\beta-\alpha|. }
En effet,  nous savons par la question précédente que  \overset{ { \white{ . } } } {   \forall\,n\in\N:\;  |u_{n+1}-\alpha|\le \dfrac 1 2 |u_n-\alpha|. }
Or par hypothèse,  \overset{ { \white{ . } } } {   |u_n-\alpha|\le\dfrac{1}{2^n}|\beta-\alpha|. }
Il s'ensuit que   \overset{ { \white{ . } } } { \forall\,n\in\N:\; |u_{n+1}-\alpha|\le \dfrac 1 2\times\dfrac{1}{2^n} |\beta-\alpha| }
Par conséquent,    \overset{ { \white{ . } } } { \boxed{\forall\,n\in\N:\; |u_{n+1}-\alpha|\le \dfrac{1}{2^{n+1}} |\beta-\alpha| }}
L'hérédité est vraie.

Puisque l'initialisation et l'hérédité sont vraies, nous avons montré par récurrence que
 
 \overset{ { \white{ . } } }{ \boxed{ \forall n\in\N\text{  ;  }|u_n-\alpha|\le\dfrac{1}{2^n}|\beta-\alpha|  } }\;.


2. d)  Montrons que la suite  \overset{ { \white{ . } } } { (u_n)_{n\in\N} }   converge vers alpha.

Nous avons montré dans l'exercice précédent que  \overset{ { \white{ . } } }{  \forall n\in\N\text{  ;  }|u_n-\alpha|\le\dfrac{1}{2^n}|\beta-\alpha|   }\;.

\text{Or }\;\lim\limits_{n\to+\infty}\dfrac{1}{2^n}=\lim\limits_{n\to+\infty}\left(\dfrac{1}{2}\right)^n=0\quad\text{car  }0<\dfrac 1 2<1 \\\\\text{D'où }\;\lim\limits_{n\to+\infty}\dfrac{1}{2^n}|\beta-\alpha|=0

Donc   \left\lbrace\begin{matrix}|u_n-\alpha|\le\dfrac{1}{2^n}|\beta-\alpha| \\\lim\limits_{n\to+\infty}\dfrac{1}{2^n}|\beta-\alpha|=0\end{matrix}\right.\quad\Longrightarrow\quad\lim\limits_{n\to+\infty}|u_n-\alpha|=0

Par conséquent,  \boxed{\lim\limits_{n\to+\infty}u_n=\alpha}

2,25 points

exercice 2

On considère la fonction numérique :  x\mapsto \text e^x  et soit (gammamaj) sa courbe représentative dans un repère
orthonormé  \overset{ { \white{ . } } } {  (O,\vec i,\vec j).}
Pour tout  \overset{ { \white{ . } } } { n\in\N^* }  et pour tout  \overset{ { \white{ . } } } { k\in\lbrace0;1;\cdots;n\rbrace , }  on note  \overset{ { \white{ . } } } {   M_k }  le point de la courbe (gammamaj) de coordonnées  \left(\dfrac k n\;;\;\text e^{\frac k n}\right).

  1. a)  Nous devons montrer que :  \overset{ { \white{ . } } } {   \forall\,k\in\lbrace0;1;\cdots;(n-1)\rbrace ,\;\exists\,c_k\in\left]\dfrac k n\;;\;\dfrac{k+1}{n}\right[ }  tel que : \text e^{\frac{k+1}{n}}-\text e^{\frac k n}=\dfrac 1 n \,\text e^{c_k}.

La fonction  \overset{ { \white{ . } } } {  f:x\mapsto \text e^x }  est continue sur  \left[\dfrac k n\;;\;\dfrac{k+1}{n}\right]  et dérivable sur  \left]\dfrac k n\;;\;\dfrac{k+1}{n}\right[ .
D'après le théorème des accroissements finis, nous déduisons que :

\overset{ { \white{ . } } } { \exists\,c_k\in\left]\dfrac k n\;;\;\dfrac{k+1}{n}\right[:f\left(\dfrac{k+1}{n}\right)-f\left(\dfrac{k}{n}\right)=f'(c_k)\left(\dfrac{k+1}{n}-\dfrac k n\right) }

Or  \left\lbrace\begin{matrix}f\left(\dfrac{k}{n}\right)=\text e^{\frac k n}\phantom{WWWWWWWWWW}\\\overset{ { \white{ P } } } { f\left(\dfrac{k+1}{n}\right)=\text e^{\frac{k+1}{n}} }\phantom{WWWWWWWW}\\\overset{ { \white{ P } } } { f'(x)=(\text e^x)'=\text e^x\quad\Longrightarrow\quad f'(c_k)=\text e^{c_k} }\\\overset{ { \white{ P } } } { \dfrac{k+1}{n}-\dfrac k n=\dfrac{k+1-k}{n}=\dfrac 1 n }\phantom{WxWWW}\end{matrix}\right.

Par conséquent,  \overset{ { \white{ . } } } {   \forall\,k\in\lbrace0;1;\cdots;(n-1)\rbrace ,\;\exists\,c_k\in\left]\dfrac k n\;;\;\dfrac{k+1}{n}\right[ }  tel que  \text e^{\frac{k+1}{n}}-\text e^{\frac k n}=\dfrac 1 n \,\text e^{c_k}.

1. b)  Nous devons montrer que :  \overset{ { \white{ . } } } {   \forall\,k\in\lbrace0;1;\cdots;(n-1)\rbrace ;\;  M_kM_{k+1}=\dfrac 1 n \sqrt{1+\text e^{2c_k}} }

\left\lbrace\begin{matrix}M_k\ \left(\dfrac k n\;;\;\text e^{\frac k n}\right)\\ \\ M_{k+1}\ \left(\dfrac {k+1} {n}\;;\;\text e^{\frac {k+1}{n}}\right)\end{matrix}\right.\quad\Longrightarrow\quad\begin{matrix}\\ \\ \\ \\ \\ \\ \\ \\ M_kM_{k+1}=\sqrt{\left(\dfrac{k+1}{n}-\dfrac{k}{n}\right)^2+\left(\text e^{\frac {k+1}{n}}-\text e^{\frac {k}{n}}\right)^2 }\\\overset{ { \white{ . } } } {  \phantom{wwwww}=\sqrt{\left(\dfrac{1}{n}\right)^2+\left(\dfrac 1 n \,\text e^{c_k}\right)^2 }\quad(\text{voir 1. a}) }\\ \overset{ { \white{P } } } { \phantom{wwwwwww}=\sqrt{\left(\dfrac{1}{n}\right)^2\,\left[1+\left(\,\text e^{c_k}\right)^2\right] }\phantom{ WWWwWwW } }\\ \overset{ { \white{P } } } { =\dfrac{1}{n}\sqrt{1+\text e^{2c_k}\ }\phantom{ WWWwW }}\end{matrix}

Par conséquent,   \overset{ { \white{ . } } } {   \forall\,k\in\lbrace0;1;\cdots;(n-1)\rbrace ;\;  M_kM_{k+1}=\dfrac 1 n \sqrt{1+\text e^{2c_k}} }

1. c)   Nous avons montré que :  \overset{ { \white{ . } } } {   \forall\,k\in\lbrace0;1;\cdots;(n-1)\rbrace ;\;  M_kM_{k+1}=\dfrac 1 n \sqrt{1+\text e^{2c_k}} }

\text{Or }\;c_k\in\left]\dfrac k n\;;\;\dfrac{k+1}{n}\right[\quad\Longrightarrow\quad c_k\in\left[\dfrac k n\;;\;\dfrac{k+1}{n}\right] \\ \overset{ { \white{ . } } } {\phantom{WWWWWWWWw}  \quad\Longrightarrow\quad \dfrac k n\le c_k\le \dfrac{k+1}{n} } \\ \overset{ { \phantom{ . } } } {\phantom{WWWWWWWWw}  \quad\Longrightarrow\quad \dfrac {2k}{ n}\le 2c_k\le \dfrac{2(k+1)}{n}   }  \\ \overset{ { \white{P } } } {\phantom{WWWWWWWWw}  \quad\Longrightarrow\quad \text e^{\frac {2k}{ n} }\le \text e^{2c_k}\le \text e^{\frac{2(k+1)}{n}}   } \\ \overset{ { \white{P } } } {\phantom{WWWWWWWWw}  \quad\Longrightarrow\quad 1+\text e^{\frac {2k}{ n} }\le 1+\text e^{2c_k}\le 1+\text e^{\frac{2(k+1)}{n}}   }
\\ \overset{ { \white{P } } } {\phantom{WWWWWWWWw}  \quad\Longrightarrow\quad \sqrt{ 1+\text e^{\frac {2k}{ n} } }\le \sqrt{ 1+\text e^{2c_k} }\le \sqrt{ 1+\text e^{\frac{2(k+1)}{n}} }   } \\ \overset{ { \white{P } } } {\phantom{WWWWWWWWw}  \quad\Longrightarrow\quad \dfrac 1 n\sqrt{ 1+\text e^{\frac {2k}{ n} } }\le \dfrac 1 n\sqrt{ 1+\text e^{2c_k} }\le \dfrac 1 n\sqrt{ 1+\text e^{\frac{2(k+1)}{n}} }   }  \\\\\text{D'où }\;\boxed{\forall\,k\in\lbrace0;1;\cdots;(n-1)\rbrace ;\;\dfrac 1 n\sqrt{ 1+\text e^{\frac {2k}{ n} } }\le M_kM_{k+1}\le \dfrac 1 n\sqrt{ 1+\text e^{\frac{2(k+1)}{n}} }}

2.  Soit  \overset{ { \white{ . } } } { (S_n)_{n\in\N^*} }  la suite numérique définie par :  \forall\,n\in\N^*\;;\;S_n=\displaystyle\sum_{k=0}^{n-1}M_kM_{k+1}.

2. a)  Soit  n\in\N^*.

Nous avons montré que  \forall\,k\in\lbrace0;1;\cdots;(n-1)\rbrace ;\;\dfrac 1 n\sqrt{ 1+\text e^{\frac {2k}{ n} } }\le M_kM_{k+1}\le\dfrac 1 n\sqrt{ 1+\text e^{\frac{2(k+1)}{n}} }

Dès lors,

\dfrac 1 n\sqrt{ 1+\text e^{\frac {2k}{ n} } }\le M_kM_{k+1}\le\dfrac 1 n\sqrt{ 1+\text e^{\frac{2(k+1)}{n}} } \\ \overset{ { \white{ P} } } { \quad\Longrightarrow\quad \displaystyle\sum_{k=0}^{n-1}\dfrac 1 n\sqrt{ 1+\text e^{\frac {2k}{ n} } }\le\sum_{k=0}^{n-1}M_kM_{k+1}\le\dfrac 1 n\sum_{k=0}^{n-1}\dfrac 1 n\sqrt{ 1+\text e^{\frac{2(k+1)}{n}} }} \\ \overset{ { \white{ P} } } { \quad\Longrightarrow\quad \dfrac 1 n\displaystyle\sum_{k=0}^{n-1}\sqrt{ 1+\text e^{\frac {2k}{ n} } }\le S_n\le\dfrac 1 n\sum_{k=0}^{n-1}\sqrt{ 1+\text e^{\frac{2(k+1)}{n}} } }

Changeons les indices dans l'écriture  \displaystyle\sum_{k=0}^{n-1}\sqrt{ 1+\text e^{\frac{2(k+1)}{n}} }.

