Fiche de mathématiques
> >

Bac Mathématiques

Cameroun 2023

Série IND SAUF IH

Partager :



Durée : 3h
Coefficient: 3



5,5 points

exercice 1


Bac Cameroun 2023 série IND SAUF IH : image 1


4,5 points

exercice 2


Bac Cameroun 2023 série IND SAUF IH : image 4


10 points

probleme


Bac Cameroun 2023 série IND SAUF IH : image 2

Bac Cameroun 2023 série IND SAUF IH : image 3








exercice 1



1-a) Déterminons le complexe z_0 tel que: P(z)=(z-z_0)[z^2-(1+5i)z-8+i]

\begin{matrix} P(z)=(z-z_0)[z^2-(1+5i)z-8+i] &\iff& P(z)=z^3-(1+5i)z^2-(8-i)z-z_0z^2+(1+5i)z_0z+(8-i)z_0 \\\\&\iff& P(z)=z^3-(1+5i+z_0)z^2-(8-i-(1+5i)z_0)z+(8-i)z_0 \\\\&\iff& z^3-(2+6i)z^2-(12-7i)z+9+7i = z^3-(1+5i+z_0)z^2-(8-i-(1+5i)z_0)z+(8-i)z_0 \\\\&\iff& \begin{cases} 2+6i=1+5i+z_0 \\12-7i=8-i-(1+5i)z_0 \\9+7i =(8-i)z_0\end{cases} \\\\&\iff& z_0=2-1+6i-5i=1+i\end{matrix}

Vérification:

8-i-(1+5i)z_0=8-i-(1+5i)(1+i)=8-i-1-i-5i+5=12-7i

(8-i)z_0=(8-i)(1+i)=8-i+8i+1=9+7i

Donc:

\boxed{z_0=1+i\enskip\enskip\text{ et }\enskip\enskip P(z)=(z-(1+i))[z^2-(1+5i)z-8+i]}


b) Calcul direct:
(3+i)^2=3^2+2\times 3i+i^2 = 9+6i-1=8+6i


Résultat:
\boxed{(3+i)^2=8+6i}


c) Résolvons l'équation z^2-(1+5i)z-8+i=0

Calculons pour cela le discriminent:

\Delta= [-(1+5i)]^2-4(-8+i)=1+10i-25+32-4i=8+6i\underbrace{=}_{\text{d'après 1-b)}} (3+i)^2 \neq 0


L'équation admet deux solutions complexes:

z_1=\dfrac{1+5i-(3+i)}{2} = \dfrac{-2+4i}{2}=-1+2i

z_2=\dfrac{1+5i+(3+i)}{2} = \dfrac{4+6i}{2}=2+3i

\boxed{\text{ L'ensemble des solutions est: }\tilde{S}=\lbrace -1+2i\text{ ; }2+3i\rbrace }


On en déduit les solutions de l'équation P(z)=0\text{ : }

\begin{matrix}P(z)=0&\iff& (z-(1+i))[z^2-(1+5i)z-8+i]=0 \\&\iff& z-(1+i)=0 \enskip\enskip \text{ ou }\enskip\enskip z^2-(1+5i)z-8+i=0\\&\iff& z=1+i\enskip\enskip\text{ ou } \enskip\enskip z=-1+2i\enskip\enskip\text{ ou }\enskip\enskip z=2+3i \end{matrix}

\boxed{\text{L'ensemble des solutions de l'équation }P(z)=0\text{ est: }S=\lbrace 1+i\text{ ; }-1+2i\text{ ; }2+3i\rbrace }


2-a) Calculons \dfrac{z_C-z_A}{z_B-z_A}\text{ : }

\begin{matrix}\dfrac{z_C-z_A}{z_B-z_A}&=& \dfrac{-1+2i-(1+i)}{2+3i-(1+i)}&=& \dfrac{-2+i}{1+2i}\\\\&=& \dfrac{2i^2+i}{1+2i}&=& \dfrac{i(2i+1)}{1+2i}\\\\&=& i\end{matrix}

Résultat:
\boxed{\dfrac{z_C-z_A}{z_B-z_A}=i}


On en tire:

