Fiche de mathématiques
> >

Bac probatoire Mathématiques

Cameroun 2023

Série D-TI

Partager :



Durée : 3h
Coefficient: 4


Partie A: Évaluation des resources (15 points)



3,5 points

exercice 1


Bac probatoire Cameroun 2023 série D-TI : image 1


4 points

exercice 2


Bac probatoire Cameroun 2023 série D-TI : image 4


3,25 points

exercice 3


Bac probatoire Cameroun 2023 série D-TI : image 3


4,25 points

exercice 4


Bac probatoire Cameroun 2023 série D-TI : image 2


Partie B: Évaluation des compétences (5 points)


Bac probatoire Cameroun 2023 série D-TI : image 5








Partie A



exercice 1



1-a) Soit l'équation 2x^2-(2+\sqrt{2})x+\sqrt{2}=0

On a:

2\times 1^2-(2+\sqrt{2})\times 1 +\sqrt{2}=2-2-\sqrt{2}+\sqrt{2}=0

2\times\left(\dfrac{\sqrt{2}}{2}\right)^2-(2+\sqrt{2})\times\dfrac{\sqrt{2}}{2}+\sqrt{2}=2\times\dfrac{2}{4}-\dfrac{2\sqrt{2}}{2}-\dfrac{(\sqrt{2})^2}{2} +\sqrt{2}=1-\sqrt{2}-1+\sqrt{2}=0

Donc:

\boxed{1 \text{ et }\dfrac{\sqrt{2}}{2} \text{ sont solutions de l'équation } 2x^2-(2+\sqrt{2})x+\sqrt{2}=0 }


b) D'après la question précédente 1 et \dfrac{\sqrt{2}}{2} sont solutions de l'équation 2x^2- (2+\sqrt{2})x+\sqrt{2}=0 qui est une équation de second degré, donc elle admet au plus deux solutions.

On en déduit que 1 et \dfrac{\sqrt{2}}{2} sont les seules solutions de l'équation 2x^2- (2+\sqrt{2})x+\sqrt{2}=0 .

Résolvons l'équation 2 \cos ^2 x- (2+\sqrt{2})\cos x+\sqrt{2}=0 , posons pour cela X=\cos x :

\begin{matrix} 2 \cos ^2 x- (2+\sqrt{2})\cos x+\sqrt{2}=0 &\iff& 2 X^2 - (2+\sqrt{2})X+\sqrt{2}=0 \\&\iff& X=1\text{ ou }X=\dfrac{\sqrt{2}}{2} \\&\iff& \cos x = 1 \text{ ou }\cos x= \dfrac{\sqrt{2}}{2} \\&\iff& x=2k\pi \text{ ou }  \left(x=-\dfrac{\pi}{4}+2k\pi \text{ ou } x=\dfrac{\pi}{4}+2k\pi \right) \text{ / } k\in\Z\end{matrix}

L'ensemble des solutions de l'équation est donc:

\boxed{S_1=\left\lbrace 2k\pi \enskip\text{ ; }\enskip  -\dfrac{\pi}{4}+2k\pi \enskip\text{ ; }\enskip \dfrac{\pi}{4}+2k\pi  \enskip\enskip\text{ / }\enskip\enskip k\in\Z \right\rbrace }


2-a) \text{Pour tout réel }x\text{ , on a: }

\begin{matrix} 2\cos\left(x-\dfrac{\pi}{6}\right)&=& 2\left(\cos x\cos \dfrac{\pi}{6} +\sin x\sin\dfrac{\pi}{6} \right) \\&=& 2\left(\cos x \times \dfrac{\sqrt{3}}{2}+\sin x\times \dfrac{1}{2}\right) \\&=& \sqrt{3}\cos x +\sin x\end{matrix}