Soit  \overset{ { \white{ . } } } { i=k+1, }

\left\lbrace\begin{matrix}\text{si }\;k=0,\text{alors }i=0+1=1\phantom{WWWW}\\ \text{si }\;k=n-1,\text{alors }i=(n-1)+1=n\end{matrix}\right.

Dans ce cas,  \displaystyle\dfrac 1 n\sum_{k=0}^{n-1}\sqrt{ 1+\text e^{\frac{2(k+1)}{n}} }=\dfrac 1 n\sum_{i=1}^{n}\sqrt{ 1+\text e^{\frac{2\,i}{n}} }=\dfrac 1 n\sum_{k=1}^{n}\sqrt{ 1+\text e^{\frac{2\,k}{n}} }.

Par conséquent,  \boxed{ \forall\,n\in\N^*,\;\quad\dfrac 1 n\displaystyle\sum_{k=0}^{n-1}\sqrt{ 1+\text e^{\frac {2k}{ n} } }\le S_n\le\dfrac 1 n\sum_{k=1}^{n}\sqrt{ 1+\text e^{\frac{2\,k}{n}} } }

2. b)  Soit la fonction f  définie sur [0 ; 1] par  f(x)=\sqrt{1+\text e^{2x}}.
La fonction f  est continue sur [0 ; 1].

Rappelons le corollaire du théorème sur les sommes de Riemann.

Soit f  une fonction continue sur [a  ; b ] (a  < b ).

Pour tout  \overset{ { \white{ . } } } {   n\in\N^*, }  , on pose :  \displaystyle s_{1,n}=\dfrac{b-a}{n}\sum_{k=0}^{n-1}f\left(a+\dfrac{k(b-a)}{n}\right)\quad\text{et}\quad S_{2,n}=\dfrac{b-a}{n}\sum_{k=1}^{n}f\left(a+\dfrac{k(b-a)}{n}\right)
Alors les suites  \overset{ { \white{ . } } } { (s_{1,n}) }  et  \overset{ { \white{ . } } } { (S_{2,n}) }  convergent et  \boxed{\lim\limits_{n\to+\infty}s_{1,n}=\lim\limits_{n\to+\infty}S_{2,n}=\displaystyle\int_{a}^{b}f(x)\text{ d}x }\,.
 


Appliquons ce corollaire lorsque a  = 0 et b  = 1.

Nous obtenons :  \overset{ { \white{ . } } } {   f\left(a+\dfrac{k(b-a)}{n}\right)=f\left(0+\dfrac{k(1-0)}{n}\right)=f\left(\dfrac{k}{n}\right)=\sqrt{1+\text e^{\frac{2k}{n}}} }

De plus,
\displaystyle s_{1,n}=\dfrac{b-a}{n}\sum_{k=0}^{n-1}f\left(a+\dfrac{k(b-a)}{n}\right)=\dfrac{1-0}{n}\sum_{k=0}^{n-1}\sqrt{1+\text e^{\frac{2k}{n}}}\quad\Longrightarrow\quad \boxed{s_{1,n}=\dfrac{1}{n}\sum_{k=0}^{n-1}\sqrt{1+\text e^{\frac{2k}{n}}}}\\ \\ \text{et}\quad\displaystyle S_{2,n}=\dfrac{b-a}{n}\sum_{k=1}^{n}f\left(a+\dfrac{k(b-a)}{n}\right)=\dfrac{1-0}{n}\sum_{k=1}^{n}\sqrt{1+\text e^{\frac{2k}{n}}}\quad\Longrightarrow\quad \boxed{S_{2,n}=\dfrac{1}{n}\sum_{k=1}^{n}\sqrt{1+\text e^{\frac{2k}{n}}}}

Dès lors,
\forall\,n\in\N^*,\;\quad\dfrac 1 n\displaystyle\sum_{k=0}^{n-1}\sqrt{ 1+\text e^{\frac {2k}{ n} } }\le S_n\le\dfrac 1 n\sum_{k=1}^{n}\sqrt{ 1+\text e^{\frac{2\,k}{n}} }  \\ \\ \phantom{W}\quad\Longrightarrow\quad \lim\limits_{n\to+\infty}\,\dfrac 1 n\displaystyle\sum_{k=0}^{n-1}\sqrt{ 1+\text e^{\frac {2k}{ n} } }\le \lim\limits_{n\to+\infty}\,S_n\le\lim\limits_{n\to+\infty}\,\dfrac 1 n\sum_{k=1}^{n}\sqrt{ 1+\text e^{\frac{2\,k}{n}} }  \\ \\ \phantom{W}\quad\Longrightarrow\quad \lim\limits_{n\to+\infty}\,s_{1,n}\le \lim\limits_{n\to+\infty}\,S_n\le\lim\limits_{n\to+\infty}\,S_{2,n} \\ \\ \phantom{W}\quad\Longrightarrow\quad \displaystyle\int_{0}^{1}f(x)\text{ d}x\le \lim\limits_{n\to+\infty}\,S_n\le\displaystyle\int_{0}^{1}f(x)\text{ d}x \\ \\ \phantom{W}\quad\Longrightarrow\quad \displaystyle\int_{0}^{1}\sqrt{1+\text e^{2x}}\text{ d}x\le \lim\limits_{n\to+\infty}\,S_n\le\displaystyle\int_{0}^{1}\sqrt{1+\text e^{2x}}\text{ d}x

Par conséquent,  \boxed{\lim\limits_{n\to+\infty}\,S_n=\displaystyle\int_{0}^{1}\sqrt{1+\text e^{2x}}\text{ d}x}\,.

3,5 points

exercice 3

On considère le nombre complexe :  \overset{ { \white{ . } } } { u=1+(2-\sqrt 3)\text i\,. }

1. a)  Nous devons écrire sous forme exponentielle les nombres complexes :  \overset{ { \white{ . } } } {   1-\text i }  et  \overset{ { \white{ . } } } {   1+\sqrt 3\text i }

\bullet{\white{x}}Écrivons d'abord  \overset{ { \white{ . } } } {  z_1= 1-\text i }  sous forme trigonométrique, soit sous la forme  \overset{ { \white{ . } } } {  z_1=|z_1|(\cos\theta_1+\text i \sin\theta_1). }

Nous savons que  |z_1|=\sqrt{1^2+(-1)^2}=\sqrt 2.
Nous obtenons ainsi :

z_1=1-\text i=\sqrt 2\left(\dfrac{1}{\sqrt 2}-\dfrac{1}{\sqrt 2}\text i\right)\quad\Longrightarrow\quad z_1=\sqrt 2\left(\dfrac{\sqrt 2}{2}-\dfrac{\sqrt 2}{2}\text i\right) \\\\\text{D'où }\;\left\lbrace\begin{matrix}\cos\theta_1=\dfrac{\sqrt 2}{2}\\\overset{ { \white{ . } } } {   \sin\theta_1=-\dfrac{\sqrt 2}{2}}\end{matrix}\right.\quad\Longrightarrow\quad\theta_1=-\dfrac{\pi}{4}\,[2\pi]

Nous en déduisons que la forme trigonométrique de  \overset{ { \white{ . } } } {  z_1}  est :  \overset{ { \white{ . } } } {  z_1=\sqrt 2\left[\cos\left(-\dfrac{\pi}{4}\right)+\text i\sin\left(-\dfrac{\pi}{4}\right)\right] } 
Par conséquent, la forme exponentielle de  \overset{ { \white{ . } } } {  1-\text i}  est :  \overset{ { \white{ . } } } {  \boxed{1-\text i=\sqrt 2\,\text e^{-\text i\frac{\pi}{4}}}\,. } 

\bullet{\white{x}}Écrivons    z_2= 1+\sqrt 3\,\text i   sous forme trigonométrique, soit sous la forme  \overset{ { \white{ . } } } {  z_2=|z_2|(\cos\theta_2+\text i \sin\theta_2). }

Nous savons que  |z_2|=\sqrt{1^2+(\sqrt 3)^2}=\sqrt {1+3}=\sqrt 4 =2.
Nous obtenons ainsi :

z_2=1+\sqrt 3\,\text i=2\left(\dfrac{1}{2}+\dfrac{\sqrt 3}{2}\text i\right) \\\\\text{D'où }\;\left\lbrace\begin{matrix}\cos\theta_2=\dfrac{1}{2}\\\overset{ { \white{ . } } } {   \sin\theta_2=\dfrac{\sqrt 3}{2}}\end{matrix}\right.\quad\Longrightarrow\quad\theta_2=\dfrac{\pi}{3}\,[2\pi]
Nous en déduisons que la forme trigonométrique de  \overset{ { \white{ . } } } {  z_2}  est :  \overset{ { \white{ . } } } {  z_2=2\left[\cos\left(\dfrac{\pi}{3}\right)+\text i\sin\left(\dfrac{\pi}{3}\right)\right] } 
Par conséquent, la forme exponentielle de   1+\sqrt 3\,\text i  est :  \overset{ { \white{ . } } } {  \boxed{1+\sqrt 3\,\text i=2\,\text e^{i\frac{\pi}{3}}}\,. } 

1. b)  Nous devons montrer que :  \dfrac{(1-\text i)(1+\sqrt 3\,\text i)}{2\sqrt 2}=\text e^{\text i\frac{\pi}{12}}.