\left|\dfrac{z_C-z_A}{z_B-z_A}\right|=|i| \Longrightarrow \dfrac{|z_C-z_A|}{|z_B-z_A|}=1 \Longrightarrow \dfrac{AC}{AB}=1 \Longrightarrow \boxed{AC=AB}

\arg\left(\dfrac{z_C-z_A}{z_B-z_A}\right)=\arg(i)\Longrightarrow \boxed{(\overrightarrow{AB};\overrightarrow{AC})\equiv \dfrac{\pi}{2}\enskip[2\pi]}

Donc:

\boxed{\text{Le triangle }ABC \text{ est rectangle isocèle en }A }


b) L'écriture complexe de la symétrie centrale de centre A qu'on note s_A est:

s_A\text{ : }z'=-z+2z_A \iff s_A\text{  : }z'=-z+2+2i

Or:

s_A(B)=D\text{ , donc : }\begin{matrix} z_D&=&-z_B+2+2i&=& -2-3i+2+2i&=&-i\end{matrix}

s_A(C)=E\text{ , donc : }\begin{matrix} z_E&=&-z_C+2+2i&=& 1-2i+2+2i&=&3\end{matrix}

Conclusion:

\boxed{z_D=-i\enskip\text{ et }\enskip z_E=3 }


3-a) On calcule le module de z_A\text{ : }|z_A|=\sqrt{1^2+1^2}=\sqrt{2}

Donc: z_A=\sqrt{2}\left(\dfrac{1}{\sqrt{2}}+i\dfrac{1}{\sqrt{2}}\right)=\sqrt{2}\left(\dfrac{\sqrt{2}}{2}+i\dfrac{\sqrt{2}}{2}\right)=\sqrt{2}\left(\cos \dfrac{\pi }4 +i\sin \dfrac{\pi} 4 \right)

La forme trigonométrique de z_A\text{ est : }
\boxed{z_A=\sqrt{2}\left(\cos \dfrac{\pi }4 +i\sin \dfrac{\pi} 4 \right)}


b) En remarquant que \cos \dfrac{\pi}{4}=\sin \dfrac{\pi}{4}=\dfrac{\sqrt{2}}{2}

\begin{matrix} \sqrt{2}\left(\cos x+\sin x \right)=\sqrt{3} &\iff& \dfrac{\sqrt{2}}{2}\left(\cos x+\sin x \right)=\dfrac{\sqrt{3} }{2} \\&\iff&  \dfrac{\sqrt{2}}{2}\cos x+ \dfrac{\sqrt{2}}{2}\sin x =\dfrac{\sqrt{3} }{2} \\&\iff&  \cos \dfrac{\pi}{4} \cos x+ \sin \dfrac{\pi}{4} \sin x =\dfrac{\sqrt{3} }{2} \\&\iff&  \cos\left(x- \dfrac{\pi}{4} \right) =\dfrac{\sqrt{3} }{2}\\&\iff&  \cos\left(x- \dfrac{\pi}{4} \right) =\cos \dfrac{\pi }{6} \\&\iff& \begin{cases}x-\dfrac{\pi}{4} =\dfrac{\pi}{6}+2k\pi \text{ / }k\in\Z \\ x-\dfrac{\pi}{4} =-\dfrac{\pi}{6}+2k\pi \text{ / }k\in\Z \end{cases} \\&\iff& \begin{cases}x =\dfrac{\pi}{4}+\dfrac{\pi}{6}+2k\pi \text{ / }k\in\Z \\ x=-\dfrac{\pi}{6}+\dfrac{\pi}{4}+2k\pi \text{ / }k\in\Z \end{cases} \\&\iff& \begin{cases}x =\dfrac{10\pi}{24}+2k\pi \text{ / }k\in\Z \\ x=\dfrac{2\pi}{24}+2k\pi \text{ / }k\in\Z \end{cases}  \\&\iff& \begin{cases}x =\dfrac{5\pi}{12}+2k\pi \text{ / }k\in\Z \\ x=\dfrac{\pi}{12}+2k\pi \text{ / }k\in\Z \end{cases}  \end{matrix}

L'ensemble des solutions de l'équation (E')\text{ est : }

\boxed{S=\left\lbrace \dfrac{\pi}{12}+2k\pi \text{ ; }\dfrac{5\pi}{12}+2k\pi \text{ / }k\in\Z \right\rbrace }




exercice 2



1) L'équation cartésienne de (\Gamma) dans le repère (O;\vec{i};\vec{j}) est:

 (\Gamma)\text{ : }x^2-y^2-4x+2y+2=0


Soit \Omega(\blue 2 \black ; \red 1\black ) , donc l'équation cartésienne de (\Gamma) dans le repère (\Omega;\vec{i};\vec{j}) s'écrit:

\begin{matrix}&& (\Gamma)\text{ : }(x+\blue 2\black)^2-(y+\red 1\black)^2-4(x+\blue 2\black)+2(y+\red 1\black)+2=0 \\&\iff & x^2+4x+4-(y^2+2y+1)-4x-8+2y+2+2=0 \\&\iff & x^2+4x+4-y^2-2y-1-4x-8+2y+2+2=0 \\&\iff & x^2-y^2-1=0\\&\iff& \boxed{(\Gamma)\text{ : }x^2-y^2=1}\end{matrix}

2) On reconnaît une équation réduite (\Gamma)\text{ : }x^2-y^2=1 d'une hyperbole, donc:

\boxed{(\Gamma) \text{ est une hyperbole }}


Calculons l'excentricité e\text{ : }

e=\sqrt{1+\dfrac{1^2}{1^2}} =\sqrt{1+1}\Longrightarrow \boxed{e=\sqrt{2}}


3) Dans le repère (\Omega;\vec{i};\vec{j}) , les sommets de l'hyperbole (\Gamma) qu'on note S_1\text{ et }S_2 ont pour coordonnées:

\boxed{S_1(-1;0)\enskip\text{ et }\enskip S_2(1;0)}


4) Dans le repère (\Omega;\vec{i};\vec{j}) , les équations cartésiennes des asymptotes à l'hyperbole (\Gamma) qu'on note (d_1)\text{ et }(d_2) sont:

\boxed{(d_1)\text{ : }y=-x\enskip\text{ et }\enskip (d_2)\text{ : }y=x}


5) La figure:

Bac Cameroun 2023 série IND SAUF IH : image 5


Rappel:

 Cliquez pour afficher



probleme


1-a)
Rappel
Soit (E) : ay''+by'+cy=0 \text{ , }a,b,c\in\R \text{ avec }a\neq 0
On appelle équation caractéristique de (E) l'équation du second degré ar^2+br+c=0 . Notons \Delta= b^2-4ac son dicriminent .

\bullet \text{ Si }\Delta> 0 \text{ : } L'équation caractéristique admet deux solutions réelles distinctes \alpha \text{ et }\beta. Les solutions de l'équation différentielle (E) sont les fonctions de la forme : x\mapsto A \text{ e }^{\alpha x}+B\text{ e }^{\beta x}

\bullet \text{ Si }\Delta= 0 \text{ : } L'équation caractéristique admet une solution réelle \alpha . Les solutions de l'équation différentielle (E) sont les fonctions de la forme : x\mapsto (Ax +B)\text{ e }^{\alpha x}

\bullet \text{ Si }\Delta< 0 \text{ : } L'équation caractéristique admet deux solutions complexes conjuguées, que l'on note p +iq \text{ et }p -iq \enskip (p,q\in\R). Les solutions de l'équation différentielle (E) sont les fonctions de la forme : x\mapsto \text{e}^{p x} (k_1\cos q x+ k_2\sin q x)

k_1,k_2, A \text{ et }B sont des constantes réelles quelconques

Soit l'équation différentielle y''+2y'+y=0 , son équation caractéristique s'écrit r^2+2r+1=0.

Sans calculer le discriminent, on s'aperçoit que r^2+2r+1=0 \iff (r+1)^2=0 \iff r=-1

L'équation caractéristique admet donc une solutions double r=-1.

Donc:

\boxed{\text{ Les solutions de }y''+2y'+y=0\text{ sont les fonctions définies sur }\R\text{ par : } x\mapsto (Ax+B)e^{-x}\enskip\text{ , où } A;B\in\R}


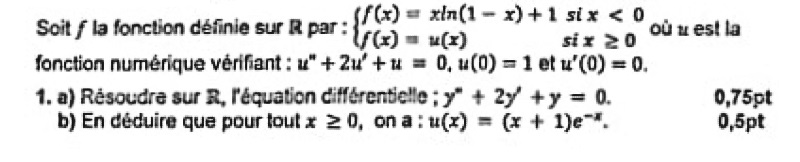
b) La fonction u est définie sur \R^{+} comme solution de l'équation différentielle y''+2y'+y=0 qui vérifie u'(0)=0 et u(0)=1.