\boxed{\forall x\in\R\text{ : } \sqrt{3}\cos x +\sin x= 2\cos\left(x-\dfrac{\pi}{6}\right)}


b) Résolvons l'équation \sqrt{3}\cos x +\sin x-1=0

\begin{matrix} \sqrt{3}\cos x +\sin x-1=0 &\iff& \sqrt{3}\cos x +\sin x=1 \\&\iff& 2\cos\left(x-\dfrac{\pi}{6}\right)=1 \\&\iff& \cos\left(x-\dfrac{\pi}{6}\right)=\dfrac{1}{2}\\&\iff& \cos\left(x-\dfrac{\pi}{6}\right)=\cos \dfrac{\pi}{3} \\&\iff& \begin{cases} x-\dfrac{\pi}{6}=\dfrac{\pi}{3} +2k \pi \\\text{ ou }\\ x-\dfrac{\pi}{6}=-\dfrac{\pi}{3} +2k \pi\end{cases} \text{ / }k\in\Z  \\&\iff& \begin{cases} x=\dfrac{\pi}{6}+\dfrac{\pi}{3} +2k \pi \\\text{ ou }\\ x=\dfrac{\pi}{6}-\dfrac{\pi}{3} +2k \pi\end{cases} \text{ / }k\in\Z  \\&\iff& \begin{cases} x=\dfrac{\pi}{2} +2k \pi \\\text{ ou }\\ x=-\dfrac{\pi}{6} +2k \pi\end{cases} \text{ / }k\in\Z  \end{matrix}

L'ensemble des solutions de l'équation est donc:

\boxed{S_2=\left\lbrace \dfrac{\pi}{2}+2k\pi \enskip\text{ ; }\enskip  -\dfrac{\pi}{6}+2k\pi  \enskip\text{ / }\enskip k\in\Z \right\rbrace }


c) Résolvons l'équation (E)\text{ : }(2 \cos ^2 x- (2+\sqrt{2})\cos x+\sqrt{2})(\sqrt{3}\cos x +\sin x-1)=0

\begin{matrix}(E)\text{ : }(2 \cos ^2 x- (2+\sqrt{2})\cos x+\sqrt{2})(\sqrt{3}\cos x +\sin x-1)=0 &\iff& 2 \cos ^2 x- (2+\sqrt{2})\cos x+\sqrt{2}=0\text{ ou }\sqrt{3}\cos x +\sin x-1=0 \end{matrix}

D'après 1-b) et 2-b) , l'ensemble des solutions de l'équation est donc:

S=S_1\cup S_2\Longrightarrow \boxed{S=\left\lbrace 2k\pi\text{ ; } -\dfrac{\pi}{4}+2k\pi \text{ ; } \dfrac{\pi}{4}+2k\pi \text{ ; } \dfrac{\pi}{2}+2k\pi \text{ ; } -\dfrac{\pi}{6}+2k\pi  \enskip\text{ / }\enskip k\in\Z \right\rbrace }




exercice 2



1) L'effectif total noté N est la somme de tous les effectifs , alors :

N=\displaystyle\sum_{i}n_i=16+20+24+14+6=80

On calcule alors la moyenne de cette série statistique :

\begin{matrix}\bar{x}&=&\dfrac{1}{N} \displaystyle \sum_i n_i c_i \\&=& \dfrac{1}{80}\left(16\times \dfrac{40+45}{2}+20\times\dfrac{45+50}{2}+24\times\dfrac{50+60}{2}+14\times\dfrac{60+75}{2}+6\times\dfrac{75+85}{2}\right) \\&=&\dfrac{4375}{80}\\&=&54,6875\end{matrix}

Donc :

\boxed{\bar{x}=54,6875}


2) Complétons le tableau par la ligne des effectifs cumulés croissants:

\begin{array}{|l|c|c|c|c|c|}\hline \text{Masse corporelle}&[40;45[&[45;50[&[50;60[&[60;75[&[75;85[\\  \hline \text{ Effectif} & 16&20&24&14&6 \\ \hline \text{Effectif cumulé croissant} &16&16+20=36&36+24=60&60+14=74&74+6=80 \\\hline \end{array}

La classe médiane est par définition la classe correspondant à la première fois où l'effectif cumulé croissant est supérieur ou égal à la moitié de l'effectif total N=80.

La moitié de l'éffectif total est \dfrac{N}{2}=40 , c'est le numéro du candidat médian.