{ \white{ xxi } }\dfrac{(1-\text i)(1+\sqrt 3\,\text i)}{2\sqrt 2}=\dfrac{\sqrt 2\,\text e^{-\text i\frac{\pi}{4}}\times2\,\text e^{\text i\frac{\pi}{3}}}{2\sqrt 2} \\ \overset{ { \white{ P } } } {  \phantom{WWWWWWw}= \text e^{-i\frac{\pi}{4}}\times\text e^{\text i\frac{\pi}{3}}} \\ \overset{ { \white{ P } } } {  \phantom{WWWWWWw}= \text e^{\text i(\frac{\pi}{3}-\frac{\pi}{4})}} \\ \overset{ { \white{ P } } } {  \phantom{WWWWWWw}= \text e^{\text i(\frac{4\pi}{12}-\frac{3\pi}{12})}}
{ \white{ xxi } }\\ \overset{ { \white{ P } } } {  \phantom{WWWWWWw}= \text e^{\text i\frac{\pi}{12}}} \\ \\ \Longrightarrow\quad\boxed{ \dfrac{(1-\text i)(1+\sqrt 3\,\text i)}{2\sqrt 2}=\text e^{\text i\frac{\pi}{12}} }

1. c)  A l'aide de la question précédente, nous obtenons :

\dfrac{(1-\text i)(1+\sqrt 3\,\text i)}{2\sqrt 2}=\text e^{\text i\frac{\pi}{12}} \quad\Longleftrightarrow\quad\dfrac{1+\sqrt 3\,\text i-\text i+\sqrt 3}{2\sqrt 2}=\text e^{\text i\frac{\pi}{12}}  \\ \overset{ { \white{ . } } } {  \phantom{WWWWWWWWwW} \quad\Longleftrightarrow\quad\dfrac{\sqrt 3+1+(\sqrt 3 - 1)\,\text i}{2\sqrt 2}=\text e^{\text i\frac{\pi}{12}} } \\ \overset{ { \white{ . } } } {  \phantom{WWWWWWWWwW} \quad\Longleftrightarrow\quad\dfrac{\sqrt 3+1}{2\sqrt 2}+\text i\dfrac{\sqrt 3-1}{2\sqrt 2}=\cos\left(\dfrac{\pi}{12}\right)+\text i \sin\left(\dfrac{\pi}{12}\right)}

Par identification, nous en déduisons que :

{ \white{ xxi } }{ \white{ xxi } } \left\lbrace\begin{matrix}\cos\left(\dfrac{\pi}{12}\right)=\dfrac{\sqrt 3+1}{2\sqrt 2}\\\overset{ { \white{ . } } } {  \sin\left(\dfrac{\pi}{12}\right)=\dfrac{\sqrt 3-1}{2\sqrt 2}}\end{matrix}\right.

Dès lors,

\tan\left(\dfrac{\pi}{12}\right)=\dfrac{\sin\left(\dfrac{\pi}{12}\right)}{\cos\left(\dfrac{\pi}{12}\right)}=\dfrac{\dfrac{\sqrt 3-1}{2\sqrt 2}}{\dfrac{\sqrt 3+1}{2\sqrt 2}}=\dfrac{\sqrt 3-1}{\sqrt 3+1}=\dfrac{(\sqrt 3-1)^2}{(\sqrt 3+1)(\sqrt 3-1)} \\\\\phantom{WWWk}=\dfrac{3-2\sqrt 3+1}{(\sqrt 3)^2-1^2}=\dfrac{4-2\sqrt 3}{3-1}=\dfrac{2(2-\sqrt 3)}{2}=2-\sqrt 3 \\ \\ \\ \Longrightarrow\quad\boxed{\tan\left(\dfrac{\pi}{12}\right)=2-\sqrt 3 }

1. d)  A l'aide de la question précédente, nous obtenons :

{ \white{ xxi } }u=1+(2-\sqrt 3)\text i=1+\text i \tan\left(\dfrac{\pi}{12}\right) \\ \overset{ { \white{ . } } } {  \phantom{u}=1+\dfrac{\text i \sin\left(\dfrac{\pi}{12}\right)}{\cos\left(\dfrac{\pi}{12}\right)}=\dfrac{\cos\left(\dfrac{\pi}{12}\right)+\text i \sin\left(\dfrac{\pi}{12}\right)}{\cos\left(\dfrac{\pi}{12}\right)} }
{ \white{ xxxii } }\\ \overset{ { \white{ . } } } {  \phantom{u}=\dfrac{\text e^{\text i\frac{\pi}{12}}}{\cos\left(\dfrac{\pi}{12}\right)} =\dfrac{1}{\cos\left(\dfrac{\pi}{12}\right)} \,\text e^{\text i\frac{\pi}{12}}=\dfrac{1}{\dfrac{\sqrt 3+1}{2\sqrt 2}} \,\text e^{\text i\frac{\pi}{12}}=\dfrac{2\sqrt 2}{\sqrt 3+1} \,\text e^{\text i\frac{\pi}{12}}} \\ \overset{ { \white{ . } } } {  \phantom{u}=\dfrac{2\sqrt 2(\sqrt 3 -1)}{(\sqrt 3+1)(\sqrt 3 -1)} \,\text e^{\text i\frac{\pi}{12}}}
{ \white{ xxi } }\\ \overset{ { \white{ . } } } {  \phantom{u}=\dfrac{2(\sqrt 6 -\sqrt 2)}{3-1} \,\text e^{\text i\frac{\pi}{12}}=\dfrac{2(\sqrt 6 -\sqrt 2)}{2} \,\text e^{\text i\frac{\pi}{12}}=(\sqrt 6 -\sqrt 2)\,\text e^{\text i\frac{\pi}{12}}} \\ \\ \\ \Longrightarrow\quad\boxed{u=(\sqrt 6 -\sqrt 2)\,\text e^{\text i\frac{\pi}{12}}}

2.  On considère les suites  \overset{ { \white{ . } } } { ( x_n)_{n\in\N} }  et  \overset{ { \white{ . } } } { ( y_n)_{n\in\N} }  définies par :

{ \white{ xxi } }{ \white{ xxi } }\overset{ { \white{ - } } } {  x_0=1\quad;\quad y_0=0 } { \white{ xxi } } et { \white{ xxi } } (\forall\,n\in\N)\;\left\lbrace\begin{matrix}x_{n+1}=x_n-(2-\sqrt 3)y_n\\y_{n+1}=(2-\sqrt 3)x_n+y_n\end{matrix}\right.

2. a)  Démontrons par récurrence que pour tout entier naturel n ,  \overset{ { \white{ . } } } { x_n+\text i y_n=u^n. }

Initialisation  : Montrons que la propriété est vraie pour n  = 0, soit que   \overset{ { \white{ . } } } { x_0+\text i y_0=u^0. }
C'est une évidence car  \overset{ { \white{ . } } } { \left\lbrace\begin{matrix}x_0+\text i y_0=1+\text i \times0\\\overset{ { \phantom{ . } } } {  u^0=1 }\phantom{WWWWW}\end{matrix}\right.\quad\Longrightarrow\quad \left\lbrace\begin{matrix}x_0+\text i y_0=1\\\overset{ { \phantom{ . } } } {  u^0=1 }\phantom{WW}\end{matrix}\right.\quad\Longrightarrow\quad\boxed{x_0+\text i y_0=u^0}}
Donc l'initialisation est vraie.

Hérédité  : Montrons que si pour un nombre naturel n  fixé, la propriété est vraie au rang n , alors elle est encore vraie au rang (n +1).
Montrons donc que si pour un nombre naturel n  fixé,  \overset{ { \white{ . } } } { x_n+\text i y_n=u^n } , alors  \overset{ { \white{ . } } } { x_{n+1}+\text i y_{n+1}=u^{n+1} }
En effet,

x_{n+1}+\text i y_{n+1}=x_n-(2-\sqrt 3)y_n+\text i\left(\overset{}{(2-\sqrt 3)x_n+y_n}\right) \\ \overset{ { \white{ . } } } {  \phantom{x_{n+1}+\text i y_{n+1}}=x_n-(2-\sqrt 3)y_n+\text i(2-\sqrt 3)x_n+\text iy_n} \\ \overset{ { \white{ . } } } {  \phantom{x_{n+1}+\text i y_{n+1}}=x_n+\text iy_n+\text i(2-\sqrt 3)x_n-(2-\sqrt 3)y_n} \\ \overset{ { \white{ . } } } {  \phantom{x_{n+1}+\text i y_{n+1}}=x_n+\text iy_n+\text i(2-\sqrt 3)\left(x_n-\dfrac{1}{\text i}\,y_n\right)}
\\ \overset{ { \white{ . } } } {  \phantom{x_{n+1}+\text i y_{n+1}}=x_n+\text iy_n+\text i(2-\sqrt 3)(x_n+\text i\,y_n)} \\ \overset{ { \white{ . } } } {  \phantom{x_{n+1}+\text i y_{n+1}}=(x_n+\text iy_n)\left(\overset{}{1+\text i(2-\sqrt 3)}\right)} \\ \overset{ { \white{ . } } } {  \phantom{x_{n+1}+\text i y_{n+1}}=u^n\times u} \\ \overset{ { \phantom{ . } } } {  \phantom{x_{n+1}+\text i y_{n+1}}=u^{n+1}} \\\\\Longrightarrow\quad\boxed{ x_{n+1}+\text i y_{n+1}=u^{n+1}}
L'hérédité est vraie.

Puisque l'initialisation et l'hérédité sont vraies, nous avons montré par récurrence que  \overset{ { \white{ . } } }{ \boxed{ \forall n\in\N\text{  ;  }x_n+\text i y_n=u^n }\;.}

2. b)  Nous en déduisons que pour tout entier naturel n ,

x_n+\text i y_n=u^n  \\ \overset{ { \white{ . } } } {  \phantom{WWWx}=\left[(\sqrt 6 -\sqrt 2)\,\text e^{\text i\frac{\pi}{12}}\right]^n \quad(\text{voir question 1. d})} \\ \overset{ { \white{ . } } } {  \phantom{WWWx}=(\sqrt 6 -\sqrt 2)^n\,\text e^{\text i\frac{n\pi}{12}}} \\ \overset{ { \white{ . } } } {  \phantom{WWWx}=(\sqrt 6 -\sqrt 2)^n\,\left(\cos\left(\dfrac{n\pi}{12}\right)+\text i \sin\left(\dfrac{n\pi}{12}\right)\right)}
{ \white{ xxxxi } }{ \phantom{ xxi } }\\ \overset{ { \white{ . } } } {  \phantom{WWWx}=\left(\dfrac{1}{\cos\dfrac{\pi}{12}}\right)^n\,\left(\cos\left(\dfrac{n\pi}{12}\right)+\text i \sin\left(\dfrac{n\pi}{12}\right)\right)} \\\phantom{WWWWWWWWWWWW}\quad\quad\text{car }\sqrt 6 -\sqrt 2=\dfrac{1}{\cos\dfrac{\pi}{12}}\quad\text{(voir question 1. d)} \\ \overset{ { \white{ . } } } {\Longrightarrow\boxed{x_n+\text i y_n=\dfrac{\cos\left(\dfrac{n\pi}{12}\right)}{\left(\cos\dfrac{\pi}{12}\right)^n}+\text i \dfrac{\sin\left(\dfrac{n\pi}{12}\right)}{\left(\cos\dfrac{\pi}{12}\right)^n}} }

Par identification, nous en déduisons que :  \boxed{\left\lbrace\begin{matrix}x_n=\dfrac{\cos\left(\dfrac{n\pi}{12}\right)}{\left(\cos\dfrac{\pi}{12}\right)^n}\\\\y_n= \dfrac{\sin\left(\dfrac{n\pi}{12}\right)}{\left(\cos\dfrac{\pi}{12}\right)^n}\end{matrix}\right.}

3.  Le plan complexe est rapporté à un repère orthonormé direct  \left(O;\overrightarrow{ e_1},\overrightarrow{ e_2}\right).