Donc il existe deux constantes réelles A\text{ et }B telles que, pour tout réel positif x\text{ : }u(x)=(Ax+B)e^{-x}

Déterminons ces deux constantes A\text{ et }B\text{ : }

u est clairement dérivable sur \R^+ comme solution d'une équation différentielle de deuxième ordre, donc:

\begin{matrix}\forall x\in \R^+\text{ : }u'(x)&=&\left[(Ax+B)e^{-x}\right]'\\\\&=& (Ax+B)'e^{-x}+(Ax+B)\left(e^{-x}\right)'\\\\&=& Ae^{-x}-(Ax+B)e^{-x}\\\\&=&(-Ax+A-B)e^{-x}\end{matrix}

Il s'ensuit alors:

\begin{matrix}\begin{cases} u(0)=1\\u'(0)=0\end{cases} &\iff&  \begin{cases} (A\times 0 +B)e^{-0} = 1 \\ (-A\times 0 +A-B)e^{-0}=0 \end{cases} \\&\iff& \begin{cases}B=1 \\A-B=0 \end{cases} \\\\&\iff& \begin{cases}B=1 \\A=B=1 \end{cases}\end{matrix}

On conclut alors que:

\boxed{\forall x\in \R^{+}\text{ : }u(x)=(x+1)e^{-x}}


2) D'après la figure:

La courbe (C_g) représentative de la fonction g est au-dessus de l'axe des abscisses sur ]-\infty;0[.

Donc:
\boxed{\begin{matrix} \forall x\in ]-\infty;0[\text{ : }g(x)>0\end{matrix}}


3) Calcul des limites:

\displaystyle\lim_{x\to-\infty} f(x)=\displaystyle\lim_{x\to-\infty} x\ln(1-x)+1 = (-\infty) \times (+\infty)+1=-\infty



\begin{matrix}\displaystyle\lim_{x\to+\infty} f(x)&=&\displaystyle\lim_{x\to+\infty} u(x)&=&\displaystyle\lim_{x\to+\infty} (x+1)e^{-x} \\\\& =&\displaystyle\lim_{x\to+\infty} xe^{-x}+e^{-x}&\underbrace{=}_{X=-x}& \displaystyle\lim_{X\to-\infty} -Xe^{X}+e^{X}\\\\&=&-0+0&=&0\end{matrix}


En effet: \displaystyle\lim_{X\to-\infty} Xe^{X}=0\enskip\text{ et }\enskip \displaystyle\lim_{X\to-\infty} e^{X}=0

Conclusion:

\boxed{\displaystyle\lim_{x\to-\infty} f(x)=-\infty \enskip\enskip\text{ ; }\enskip\enskip \displaystyle\lim_{x\to+\infty} f(x) =0}


4-a) Etude de la dérivabilité de la fonction f en 0\text{ : }

On a f(0)=u(0)=1

\displaystyle\lim_{x\to 0^-}\dfrac{f(x)-f(0)}{x-0}= \displaystyle\lim_{x\to 0^-}\dfrac{x\ln(1-x)+1-1}{x} =\displaystyle\lim_{x\to 0^-}\dfrac{x\ln (1-x)}{x}=\displaystyle\lim_{x\to 0^-}\ln(1-x)=\ln 1=0

f est dérivable à gauche en 0 avec f'_g(0)=0


\begin{matrix}\displaystyle\lim_{x\to 0^+}\dfrac{f(x)-f(0)}{x-0}&=& \displaystyle\lim_{x\to 0^+}\dfrac{(x+1)e^{-x}-1}{x}&=&\displaystyle\lim_{x\to 0^+}\dfrac{xe^{-x}+e^{-x}-1}{x}\\\\&=&\displaystyle\lim_{x\to 0^+}\dfrac{xe^{-x}}{x}+\dfrac{e^{-x}-1}{x}&\underbrace{=}_{X=-x}&\displaystyle\lim_{X\to 0^-}e^{X}-\dfrac{e^{X}-1}{X}\\\\&=&1-1&=&0\end{matrix}