Puisque 36<40< 60 , alors la classe médiane est : [50\ ;60[

La médiane M_e est donc entre 50 et 60aan.

La méthode de l'intérpolation linéaire part de l'hypothèse que les candidats se répartissent équitablement dans la classe médiane , autrement dit , que l'écart qui sépare le 40ème candidat du 36ème , est proportionnel avec l'écart qui sépare la médiane M_e de 50 .

Bac probatoire Cameroun 2023 série D-TI : image 13


Donc, par intérpolation linéaire :

\dfrac{60-50}{60-36}= \dfrac{M_e-50}{40-36}\iff \dfrac{5}{3}=M_e-50 \iff \boxed{M_e\approx 51,67}

3-a) On choisit simultanément 3 candidats parmi les 6 candidats, donc le nombre de groupes possibles qu'on peut former est :

\boxed{\text{Card }\Omega={6\choose 3}=20}


b) Un groupe comprenant au moins 2 femmes est un groupe qui contient exactement 2 femmes ou un groupe qui comprend exactement trois femmes.

Le nombre de groupes possibles comprenant exactement 2 femmes est: \displaystyle {3\choose 2}{3\choose 1}=3\times 3=9

Le nombre de groupes possibles comprenant exactement 3 femmes est: \displaystyle {3\choose 3}=1

Conclusion:

\boxed{\text{Le nombre de groupes possibles comprenant au moins 2 femmes est: } {3\choose 2}{3\choose 1}+{3\choose 3}=9+1=10}


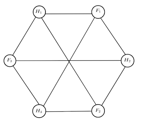
4-a) \text{ Les lettres }H_1\text{ , }H_2 \text{ et }H_3 \text{ désignent les trois hommes et } F_1\text{ , }F_2 \text{ et }F_3 \text{ désignent les femmes. }

On obtient le graphe suivant:

Bac probatoire Cameroun 2023 série D-TI : image 14


b) Par définition, le degré d'un sommet d'un graphe est le nombre de liens reliant ce sommet.

Dans notre cas, chaque sommet est relié par trois liens , donc:

\boxed{\text{Le degré de chaque sommet de ce graphe est }3 }



exercice 3



1-a) Voir la figure à la fin de la correction de cet exercice.

b) On a:

\begin{matrix} \overrightarrow{FH}=\overrightarrow{EF} &\iff& \overrightarrow{FH}=\overrightarrow{EH} + \overrightarrow{HF} \\  &\iff& \overrightarrow{FH}=\overrightarrow{EH} - \overrightarrow{FH}\\  &\iff& \overrightarrow{0}=-\overrightarrow{FH}+\overrightarrow{EH} - \overrightarrow{FH}\\  &\iff& \boxed{\overrightarrow{EH}-2\overrightarrow{FH}=\overrightarrow{0}} \end{matrix}

On en déduit que:

\boxed{H\text{ est le barycentre des points pondérés }(E;1)\text{ et }(F;-2)\enskip\enskip\enskip\enskip (e=1\text{ et }f=-2) }


2) Soit M un point du plan quelconque, on a:

\begin{matrix}\bullet\enskip \overrightarrow{MF} + \overrightarrow{MG}&=& \overrightarrow{MI} + \overrightarrow{IF}+\overrightarrow{MI} + \overrightarrow{IG} \\&=& 2\overrightarrow{MI}  + \overrightarrow{IF} + \overrightarrow{IG}\\&=& 2\overrightarrow{MI}  + \overrightarrow{IF} - \overrightarrow{IF}  && \left(\text{ En effet: }I\text{ est le milieu de }[FG]\text{ , donc: } \overrightarrow{IF} =-\overrightarrow{IG} \right)\\&=& 2\overrightarrow{MI}\end{matrix}

Et d'autre part, on a:

\begin{matrix}\bullet \enskip 2\overrightarrow{MF} -2 \overrightarrow{ME}&=& 2(\overrightarrow{ME} +\overrightarrow{EF} )-2 \overrightarrow{ME}\\&=& 2\overrightarrow{ME} +2\overrightarrow{EF} -2 \overrightarrow{ME}\\&=& 2\overrightarrow{EF}\end{matrix}