Pour tout entier naturel n , on note  \overset{ { \white{ . } } } { A_n }  le point d'affixe  \overset{ { \white{ . } } } { z_{A_n}=u^n\,. }

3. a)  Nous devons déterminer les entiers n  pour lesquels les points  \overset{ { \white{ . } } } { O\,,\,A_0 }  et  \overset{ { \white{ . } } } { A_n }  sont alignés.

Les points  \overset{ { \white{ . } } } { O\,,\,A_0 }  et  \overset{ { \white{ . } } } { A_n }  sont alignés     \Longleftrightarrow\quad\overset{  {\white{c}} }{\dfrac{z_{A_n}-z_O}{z_{A_0}-z_O}\in\R.}

\text{Or }\;\dfrac{z_{A_n}-z_O}{z_{A_0}-z_O}\in\R\quad\Longleftrightarrow\quad\dfrac{u^n-0}{u^0-0}\in\R \\ \overset{ { \white{ . } } } {  \phantom{\text{Or }\;\dfrac{z_{A_n}-z_O}{z_{A_0}- z_O}\in\R}\quad\Longleftrightarrow\quad\dfrac{u^n}{1}\in\R}  \\ \overset{ { \white{ . } } } {  \phantom{aa\text{Or }\;\frac{z_{A_n}-z_O}{z_{A_0}- z_O}\in\R}\quad\Longleftrightarrow\quad u^n\in\R}  \\   \phantom{\text{Or }\;aa\frac{z_{A_n}-z_O}{z_{A_0}- z_O}\in\R}\quad\Longleftrightarrow\quad x_n+\text i y_n\in\R \\   \phantom{aa\text{Or }\;\frac{z_{A_n}-z_O}{z_{A_0}- z_O}\in\R}\quad\Longleftrightarrow\quad  y_n=0 \\   \phantom{aa\text{Or }\;\frac{z_{A_n}-z_O}{z_{A_0}- z_O}\in\R}\quad\Longleftrightarrow\quad  \dfrac{\sin\left(\dfrac{n\pi}{12}\right)}{\left(\cos\dfrac{\pi}{12}\right)^n}=0

{ \white{ WWWWWWWWw } }\\   \phantom{\text{Or }\;\dfrac{z_{A_n}-z_O}{z_{A_0}- z_O}\in\R}\quad\Longleftrightarrow\quad \sin\left(\dfrac{n\pi}{12}\right)=0 \\   \phantom{\text{Or }\;\dfrac{z_{A_n}-z_O}{z_{A_0}- z_O}\in\R}\quad\Longleftrightarrow\quad \exists\,k\in\Z\;:\; \dfrac{n\pi}{12}=k\pi \\   \phantom{\text{Or }\;\dfrac{z_{A_n}-z_O}{z_{A_0}- z_O}\in\R}\quad\Longleftrightarrow\quad \exists\,k\in\Z\;:\; \dfrac{n}{12}=k \\   \phantom{\text{Or }\;\dfrac{z_{A_n}-z_O}{z_{A_0}- z_O}\in\R}\quad\Longleftrightarrow\quad \exists\,k\in\Z\;:\; n=12k

Puisque n  est un nombre entier naturel, nous avons :  \overset{ { \white{ . } } } { n=12k\quad\text{avec }k\in\N. }
Par conséquent, les points  \overset{ { \white{ . } } } { O\,,\,A_0 }  et  \overset{ { \white{ . } } } { A_n }  sont alignés si et seulement si n  est multiple de 12.

3. b)  Nous devons montrer que pour tout entier n , le triangle OAnAn+1  est rectangle en An .

Montrons d'abord que les trois points  \overset{ { \white{ . } } } { O\,,\,A_n }  et  \overset{ { \white{ . } } } { A_{n+1} }  sont distincts deux à deux.
Nous savons que les affixes des points  \overset{ { \white{ . } } } { O\,,\,A_n }  et  \overset{ { \white{ . } } } { A_{n+1} }  sont respectivement  \overset{ { \white{ . } } } { 0\,,\,u^n }  et  \overset{ { \white{ . } } } { u^{n+1}\,. } 

{ \white{ xxxxi } }\bullet{\white{x}}u\neq 0\quad\Longrightarrow\quad u^n\neq0 \\ \phantom{WWiW}\quad\Longrightarrow\quad\boxed{A_n\neq O} \\ \\\bullet{\white{x}}u\neq 0\quad\Longrightarrow\quad u^{n+1}\neq0 \\ \phantom{WWiW}\quad\Longrightarrow\quad\boxed{A_{n+1}\neq O} \\ \\\bullet{\white{x}}\left\lbrace\begin{matrix}u^{n+1}=u\times u^n\\u\neq1\phantom{XXXX} \end{matrix}\right.\quad\Longrightarrow\quad u^{n+1}\neq u^n \\ \phantom{WWWWWWwW}\quad\Longrightarrow\quad\boxed{A_{n}\neq A_{n+1}}

Donc les trois points  \overset{ { \white{ . } } } { O\,,\,A_n }  et  \overset{ { \white{ . } } } { A_{n+1} }  forment un triangle.

Montrons ensuite que le triangle OAnAn+1  est rectangle en An .

Le triangle OAnAn+1  est rectangle en An      \Longleftrightarrow\quad\overset{  {\white{c}} }{\dfrac{z_{A_{n+1}}-z_{A_n}}{z_0-z_{A_n}}\in\text{i}\R.}

\text{Or }\;\dfrac{z_{A_{n+1}}-z_{A_n}}{z_0-z_{A_n}}=\dfrac{u^{n+1}-u^n}{0-u^n} \\ \overset{ { \white{ . } } } {  \phantom{\text{Or }\;\dfrac{z_{A_{n+1}}-z_{A_n}}{z_0-z_{A_n}}}=\dfrac{u^{n+1}-u^n}{-u^n}}  \\ \overset{ { \white{ . } } } {  \phantom{\text{Or }\;\dfrac{z_{A_{n+1}}-z_{A_n}}{z_0-z_{A_n}}}= \dfrac{u^{n}(u-1)}{-u^n}}  \\ \overset{ { \white{ . } } } {  \phantom{\text{Or }\;\dfrac{z_{A_{n+1}}-z_{A_n}}{z_0-z_{A_n}}}= \dfrac{u-1}{-1}}
{ \white{ WWWWW. } }\\ \overset{ { \white{ . } } } {  \phantom{\text{Or }\;\dfrac{z_{A_{n+1}}-z_{A_n}}{z_0-z_{A_n}}}=1-u}  \\ \overset{ { \white{ . } } } {  \phantom{\text{Or}\;\{z_{A_{n+1}}-z_{A_n}}}=1-\left(\overset{}{1}+(2-\sqrt 3)\text i\right)}
{ \white{ WWWWWWW } }\\ \overset{ { \phantom{ . } } } {  \phantom{\text{Or}\;\{z_{A_{n+1}}-z_{A_n}}}=-(2-\sqrt 3)\text i}

\Longrightarrow\quad\boxed{\dfrac{z_{A_{n+1}}-z_{A_n}}{z_0-z_{A_n}}\in\text{i}\R   }

Par conséquent, le triangle OAnAn+1  est rectangle en An .

3 points

exercice 4

Soit p  un nombre premier impair.
On considère dans  \Z  l'équation  \overset{ { \white{ . } } } { (E):x^2\equiv 2\,[p]. }

1. a)  Montrons que  \overset{ { \white{ . } } } { 2^{p-1}\equiv 1\,[p]. }

Puisque p  est un nombre premier impair, nous déduisons que  \overset{ { \white{ . } } } {  p\wedge2=1. }
En appliquant le petit théorème de Fermat, nous savons que si p  est un nombre premier et si  \overset{ { \white{ . } } } {  p\wedge2=1 } , alors  \overset{ { \white{ . } } } { \boxed{2^{p-1}\equiv 1\,[p]}\,. }

1. b)  Remarques :   \left(2^{\frac{p-1}{2}}-1\right)\left(2^{\frac{p-1}{2}}+1\right)=\left(2^{\frac{p-1}{2}}\right)^2-1^2\quad\Longrightarrow\quad \boxed{\left(2^{\frac{p-1}{2}}-1\right)\left(2^{\frac{p-1}{2}}+1\right)=2^{p-1}-1}
et p   étant un nombre premier impair donc positif, (p -1) est un nombre pair positif, ce qui implique que   \overset{ { \white{ . } } } {  \boxed{\dfrac{p-1}{2}\in\N }}  

Dès lors,

2^{p-1}\equiv1\,[p]\quad\Longleftrightarrow\quad2^{p-1}-1\equiv0\,[p] \\ \overset{ { \white{ . } } } { \phantom{WWWwW} \quad\Longleftrightarrow\quad\left(2^{\frac{p-1}{2}}-1\right)\left(2^{\frac{p-1}{2}}+1\right)\equiv0\,[p]} \\ \overset{ { \white{ . } } } { \phantom{WWWwW} \quad\Longleftrightarrow\quad p\; | \left(2^{\frac{p-1}{2}}-1\right)\left(2^{\frac{p-1}{2}}+1\right)} \\ \overset{ { \white{ . } } } { \phantom{WWWwW} \quad\Longleftrightarrow\quad p\; |\, 2^{\frac{p-1}{2}}-1\quad\text{ou}\quad p\,|\,2^{\frac{p-1}{2}}+1}\quad\text{car }p\text{ est premier}
\\ { \white{ . } } \overset{ { \white{ . } } } { \phantom{WWwwW} \quad\Longleftrightarrow\quad  2^{\frac{p-1}{2}}-1\equiv0\,[p]\quad\text{ou}\quad 2^{\frac{p-1}{2}}+1\equiv0\,[p]} \\ \overset{ { \white{ . } } } { \phantom{WWWwW} \quad\Longleftrightarrow\quad  \boxed{ 2^{\frac{p-1}{2}}\equiv1\,[p]\quad\text{ou}\quad 2^{\frac{p-1}{2}}\equiv-1\,[p] }}

2.   Soit x  une solution de l'équation (E ).

2. a)  Montrons que p  et x  sont premiers entre eux.