En effet: \displaystyle\lim_{X\to 0^-} \dfrac{e^X -1}{X}=1\enskip\text{ et }\enskip \displaystyle\lim_{X\to 0^-} e^{X}=e^0=1

f est dérivable à droite en 0 avec f'_d(0)=0

On en déduit que f est dérivable à gauche et à droite en 0 , avec f'_g(0)=f'_d(0)=0

Donc:

\boxed{f\text{ est dérivable en }0\text{ avec }f'(0)=0 }


Supplément: Interprétation graphique du résultat

\boxed{(C_f) \text{ admet une tangente horizontale au point }J(0;1)}


b) La fonction f est dérivable sur ]-\infty;0 [ comme somme de fonctions dérivables sur cet intervalle, alors:

\begin{matrix} \forall x\in ]-\infty;0[\text{ : }f'(x)&=& \left[x\ln(1-x)+1\right]'&=& x'\ln(1-x)+x\left(\ln(1-x)\right)' \\\\&=&  \ln(1-x)+x\times \dfrac{(1-x)'}{1-x}&=& \ln(1-x)+x\times \dfrac{-1}{1-x} \\\\&=& \ln(1-x)+x\times \dfrac{1}{x-1}&=&  \ln(1-x)+ \dfrac{x}{x-1} \\\\&=& g(x)\end{matrix}

\boxed{\forall x\in ]-\infty;0[\text{ : }f'(x)=g(x) }


La fonction f est dérivable sur [0;+\infty [ comme produit de fonctions dérivables sur cet intervalle, alors:

\begin{matrix} \forall x\in [0;+\infty[\text{ : }f'(x)&=& \left[(x-1)e^{-x}\right]'&=& (x+1)'e^{-x}+(x+1)\left(e^{-x}\right)' \\\\&=&  e^{-x}-(x+1)e^{-x}&=& (1-x-1)e^{-x} \\\\&=& -xe^{-x}\end{matrix}

\boxed{\forall x\in [0;+\infty[\text{ : }f'(x)=-xe^{x} }


c) Etudions le signe de f'(x)\text{ : }

Sur [0;+\infty[ :

On a pour tout x\in [0;+\infty[\text{ : }x\geq 0 \text{ et } e^x>0 . Donc \forall x\in [0;+\infty[\text{ : }f'(x)=-xe^x\leq 0

Sur ]-\infty;0[ :

Directement d'après 2) : \forall x\in ]-\infty;0[\text{ : }f'(x)=g(x)\geq 0

On en déduit que:

\boxed{ \begin{matrix} \bullet & f \text{ est strictement croissante sur }]-\infty;0[ \\ \bullet & f \text{ admet un maximum au point }J(0;1) \\ \bullet & f\text{ est strictement décroissante sur }]0;+\infty[ \end{matrix} }


Et on dresse le tableau de variations de la fonction f\text{ :}

\begin{array}{|c|ccccc|} \hline x     & -\infty    &     & 0 &          & +\infty                                         \\ \hline f'(x)            &  &     +     &       \barre{0} &-&                       \\ \hline       & &&f(0)=1&&  \\   f       & &\nearrow&&\searrow&           \\	              & -\infty&&&&0      	\\  \hline \end{array}}


5) La fonction f est continue et strictement croissante sur ]-\infty; 0] .

De plus: \displaystyle \lim_{x\to -\infty} f(x)= -\infty \text{ et }f(0)=1

Donc f(]-\infty;0])=]-\infty;1] , d'où 0\in f(]-\infty;0])

Donc, d'après le théorème des valeurs intermédiaires (T.V.I.) sur ]-\infty;0] :

\text{L'équation }f(x)=0\text{ admet une solution unique notée }\alpha\text{ sur }]-\infty;0]\enskip \enskip (a)


D'autre part, la fonction f est continue et strictement décroissante sur [0;+\infty[ .