Nous allons utiliser une propriété des nombres premiers : si un nombre premier ne divise pas un entier, il est premier avec lui.
Montrons alors que le nombre premier p  ne divise pas x .

Par l'absurde, supposons que p  divise x .
p\,|\,x\quad\Longrightarrow\quad p\,|\,x^2
Puisque x  une solution de l'équation (E ), nous savons que  x^2\equiv 2\,[p] , soit que  x^2-2\equiv 0\,[p] .
Donc  p\,|\,x^2-2.

  Il s'ensuit que :

\left\lbrace\begin{matrix}p\,|\,x^2\phantom{xxx}\\\overset{ { \white{ . } } } {  p\,|\,x^2-2}\end{matrix}\right.\quad\Longrightarrow\quad p\,|\,[x^2-(x^2-2)] \\ \overset{ { \white{ . } } } {   \phantom{WWiWW}\quad\Longrightarrow\quad p\,|\,(x^2-x^2+2)} \\ \overset{ { \white{ . } } } {   \phantom{WWiWW}\quad\Longrightarrow\quad p\,|\,2}

Ce qui est absurde car p  est un nombre premier impair et est donc supérieur ou égal à 3.

D'où la supposition "p  divise x " est absurde.
Par conséquent, le nombre premier ne divise pas x .

En utilisant la propriété des nombres premiers rappelée ci-dessus, nous en déduisons que p  et x  sont premiers entre eux, soit  \boxed{p\wedge x=1}\,..

2. b)  Montrons que :  2^{\frac{p-1}{2}}\equiv 1\,[p]\,.

D'une part, nous savons que p  est premier et que  \overset{ { \white{ . } } } {  p\wedge x=1\,. }
D'après le petit théorème de Fermat, nous déduisons que  \overset{ { \white{ . } } } {  \boxed{x^{p-1}\equiv 1\,[p]}\,. }

D'autre part, x  est une solution de l'équation (E ), soit  x^2\equiv 2\,[p] .
Nous avons montré dans les remarques que  \overset{ { \white{ . } } } {  \dfrac{p-1}{2}\in\N. }  

Dès lors,

x^2\equiv 2\,[p]\quad\Longrightarrow\quad \left(x^2\right)^{\frac{p-1}{2}}\equiv 2^{\frac{p-1}{2}}\,[p] \\ \overset{ { \white{ . } } } { \phantom{x^2\equiv 2\,[p]}\quad\Longrightarrow\quad \boxed{x^{p-1}\equiv 2^{\frac{p-1}{2}}\,[p] } }.

Par la transitivité de la congruence modulo p , nous obtenons :

\left\lbrace\begin{matrix}x^{p-1}\equiv 2^{\frac{p-1}{2}}\,[p]\\\overset{ { \white{ . } } } { x^{p-1}\equiv 1\,[p] }\end{matrix}\right.\quad\Longleftrightarrow\quad\left\lbrace\begin{matrix}2^{\frac{p-1}{2}}\equiv {\red{x^{p-1}}}\,[p]\\\overset{ { \white{ . } } } { {\red{x^{p-1}}}\equiv 1\,[p] }\end{matrix}\right.\quad\Longrightarrow\quad\boxed{2^{\frac{p-1}{2}}\equiv 1\,[p]}\,.

3.  Montrons que  \overset{ { \white{ . } } } {  \forall\,k\in\lbrace1,2,\cdots,p-1\rbrace,\;p\,|\,C_p^k\,. }

\forall\,k\in\lbrace1,2,\cdots,p-1\rbrace,\;C_p^k=\dfrac{p\,!}{k\,!(p-k)\,!}\quad\Longleftrightarrow\quad C_p^k=\dfrac{p(p-1)\,!}{k(k-1)\,!(p-k)\,!} \\ \overset{ { \white{ . } } } { \phantom{WWWWWWWWWWWWWWWiW}\quad\Longleftrightarrow\quad k\,C_p^k=p\times\dfrac{(p-1)\,!}{(k-1)\,!(p-k)\,!} } \\ \overset{ { \white{ . } } } { \phantom{WWWWWWWWWWWWWWWiW}\quad\Longleftrightarrow\quad k\,C_p^k=p\, C_{p-1}^{k-1} } \\ \overset{ { \white{ . } } } { \phantom{WWWWWWWWWWWWWWWiW}\quad\Longrightarrow\quad p\,|\,k\,C_p^k }

Or p  ne divise pas k  car  \overset{ { \white{ . } } } { ( k\in\lbrace1,2,\cdots,p-1\rbrace\quad\Longrightarrow\quad k<p-1<p\quad\Longrightarrow\quad k<p)\,.}

D'où, en utilisant la propriété des nombres premiers rappelée dans la question 2. a), nous en déduisons que  \overset{ { \white{ . } } } {  p\wedge k=1\,.}

En résumé, nous savons que p  divise le produit  \overset{ { \white{ . } } } {  k\,C_p^k }  et que p est premier avec k  .
Donc, par le théorème de Gauss, p  divise  \overset{ { \white{ . } } } {  C_p^k\,. } 

4. a)  Montrons que :   \overset{ { \white{ . } } } {  (1+\text i)^p=2^{\frac p 2 }\cos\left(p\dfrac{\pi}{4}\right)+\text i\,2^{\frac p 2 }\sin\left(p\dfrac{\pi}{4}\right).}

1+\text i=\sqrt 2\left(\dfrac{1}{\sqrt 2 }+\text i\,\dfrac{1}{\sqrt 2 }\right) \\ \overset{ { \white{ . } } } {  \phantom{1+\text i}=\sqrt 2\left(\dfrac{\sqrt 2 }{2}+\text i\,\dfrac{\sqrt 2 }{2}\right) } \\ \overset{ { \white{ . } } } {  \phantom{1+\text i}=\sqrt 2\left(\cos\left(\dfrac{\pi }{4}\right)+\text i\,\sin\left(\dfrac{\pi }{4}\right)\right) }

\\ \\ \Longrightarrow(1+\text i)^p=\left[\sqrt 2\left(\cos\left(\dfrac{\pi }{4}\right)+\text i\,\sin\left(\dfrac{\pi }{4}\right)\right)\right]^p \\ \overset{ { \white{ . } } } {  \phantom{WWWxW}   =\left(\sqrt 2\right)^p\left(\cos\left(\dfrac{\pi }{4}\right)+\text i\,\sin\left(\dfrac{\pi }{4}\right)\right) ^p } \\ \overset{ { \white{ . } } } {  \phantom{WWWxW}   =\left(2^{\frac 1 2}\right)^p\left(\cos\left(\dfrac{\pi }{4}\right)+\text i\,\sin\left(\dfrac{\pi }{4}\right)\right) ^p } \\ \overset{ { \white{ . } } } {  \phantom{WWWxW}   =2^{\frac p 2}\left(\cos\left(p\,\dfrac{\pi }{4}\right)+\text i\,\sin\left(p\,\dfrac{\pi }{4}\right)\right)  }\quad\quad(\text{en utilisant la formule de Moivre)}

Par conséquent,  \overset{ { \white{ . } } } { \boxed{ (1+\text i)^p=2^{\frac p 2 }\cos\left(p\dfrac{\pi}{4}\right)+\text i\,2^{\frac p 2 }\sin\left(p\dfrac{\pi}{4}\right).} }

4. b)  On admet que   (1+\text i)^p  =\displaystyle\sum_{k=0}^{k=\frac{p-1}{2}}  (-1)^kC_p^{2k}+\text i\,\sum_{k=0}^{k=\frac{p-1}{2}}  (-1)^kC_p^{2k+1}\,.

Nous devons montrer que  \overset{ { \white{ . } } } {  2^{\frac p 2 }\cos\left(p\dfrac{\pi}{4}\right)\in\Z }  et que  \overset{ { \white{ . } } } {  2^{\frac p 2 }\cos\left(p\dfrac{\pi}{4}\right)\equiv 1\,[p].}

Nous savons que :  \left\lbrace\begin{matrix}\overset{ { \white{ . } } } { (1+\text i)^p=2^{\frac p 2 }\cos\left(p\dfrac{\pi}{4}\right)+\text i\,2^{\frac p 2 }\sin\left(p\dfrac{\pi}{4}\right) \quad\text{(voir 4.a)}}\phantom{}\\\overset{ { \white{ . } } } {  (1+\text i)^p  =\displaystyle\sum_{k=0}^{k=\frac{p-1}{2}}  (-1)^kC_p^{2k}+\text i\,\sum_{k=0}^{k=\frac{p-1}{2}}  (-1)^kC_p^{2k+1}  }\end{matrix}\right.

En identifiant les parties réelles, nous obtenons :  2^{\frac p 2 }\cos\left(p\dfrac{\pi}{4}\right)=\displaystyle\sum_{k=0}^{k=\frac{p-1}{2}}  (-1)^kC_p^{2k}\,.

\text{Or }\;\left\lbrace\begin{matrix} (-1)^k\in\Z\\\overset{ { \white{ . } } } {  C_p^{2k}\in\N }\end{matrix}\right.\quad\Longrightarrow\quad(-1)^kC_p^{2k}\in\Z \\\\\text{D'où }\;\displaystyle\sum_{k=0}^{k=\frac{p-1}{2}}  (-1)^kC_p^{2k}\in\Z.

Nous en déduisons que   \overset{ { \white{ . } } } {  \boxed{2^{\frac p 2 }\cos\left(p\dfrac{\pi}{4}\right)\in\Z} } 

De plus, nous avons montré dans la question 3. que  \forall\,k\in\lbrace1,2,\cdots,p-1\rbrace,\;p\,|\,C_p^k. 

Autrement dit,  \forall\,k\in\lbrace1,2,\cdots,\dfrac{p-1}{2}\rbrace,\;p\,|\,C_p^{2k} , soit  \overset{ { \white{ . } } } {   C_p^{2k}\equiv 0\,[p] }

Dès lors,

\forall\,k\in\lbrace1,2,\cdots,\dfrac{p-1}{2}\rbrace,\;C_p^{2k}\equiv 0\,[p]\quad\Longrightarrow\quad(-1)^kC_p^{2k}\equiv 0\,[p] \\ \overset{ { \white{ . } } } { \phantom{WWWWWWWWWWWWWW}\quad\Longrightarrow\quad\displaystyle\sum_{k=1}^{k=\frac{p-1}{2}}  (-1)^kC_p^{2k}\equiv 0\,[p] } \\ \overset{ { \white{ . } } } { \phantom{WWWWWWWWWWWWWW}\quad\Longrightarrow\quad(-1)^0C_p^{0}+\displaystyle\sum_{k=1}^{k=\frac{p-1}{2}}  (-1)^kC_p^{2k}\equiv (-1)^0C_p^{0}\,[p] } \\ \overset{ { \white{ . } } } { \phantom{WWWWWWWWWWWWWW}\quad\Longrightarrow\quad\displaystyle\sum_{k={\red{0}}}^{k=\frac{p-1}{2}}  (-1)^kC_p^{2k}\equiv 1\,[p] }

Puisque  2^{\frac p 2 }\cos\left(p\dfrac{\pi}{4}\right)=\displaystyle\sum_{k=0}^{k=\frac{p-1}{2}} (-1)^kC_p^{2k}\,,  nous en déduisons que   \overset{ { \white{ . } } } { \boxed{2^{\frac p 2 }\cos\left(p\dfrac{\pi}{4}\right)\equiv 1\,[p].}}

5.  Nous devons en déduire que si  \overset{ { \white{ . } } } { p\equiv 5\,[8] } , alors l'équation  \overset{ { \white{ . } } } { (E) }  n'a pas de solution dans  \overset{ { \white{ _. } } } { \Z\,.}

p\equiv5\,[8]\quad\Longleftrightarrow\quad\exists \,k\in\Z : p=5+8k.

Supposons par l'absurde que x  est une solution de l'équation  \overset{ { \white{ . } } } { (E)\,. } 
Dans ce cas, nous avons montré à la question 4. b) que   \overset{ { \white{ . } } } { 2^{\frac p 2 }\cos\left(p\dfrac{\pi}{4}\right)\equiv 1\,[p].}

Dès lors, nous obtenons :

2^{\frac p 2 }\cos\left(p\dfrac{\pi}{4}\right)\equiv 1\,[p]\quad\Longleftrightarrow\quad 2^{\frac p 2 }\cos\left((5+8k)\dfrac{\pi}{4}\right)\equiv 1\,[p] \\ \overset{ { \white{ . } } } {   \phantom{WWWWWWWX}\quad\Longleftrightarrow\quad 2^{\frac p 2 }\cos\left(\dfrac{5\pi}{4}+2\pi\right)\equiv 1\,[p]} \\ \overset{ { \white{ . } } } {   \phantom{WWWWWWWX}\quad\Longleftrightarrow\quad 2^{\frac p 2 }\cos\left(\dfrac{5\pi}{4}\right)\equiv 1\,[p]} \\ \overset{ { \white{ . } } } {   \phantom{WWWWWWWX}\quad\Longleftrightarrow\quad 2^{\frac p 2 }\times\left(-\dfrac{\sqrt 2}{2}\right)\equiv 1\,[p]}
{ \white{ WWWWWWWwW} }\\ \overset{ { \white{ . } } } {   \phantom{WWWWWWWX}\quad\Longleftrightarrow\quad 2^{\frac p 2 }\times\left(-\dfrac{2^{\frac 1 2}}{2}\right)\equiv 1\,[p]} \\ \overset{ { \white{ . } } } {   \phantom{WWWWWWWX}\quad\Longleftrightarrow\quad 2^{\frac p 2 }\times\left(-2^{-\frac 1 2}\right)\equiv 1\,[p]} \\ \overset{ { \white{ . } } } {   \phantom{WWWWWWWX}\quad\Longleftrightarrow\quad -2^{\frac {p-1}{ 2} }\equiv 1\,[p]}
{ \white{ WWWWWWWwW} }\\ \overset{ { \white{ . } } } {   \phantom{WWWWWWWX}\quad\Longleftrightarrow\quad 2^{\frac {p-1}{ 2} }\equiv -1\,[p]}

Or nous avons montré dans la question 2. b) que  2^{\frac {p-1}{ 2} }\equiv 1\,[p]\,.
Nous en déduisons que :

\left\lbrace\begin{matrix}2^{\frac {p-1}{ 2} }\equiv -1\,[p]\\\overset{ { \white{ . } } } {   2^{\frac {p-1}{ 2} }\equiv 1\,[p]}\end{matrix}\right.\quad\Longrightarrow\quad1\equiv -1\,[p] \\ \phantom{WWWWiWW}\quad\Longrightarrow\quad2\equiv 0\,[p] \\\\  \phantom{WWWWiWW}\quad\Longrightarrow\quad p\,|\,2

Nous venons de montrer que si x  est une solution de l'équation  \overset{ { \white{ . } } } { (E) } , alors p  divise 2, ce qui est impossible, car p  étant un nombre premier impair, il est strictement supérieur à 2.

Par conséquent, si  \overset{ { \white{ . } } } { p\equiv 5\,[8] } , alors l'équation  \overset{ { \white{ . } } } { (E) }  n'a pas de solution dans  \overset{ { \white{ _. } } } { \Z\,.}

3,5 points

exercice 5

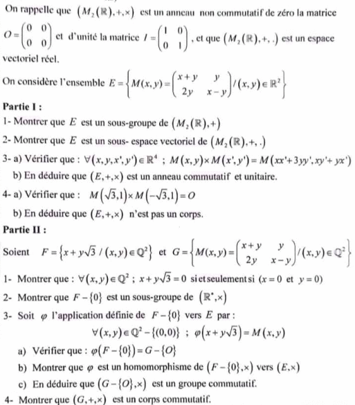
On rappelle que  \overset{ { \white{ . } } } { (M_2(\R),+,\times)}  est un anneau non commutatif de zéro la matrice  \overset{ { \white{ . } } } { O=\begin{pmatrix}0&0\\0&0\end{pmatrix} }  et d'unité la matrice  \overset{ { \white{ . } } } { I=\begin{pmatrix}1&0\\0&1\end{pmatrix} } , et que  \overset{ { \white{ . } } } { (M_2(\R),+,.)}  est un espace vectoriel réel.
On considère l'ensemble  \overset{ { \white{ . } } } { E=\left\lbrace M(x,y)=\begin{pmatrix}x+y&y\\2y&x-y\end{pmatrix}\;/\;(x,y)\in\R^2\right\rbrace\,.}

Partie I

1.  Montrons que  \overset{ { \white{ . } } } {  E}  est un sous-groupe de  \overset{ { \white{ . } } } { (M_2(\R),+)\,.} 

Nous savons que  \overset{ { \white{ . } } } { (M_2(\R),+)}  est un groupe car  \overset{ { \white{ . } } } { (M_2(\R),+,.)}  est un espace vectoriel.

Pour montrer que  E  est un sous-groupe de  \overset{ { \white{ . } } } { (M_2(\R),+)} , il suffit de montrer que la partie  E  de  \overset{ { \white{ . } } } { M_2(\R)}  comprend l'élément neutre du groupe  \overset{ { \white{ . } } } { (M_2(\R),+)}  et que  \overset{ { \white{ . } } } {  \forall\,M,M'\in E :\;\;M-M'\in E.}

\bullet\quad\text{Soit }M(x,y)=\begin{pmatrix}x+y&y\\2y&x-y\end{pmatrix}\in E\quad\text{avec } x=y=0. \\\overset{ { \white{ . } } } { \phantom{xxx} M(0,0)=\begin{pmatrix}0+0&0\\2\times0&0-0\end{pmatrix}\in E }\quad\Longrightarrow\quad M(0,0)=\begin{pmatrix}0&0\\0&0\end{pmatrix} \in E \\\phantom{WWWWWWWWWWWwW}\phantom{xxx}\quad\Longrightarrow\quad  \boxed{O\in E}

\bullet\quad\text{Soit }M(x,y)\in E\text{ et }M'(x',y')\in E \\\overset{ { \white{ . } } } { \phantom{xxi}  \text{Alors }\;M(x,y)-M'(x',y') }=\begin{pmatrix}x+y&y\\2y&x-y\end{pmatrix}-\begin{pmatrix}x'+y'&y'\\2y'&x'-y'\end{pmatrix} \\ \overset{ { \white{ . } } } { \phantom{WWWWWWWWWWWWi} =\begin{pmatrix}(x-x')+(y-y')&(y-y')\\2(y-y')&(x-x')-(y-y')\end{pmatrix}      } \\ \overset{ { \white{ . } } } { \phantom{WWWWWWWWWWWWi} =M(x-x',y-y')  \in E    } \\\\\Longrightarrow\quad\boxed{\forall\,M(x,y)\in E,M'(x',y')\in E : M(x,y)-M'(x',y')\in E}

Par conséquent,  E  est un sous-groupe de  \overset{ { \white{ . } } } { (M_2(\R),+)\,.} 

2.  Montrons que  E  est un sous-espace vectoriel de  \overset{ { \white{ . } } } { (M_2(\R),+,.)\,.} 

En effet,

\bullet\quad \boxed{E\subset M_2(\R) } \\ \overset{ { \white{ . } } } { \bullet\quad O=M(0,0)\in E\quad\Longrightarrow\quad\boxed{ E\neq  \phi} } \\ \overset{ { \white{ . } } } { \bullet\quad   \forall\,M(x,y),M'(x',y')\in E\;\text{ et }\;\forall\alpha,\beta\in\R,\quad } \\ \overset{ { \white{ . } } } { \phantom{WWWW} \alpha M(x,y)+\beta M'(x',y')=\alpha\begin{pmatrix}x+y&y\\2y&x-y\end{pmatrix}+\beta\begin{pmatrix}x'+y'&y'\\2y'&x'-y'\end{pmatrix}} \\ \overset{ { \phantom{ . } } } { \phantom{WWWW\alpha M(x,y)+\beta M'(x',y')}=\begin{pmatrix}\alpha(x+y)&\alpha y\\2\alpha y&\alpha(x-y)\end{pmatrix}+\begin{pmatrix}\beta(x'+y')&\beta y'\\2\beta y'&\beta (x'-y')\end{pmatrix}}