De plus: \displaystyle \lim_{x\to +\infty} f(x)= 0 \text{ et }f(0)=1

Donc f([0;+\infty[)=]0;1] , d'où 0\notin f(]-\infty;0])

On en tire que:

\text{L'équation }f(x)=0\text{ n'admet aucune solution sur }[0;+\infty[\enskip \enskip (b)


On obtient à partir de (a) \text{ et }(b)\text{ : }

\boxed{\text{L'équation }f(x)=0\text{ admet dans }\R\text{ une solution unique notée }\alpha}


Encadrement de la solution unique \alpha de l'équation f(x)=0 dans \R\text{ : }

On calcule: f(-1,3)=-1,3 \ln(1+1,3)+1\approx -0,08<0 \enskip\text{ et }\enskip f(-1,2)=-1,2 \ln(1+1,2)+1\approx 0,05>0

D'où:
\boxed{-1,3<\alpha<-1,2}


6-a)

Puisque \displaystyle\lim_{x\to-\infty} f(x)=-\infty , on doit calculer \displaystyle\lim_{x\to-\infty} \dfrac{f(x)}{x}\text{ : }

\displaystyle\lim_{x\to-\infty} \dfrac{f(x)}{x}=\displaystyle\lim_{x\to-\infty} \dfrac{x\ln(1-x)-1 }{x}=\displaystyle\lim_{x\to-\infty} \ln(1-x)-\dfrac{1 }{x}=+\infty-0=+\infty

On obtient:
\boxed{\begin{matrix}\text{ La courbe }(C_f)\text{ admet une branche parabolique de la direction celle }\\\text{de l'axe des ordonnées au voisinage de }-\infty\end{matrix} }


On a \displaystyle\lim_{x\to+\infty} f(x)=0

Donc:
\boxed{\text{L'axe des abscisses est une asymptote horizontale à }(C_f)\text{ au voisinage de }+\infty}


b) Le graphique:

Bac Cameroun 2023 série IND SAUF IH : image 6


7-a) La fonction h est dérivable sur ]-\infty;0[ comme somme de fonctions dérivables sur cet intervalle, donc:

\begin{matrix} \forall x\in ]-\infty;0[\text{ : }h'(x)&=& \left(\dfrac{x^2-1}{2} \ln(1-x)-\dfrac{1}{4}x^2+\dfrac{1}{2}x\right)' \\&=&\left(\dfrac{x^2-1}{2}\right)' \ln(1-x) + \dfrac{x^2-1}{2} \left(\ln(1-x) \right)'-\dfrac{2}{4}x+\dfrac{1}{2} \\&=& \dfrac{2x}{2}\ln(1-x)+\dfrac{x^2-1}{2} \dfrac{(1-x)'}{1-x}-\dfrac{1}{2}x+\dfrac{1}{2} \\&=& x\ln(1-x)+\dfrac{(x-1)(x+1)}{2}\times \dfrac{-1}{1-x}-\dfrac{1}{2}(x-1) \\&=& x\ln(1-x)+\dfrac{(x-1)(x+1)}{2}\times \dfrac{1}{x-1}-\dfrac{x-1}{2}\\&=& x\ln(1-x)+\dfrac{x+1}{2}-\dfrac{x-1}{2}\\&=& x\ln(1-x)+\dfrac{x+1-x+1}{2}\\&=&x\ln(1-x)+1 \\&=& f(x)\end{matrix}

On en déduit que:

\boxed{\text{La fonction }h\text{ est une primitive de }f\text{ sur }]-\infty;0[ }


b) Calculons \displaystyle \int_0^{3} (x+1)e^{-x} \text{ d}x à l'aide d'une intégration par parties:

Posons \begin{cases} u(x)=x+1 \\v'(x)=e^{-x} \end{cases} \Longrightarrow \begin{cases} u'(x)=1 \\v(x)=-e^{-x}\end{cases}

Donc:

\begin{matrix}\displaystyle\int_0^{3} (x+1)e^{-x} \text{ d}x &=& \displaystyle\left[-(x+1)e^{-x}\right]_0^{3} -\int_0^{3} \left(-e^{-x}\right) \text{ d}x \\\\&=& \displaystyle\left[-(x+1)e^{-x}\right]_0^{3} -\left[e^{-x}\right]_0^{3} \\\\&=& \displaystyle -4e^{-3}+e^{0} -e^{-3}+e^0 \\\\&=& -5e^{-3}+2 \end{matrix}

Il s'ensuit que:

\boxed{\displaystyle\int_0^{3} (x+1)e^{-x} \text{ d}x=2-5e^{-3}}


c) Puisque \alpha est l'unique solution de l'équation f(x)=0 et que \alpha\in ]-\infty;0[

Alors:

\begin{matrix} f(\alpha)=0 &\iff& \alpha\ln (1-\alpha)+1=0 \\&\iff& \alpha\ln(1-\alpha)=-1\\&\iff& \boxed{\ln(1-\alpha)=-\dfrac{1}{\alpha}}\end{matrix}

d) Calculons \displaystyle\int_{\alpha}^{3} f(x) \text{ d}x\text{ :}

\begin{matrix} \displaystyle\int_{\alpha}^{3} f(x) \text{ d}x&=& \displaystyle\int_{\alpha}^{0} f(x) \text{ d}x+\displaystyle\int_{0}^{3} f(x) \text{ d}x \\&=& \left[h(x)\right]_\alpha^0 + \displaystyle\int_{0}^{3} (x+1)e^{-x} \text{ d}x \\&=& h(0)-h(\alpha)+2-5e^{-3}\\&=& \dfrac{0^2-1}{2} \ln(1-0)-\dfrac{1}{4}\times 0^2+\dfrac{1}{2}\times 0-\left(\dfrac{\alpha^2-1}{2} \underbrace{\ln(1-\alpha)}_{=-\frac{1}{\alpha}}-\dfrac{1}{4}\alpha^2+\dfrac{1}{2}\alpha\right)+2-5e^{-3}\\&=& -\left(\dfrac{\alpha^2-1}{-2\alpha} -\dfrac{1}{4}\alpha^2+\dfrac{1}{2}\alpha\right)+2-5e^{-3}\\&=& \dfrac{\alpha^2-1}{2\alpha} +\dfrac{1}{4}\alpha^2-\dfrac{1}{2}\alpha+2-5e^{-3}\\&=& \dfrac{\alpha}{2}-\dfrac{1}{2\alpha} +\dfrac{1}{4}\alpha^2-\dfrac{1}{2}\alpha+2-5e^{-3}\\&=& \boxed{\dfrac{1}{4}\alpha^2-\dfrac{1}{2\alpha}-5e^{-3}+2}\end{matrix}

e) L'aire du domaine (\mathscr{H}) du plan délimité par la courbe (C_f) , l'axe des abscisses et les droites d'équations x=\alpha \text{ et }x=3 , qu'on note A, s'écrit en unité d'aire (UA) :

A=\displaystyle \int_{\alpha}^3 \left| f(x)\right|\text{ d}x


Or, puisque pour tout réel x appartenant à [\alpha; 3] \text{ : }f(x)\geq 0 (En effet, la courbe (C_f) est au-dessus de l'axe des abscisses sur cet intervalle)

Donc:
\forall x\in [\alpha;3]\text{ : }|f(x)|=f(x)


On obtient:
A=\displaystyle \int_{\alpha}^3 f(x)\text{ d}x=\dfrac{1}{4}\alpha^2-\dfrac{1}{2\alpha}-5e^{-3}+2\enskip\enskip(UA)


On nous donne la valeur approchée: \alpha=-1,25

Donc:

A=\dfrac{1}{4}\alpha^2-\dfrac{1}{2\alpha}-5e^{-3}+2 = \dfrac{1}{4}\times (-1,25)^2-\dfrac{1}{2\times (-1,25)}-5e^{-3}+2 \enskip\Longrightarrow\enskip \boxed{A=2,54\enskip (UA) }
Publié le
ceci n'est qu'un extrait
Pour visualiser la totalité des cours vous devez vous inscrire / connecter (GRATUIT)
Inscription Gratuite se connecter
Merci à
Panter Correcteur
/
Panter Correcteur
pour avoir contribué à l'élaboration de cette fiche


Vous devez être membre accéder à ce service...

Pas encore inscrit ?

1 compte par personne, multi-compte interdit !

Ou identifiez-vous :


Rester sur la page

Inscription gratuite

Fiches en rapport

parmi 1768 fiches de maths

Désolé, votre version d'Internet Explorer est plus que périmée ! Merci de le mettre à jour ou de télécharger Firefox ou Google Chrome pour utiliser le site. Votre ordinateur vous remerciera !