\\ \overset{ { \phantom{ . } } } { \phantom{WWWW\alpha M(x,y)+\beta M'(x',y')}=\begin{pmatrix}\alpha x+\alpha y&\alpha y\\2\alpha y&\alpha x-\alpha y\end{pmatrix}+\begin{pmatrix}\beta x'+\beta y'&\beta y'\\2\beta y'&\beta x'-\beta y'\end{pmatrix}} \\ \overset{ { \phantom{ . } } } { \phantom{WWWW\alpha M(x,y)+\beta M'(x',y')}=\begin{pmatrix}\alpha x+\alpha y+\beta x'+\beta y'&\alpha y+\beta y'\\2\alpha y+2\beta y'&\alpha x-\alpha y+\beta x'-\beta y'\end{pmatrix}} \\ \overset{ { \phantom{ . } } } { \phantom{WWWW\alpha M(x,y)+\beta M'(x',y')}=\begin{pmatrix}(\alpha x+\beta x')+(\alpha y+\beta y')&\alpha y+\beta y'\\2(\alpha y+\beta y')&(\alpha x+\beta x')-(\alpha y+\beta y')\end{pmatrix}} \\ \overset{ { \phantom{ . } } } { \phantom{WWWW\alpha M(x,y)+\beta M'(x',y')}=M(\alpha x+\beta x',\alpha y+\beta y')\in E} \\\\\Longrightarrow\quad\boxed{ \forall\,M(x,y),M'(x',y')\in E\;\text{ et }\;\forall\alpha,\beta\in\R,\quad \alpha M(x,y)+\beta M'(x',y')\in E}

Par conséquent,  E  est un sous-espace vectoriel de  \overset{ { \white{ . } } } { (M_2(\R),+,.)\,.} 

{\red{\text{3. a) }}}\forall\;(x,x',y,y')\in\R^4: \\\\M(x,y)\times M'(x',y')=\begin{pmatrix}x+y&y\\2y&x-y\end{pmatrix}\times\begin{pmatrix}x'+y'&y'\\2y'&x'-y'\end{pmatrix} \\ \overset{ { \white{ . } } } {  \phantom{WWWWWWWW}=\begin{pmatrix}(x+y)(x'+y')+2yy'&(x+y)y'+y(x'-y')\\2y(x'+y')+(x-y)2y'&2yy'+(x-y)(x'-y')\end{pmatrix}     } \\ \overset{ { \white{ . } } } {  \phantom{WWWWWWWW}=\begin{pmatrix}xx'+xy'+yx'+yy'+2yy'&xy'+yy'+yx'-yy'\\2yx'+2yy'+2xy'-2yy'&2yy'+xx'-xy'-yx'+yy'\end{pmatrix}     } \\ \overset{ { \white{ . } } } {  \phantom{WWWWWWWW}=\begin{pmatrix}xx'+xy'+yx'+3yy'&xy'+yx'\\2yx'+2xy'&xx'+3yy'-xy'-yx'\end{pmatrix}     }
\\ \overset{ { \white{ . } } } {  \phantom{WWWWWWWW}=\begin{pmatrix}(xx'+3yy')+(xy'+yx')&xy'+yx'\\2(xy'+yx')&(xx'+3yy')-(xy'+yx')\end{pmatrix}     } \\ \overset{ { \white{ . } } } {  \phantom{WWWWWWWW}=M(xx'+3yy',xy'+yx')    } \\\\\Longrightarrow\quad\boxed{\forall\;(x,x',y,y')\in\R^4: M(x,y)\times M'(x',y')=M(xx'+3yy',xy'+yx') }

3. b)  Nous devons montrer que  \overset{ { \white{ . } } } { (E,+,\times)}  est un anneau commutatif et unitaire.

\bullet{ \white{ x } }Montrons que  \overset{ { \white{ . } } } { (E,+,\times)}  est un sous-anneau de  \overset{ { \white{ . } } } { (M_2(\R),+,\times)\,.} .

{ \white{ x } }\bullet\bullet{ \white{ x } } E\subset M_2(\R)\,.
{ \white{ x } }\bullet\bullet{ \white{ x } } I\in E  car   \overset{ { \white{ . } } } { I=\begin{pmatrix}1&0\\0&1\end{pmatrix}=M(1,0)\in E. } 

{ \white{ x } }\bullet\bullet{ \white{ x } } \forall\,M(x,y)\in E,M'(x',y')\in E : M(x,y)-M'(x',y')\in E  car  (E,+)  est un groupe (voir question 1).

{ \white{ x } }\bullet\bullet{ \white{ x } } \forall\,M(x,y)\in E,M'(x',y')\in E : M(x,y)\times M'(x',y')\in E  car cette propriété a été démontrée dans  \R^4  (voir question 3. a).

D'où  \overset{ { \white{ . } } } { (E,+,\times)}  est un sous-anneau de  \overset{ { \white{ . } } } { (M_2(\R),+,\times)\,.} .
Par conséquent,  \overset{ { \white{ . } } } { (E,+,\times)}  est un anneau

\bullet{ \white{ x } }Montrons que la loi  \overset{ { \white{ . } } } {   \times }  est commutative dans  E .

En effet,

\forall\,M(x,y)\in E,M(x',y')\in E : \\ \\  M(x,y)\times M(x',y')= M(xx'+3yy',xy'+yx') \\ \overset{ { \white{ . } } } {   \phantom{M(x,y)\times M'(x',y')}= M(x'x+3y'y,x'y+y'x)  } \\ \overset{ { \white{ . } } } {   \phantom{M(x,y)\times M'(x',y')}=  M(x',y')\times M(x,y) } \\\\\Longrightarrow\boxed{\forall\,M(x,y)\in E,M(x',y')\in E :M(x,y)\times M(x',y')=M(x',y')\times M(x,y)}

Par conséquent,  \overset{ { \white{ . } } } { (E,+,\times)}  est un anneau commutatif.

\bullet{ \white{ x } }Puisque  \overset{ { \white{ . } } } {  I\in E,}  nous en déduisons que  \overset{ { \white{ . } } } { (E,+,\times)}  est un anneau commutatif et unitaire.

4. a)  En utilisant la question 3. a), nous obtenons :

M(\sqrt 3,1)\times M(-\sqrt 3, 1)=M\left(\overset{}{\sqrt 3\times(-\sqrt 3)+3\times1\times1,\sqrt  3\times1+1\times(-\sqrt 3)}\right) \\ \phantom{M(\sqrt 3,1)\times M(-\sqrt 3, 1)}=M\left(\overset{}{-3+3,\sqrt 3-\sqrt 3}\right) \\ \phantom{M(\sqrt 3,1)\times M(-\sqrt 3, 1)}=M\left(\overset{}{0,0}\right)=O \\\\\Longrightarrow\boxed{M(\sqrt 3,1)\times M(-\sqrt 3, 1)=O}

4. b)  Nous avons montré que  M(\sqrt 3,1)\times M(-\sqrt 3, 1)=O.
Or  M(\sqrt 3,1)\neq O  et  M(-\sqrt 3,1)\neq O 
Il s'ensuit que l'anneau  \overset{ { \white{ . } } } { (E,+,\times)}  n'est pas intègre car M(\sqrt 3,1)  et  M(-\sqrt 3,1)  sont des diviseurs de zéro.

Par conséquent, étant donné qu'un corps est un anneau intègre, nous en déduisons que  \overset{ { \white{ . } } } { (E,+,\times)}  n'est pas un corps.


Partie II
Soient  \overset{ { \white{ . } } } {  F=\left\lbrace x+y\sqrt3\,/\,(x,y)\in\Q^2\right\rbrace }  et  \overset{ { \white{ . } } } {  G=\left\lbrace M(x,y)=\begin{pmatrix}x+y&y\\2y&x-y\end{pmatrix}\,\left/\right\,(x,y)\in\Q^2\right\rbrace\;. }

1.  Nous devons montrer que :  \forall\,(x,y)\in\Q^2:x+y\sqrt 3=0\quad\Longleftrightarrow\quad(x=0\;\text{ et }\;y=0)

\bullet{ \white{ x } }Montrons que  \forall\,(x,y)\in\Q^2:x+y\sqrt 3=0\quad\Longrightarrow\quad(x=0\;\text{ et }\;y=0)

En effet,  x+y\sqrt 3=0\quad\Longrightarrow\qaud x=-y\sqrt 3.
Supposons que :  \overset{ { \white{ . } } } {  y\neq 0 }
Dans ce cas, nous obtenons :  \overset{ { \white{ . } } } {  \dfrac{x}{y}=-\sqrt 3} , ce qui est impossible puisque  \overset{ { \white{ . } } } {  \dfrac{x}{y}\in\Q}  et  -\sqrt 3\neq \Q.
Donc  \overset{ { \white{ . } } } {  \boxed{y=0}\,.}
De plus,  \overset{ { \white{ . } } } {  \left\lbrace\begin{matrix}x=-y\sqrt 3\\y=0\phantom{xxxx}\end{matrix}\right.\quad\Longrightarrow\quad \boxed{x=0}\,.}

D'où,   \forall\,(x,y)\in\Q^2:x+y\sqrt 3=0\quad\Longrightarrow\quad(x=0\;\text{ et }\;y=0)\,.

\bullet{ \white{ x } }Montrons que  \forall\,(x,y)\in\Q^2:(x=0\;\text{ et }\;y=0)\quad\Longrightarrow\quad x+y\sqrt 3=0
{ \white{ \bullet x } }C'est évident car  (x=0\;\text{ et }\;y=0)\quad\Longrightarrow\quad x+y\sqrt 3=0+0\times\sqrt 3=0.

\bullet{ \white{ x } }Par conséquent,  \boxed{\forall\,(x,y)\in\Q^2:x+y\sqrt 3=0\quad\Longleftrightarrow\quad(x=0\;\text{ et }\;y=0)}

2.  Nous devons montrer que  \overset{ { \white{ . } } } { F-\lbrace0\rbrace }  est un sous-groupe de  \overset{ { \white{ . } } } { (\R^*,\times) }

Nous savons que  \overset{ { \white{ . } } } { F-\lbrace0\rbrace \subset  \R^*. }

Pour montrer que  \overset{ { \white{ . } } } { F-\lbrace0\rbrace }  est un sous-groupe de  \overset{ { \white{ . } } } { (\R^*,\times) } , il suffit de montrer que  \overset{ { \white{ . } } } { 1\in F-\lbrace0\rbrace }  et que  \overset{ { \white{ . } } } { \forall\, x+y\sqrt 3,\, x'+y'\sqrt 3\in F-\lbrace0\rbrace, \quad(x+y\sqrt 3)\times(x'+y'\sqrt 3)^{-1}\in F-\lbrace0\rbrace.}

\bullet{ \white{ x } } \overset{ { \white{ . } } } { 1\in F-\lbrace0\rbrace }  car  \overset{ { \white{ . } } } {\left\lbrace\begin{matrix}  1=1+0\times\sqrt 3\quad\text{où} \quad(1,0)\in\Q^2\\1\neq0\phantom{WWWWWWWWWWW}\end{matrix}\right.}

 \overset{ { \white{ . } } } {\bullet{ \white{ x } } \forall\, x+y\sqrt 3\in F-\lbrace0\rbrace, \forall\,x'+y'\sqrt 3\in F-\lbrace0\rbrace,}  \\ \overset{ { \white{ . } } } {\phantom{XXXX}(x+y\sqrt 3)\times(x'+y'\sqrt 3)^{-1}=\dfrac{x+y\sqrt 3}{x'+y'\sqrt 3}} \\ \overset{ { \white{ . } } } {\phantom{XXXX(x+y\sqrt 3)\times(x'+y'\sqrt 3)^{-1}}=\dfrac{(x+y\sqrt 3)(x'-y'\sqrt 3)}{(x'+y'\sqrt 3)(x'-y'\sqrt 3)}}  \\ \overset{ { \phantom{ . } } } {\phantom{XXXX(x+y\sqrt 3)\times(x'+y'\sqrt 3)^{-1}}=\dfrac{xx'-3yy'+yx'\sqrt 3-xy'\sqrt 3}{x'^2-3y'^2}}
{ \white{ \bullet xxxx } }\\ \overset{ { \phantom{ . } } } {\phantom{XXXX(x+y\sqrt 3)\times(x'+y'\sqrt 3)^{-1}}=\dfrac{xx'-3yy'}{x'^2-3y'^2}+\dfrac{yx'-xy'}{x'^2-3y'^2}\sqrt 3 \quad\quad \text{où }\left(\dfrac{xx'-3yy'}{x'^2-3y'^2},\dfrac{yx'-xy'}{x'^2-3y'^2}\right)\in\Q^2}  \\\\\Longrightarrow\quad\boxed{(x+y\sqrt 3)\times(x'+y'\sqrt 3)^{-1}\in F}

De plus,  

 \left\lbrace\begin{matrix}x+y\sqrt 3\in F-\lbrace0\rbrace \\\overset{ { \white{ . } } } { x'+y'\sqrt 3\in F-\lbrace0\rbrace}\end{matrix}\right.\quad\Longrightarrow\quad\left\lbrace\begin{matrix}x+y\sqrt 3\neq0 \\\overset{ { \white{ . } } } { x'+y'\sqrt 3\neq0}\end{matrix}\right. \\ \\ \phantom{WWWWWWWWW}\quad\Longrightarrow\quad\left\lbrace\begin{matrix}x+y\sqrt 3\neq0 \\\overset{ { \white{ . } } } {( x'+y'\sqrt 3)^{-1}\neq0}\end{matrix}\right. \\ \\ \phantom{WWWWWWWWW}\quad\Longrightarrow\quad \boxed{(x+y\sqrt 3)\times(x'+y'\sqrt 3)^{-1}\neq0}

D'où  \overset{ { \white{ . } } } {\boxed{ \forall\, x+y\sqrt 3,\, x'+y'\sqrt 3\in F-\lbrace0\rbrace, \quad(x+y\sqrt 3)\times(x'+y'\sqrt 3)^{-1}\in F-\lbrace0\rbrace.}}

Par conséquent, \overset{ { \white{ . } } } { F-\lbrace0\rbrace }  est un sous-groupe de  \overset{ { \white{ . } } } { (\R^*,\times)\,. }

3.  Soit  \overset{ { \white{ . } } } { \varphi }  l'application définie de  \overset{ { \white{ . } } } { F-\lbrace0\rbrace }  vers  \overset{ { \white{ . } } } {E }  par :  \overset{ { \white{ . } } } { \forall\,(x,y)\in\Q^2-\lbrace(0,0)\rbrace\,;\;\varphi(x+y\sqrt 3)=M(x,y)\,.}

3. a)  Vérifions que  \varphi(F-\lbrace 0\rbrace)=G-\lbrace O\rbrace.

\varphi(F-\lbrace 0\rbrace)=\varphi\left(\overset{}{\lbrace x+y\sqrt 3\,/\,(x,y)\in\Q^2-\lbrace(0,0)\rbrace\rbrace}\right) \\ \phantom{\varphi(F-\lbrace 0\rbrace)}=\left\lbrace\overset{}{\varphi( x+y\sqrt 3)\,/\,(x,y)\in\Q^2-\lbrace(0,0)\rbrace}\right\rbrace \\ \phantom{\varphi(F-\lbrace 0\rbrace)}=\lbrace\overset{}{\varphi( x+y\sqrt 3)\,/\,(x,y)\in\Q^2\rbrace-\lbrace\varphi(0+0\sqrt 3)\rbrace} \\ \overset{ { \white{ . } } } { \phantom{\varphi(F-\lbrace 0\rbrace)}=\lbrace M(x,y)\,/\,(x,y)\in\Q^2\rbrace-\lbrace M(0,0)\rbrace} \\ \overset{ { \white{ . } } } { \phantom{\varphi(F-\lbrace 0\rbrace)}=G-\lbrace O\rbrace}

\Longrightarrow\quad\boxed{\varphi(F-\lbrace 0\rbrace)=G-\lbrace O\rbrace}

3. b)  Nous devons montrer que  \overset{ { \white{ . } } } { \varphi }  est un homomorphisme de  \overset{ { \white{ . } } } { (F-\lbrace 0\rbrace,\times) }  vers  \overset{ { \white{ . } } } { (E,\times)\,. }

\forall\ x+y\sqrt 3,\,x'+y'\sqrt 3\in F-\lbrace 0\rbrace,  \\ \overset{ { \white{ . } } } { \phantom{WWW} \varphi\left(\overset{}{(x+y\sqrt 3)\times(x'+y'\sqrt 3)}\right)=\varphi\left(\overset{}{(xx'+3yy'+(xy'+yx')\sqrt 3}\right)} \\ \overset{ { \white{ . } } } { \phantom{WWW \varphi\left(\overset{}{(x+y\sqrt 3)\times(x'+y'\sqrt 3)}\right)}=M(xx'+3yy',xy'+yx')} \\ \overset{ { \white{ . } } } { \phantom{WWW \varphi\left(\overset{}{(x+y\sqrt 3)\times(x'+y'\sqrt 3)}\right)}=M(x,y)\times M(x',y')\quad\quad(\text{voir question Partie I - 3. a)}}
\\ \overset{ { \white{ . } } } { \phantom{WWW \varphi\left(\overset{}{(x+y\sqrt 3)\times(x'+y'\sqrt 3)}\right)}=\varphi(x+y\sqrt 3)\times \varphi(x'+y'\sqrt 3)} \\ \\ \Longrightarrow\quad\boxed{\begin{matrix}\forall\ x+y\sqrt 3,\,x'+y'\sqrt 3\in F-\lbrace 0\rbrace, \\\overset{ { \white{ . } } } { \varphi((x+y\sqrt 3)\times(x'+y'\sqrt 3))=\varphi(x+y\sqrt 3)\times \varphi(x'+y'\sqrt 3)}\end{matrix}\; }

Par conséquent,  \overset{ { \white{ . } } } { \varphi }  est un homomorphisme de  \overset{ { \white{ . } } } { (F-\lbrace 0\rbrace,\times) }  vers  \overset{ { \white{ . } } } { (E,\times)\,. }

3. c)  Montrons que  \overset{ { \white{ . } } } { (G-\lbrace 0\rbrace,\times) } est un groupe commutatif.

Nous avons montré dans la question 2 que  \overset{ { \white{ . } } } { F-\lbrace0\rbrace }  est un sous-groupe de  \overset{ { \white{ . } } } { (\R^*,\times) }
Donc  \overset{ { \white{ . } } } { F-\lbrace0\rbrace }  est un groupe commutatif car  \overset{ { \white{ . } } } { (\R^*,\times) }  est un groupe commutatif.

Or l'image d'un groupe commutatif par un homomorphisme est un groupe commutatif.
Il s'ensuit que  \overset{ { \white{ . } } } { \varphi(F-\lbrace0\rbrace) }  est un groupe commutatif.

Puisque  \overset{ { \white{ . } } } {    \varphi(F-\lbrace 0\rbrace)=G-\lbrace O\rbrace\,, }  nous déduisons que  \overset{ { \white{ . } } } { (G-\lbrace 0\rbrace,\times) }  est un groupe commutatif.

4.  Nous devons montrer que  \overset{ { \white{ . } } } { (G,+,\times)}  est un corps commutatif.

\longrightarrow{ \white{ x } } Montrons que  \overset{ { \white{ . } } } { (G,+)}  est un groupe commutatif.
{{\white{xxxxi } }Pour ce faire, montrons que  \overset{ { \white{ _. } } } { G }  est un sous-groupe commutatif de  \overset{ { \white{ . } } } { (M_2(\R),+)\,. }  

{{\white{xx } }\bullet\bullet{ \white{ x } } \overset{ { \white{ _. } } } { G }  est une partie non vide de  \overset{ { \white{ . } } } { M_2(\R) }  car  \overset{ { \white{ _. } } } { O\in G.}
{{\white{xx } }\bullet\bullet{ \white{ x } } En vertu de la question 1 - Partie I, nous obtenons :  \overset{ { \white{ . } } } {{\white{xxxx } } \forall\,M(x,y)\in G,M'(x',y')\in G : M(x,y)-M'(x',y')=M(x-x',y-y')\in G\,. }

Dès lors,  \overset{ { \white{ _. } } } { G }  est un sous-groupe commutatif de  \overset{ { \white{ . } } } { (M_2(\R),+)\,. }  
Par conséquent,  \overset{ { \white{ _. } } } { (G,+) }  est un groupe commutatif.

\longrightarrow{ \white{ x } } Nous savons que  \overset{ { \white{ . } } } { (G-\lbrace 0\rbrace,\times) } est un groupe commutatif (voir question 3. c).

\longrightarrow{ \white{ x } } La multiplication est distributive par rapport à l'addition dans  \overset{ { \white{ _. } } } { G }  car la multiplication est distributive par rapport à l'addition dans  \overset{ { \white{ . } } } { M_2(\R). } 

Par conséquent,  \overset{ { \white{ . } } } { (G,+,\times)}  est un corps commutatif.
Publié le
ceci n'est qu'un extrait
Pour visualiser la totalité des cours vous devez vous inscrire / connecter (GRATUIT)
Inscription Gratuite se connecter
Merci à
Hiphigenie
/
malou Webmaster
pour avoir contribué à l'élaboration de cette fiche


Vous devez être membre accéder à ce service...

Pas encore inscrit ?

1 compte par personne, multi-compte interdit !

Ou identifiez-vous :


Rester sur la page

Inscription gratuite

Fiches en rapport

parmi 1768 fiches de maths

Désolé, votre version d'Internet Explorer est plus que périmée ! Merci de le mettre à jour ou de télécharger Firefox ou Google Chrome pour utiliser le site. Votre ordinateur vous remerciera !