Ce qu'il fallait démontrer:

\boxed{\overrightarrow{MF} + \overrightarrow{MG}=2\overrightarrow{MI} \enskip\enskip\text{ et }\enskip\enskip 2\overrightarrow{MF} -2 \overrightarrow{ME}=2\overrightarrow{EF}}


3) Soit M un point du plan, on a:

\begin{matrix} M\in(\Sigma)&\iff&|| \overrightarrow{MF} + \overrightarrow{MG}|| = || 2\overrightarrow{MF} -2 \overrightarrow{ME} || \\&\iff& ||2\overrightarrow{MI}||=||2\overrightarrow{EF}||  \\&\iff& 2 ||\overrightarrow{MI}||=2||\overrightarrow{EF}|| \\&\iff& 2MI=2EF\\&\iff& MI=EF\\&\iff&\boxed{ MI=5}\end{matrix}

On en tire que:

\boxed{(\Sigma)\text{ est le cercle de centre }I\text{ et de rayon }5 }


Figure:

Bac probatoire Cameroun 2023 série D-TI : image 11



exercice 4



1-a) La fonction f est définie partout sur \R sauf en -1, donc l'ensemble de définition de f est:

D_f=\R\blackslash \lbrace -1\rbrace \iff \boxed{D_f=]-\infty;-1[\cup]-1;\infty[ }


b) En -\infty, on voit que (C_f) se dirige vers le bas suivant son asymptote oblique, donc vers -\infty, il s'ensuit alors que:

\boxed{\displasystyle\lim_{x\to-\infty} f(x)=-\infty}


À gauche de -1, on remarque que (C_f) se dirige vers le bas suivant son asymptote verticale cette fois-ci, donc vers -\infty, donc:

\boxed{\displasystyle\lim_{x\to-1^-} f(x)=-\infty}


c) La courbe (C_f) admet une seule asymptote verticale à gauche et à droite en -1, alors:

\boxed{\text{L'asymptote verticale à }(C_f) \text{ est la droite d'équation }x=-1}


d) On lit directement:

\boxed{f(-2)=-3 \text{ ; }f(0)=1}


Or, la fonction f admet un minimum locale en 0 , alors:

\boxed{f'(0)=0}


e) Sur ]-\infty;-2[ , la courbe (C_f) croît jusqu'à atteindre un maximum local en -2 (qui est -3) , donc:

\boxed{f\text{ est strictement croissante sur }]-\infty;-2[ }


2-a) Déterminons les trois réels a;b\text{ et }c tels que: \forall x\in D_f\text{  :  }f(x)=ax+b+\dfrac{c}{x+1}

Calculons d'abord la dérivée de f, on sait que f est dérivable sur D_f comme comme somme d'une fonction affine et d'une fonction homographique dérivables sur son ensemble de définition. On a donc:

\forall x\in D_f\text{ : }f'(x)= \left(ax+b+\dfrac{c}{x+1}\right)'=a-\dfrac{c}{(x+1)^2}

Donc:

\begin{matrix} \begin{cases} f(-2)=-3 \\ f(0)=1 \\f'(0)=0\end{cases} &\iff & \begin{cases} -2a+b-c=-3 \\b+c=1\\a-c=0 \end{cases} \\&\iff& \begin{cases} -2a+b-c=-3 \\b=1-c\\a=c \end{cases}  \\&\iff& \begin{cases} -2c+1-c-c=-3 \\b=1-c\\a=c \end{cases} \\&\iff& \begin{cases} -4c=-4 \\b=1-c\\a=c \end{cases}  \\&\iff& \begin{cases} c=1 \\b=1-c=1-1=0\\a=c=1 \end{cases} \end{matrix}

On obtient:

\boxed{a=c=1\text{ et }b=0 \text{ et donc: }\forall x\in D_f\text{ : }f(x)=x+\dfrac{1}{x+1}}


b) Calculons les limites en -\infty et en +\infty de f(x)-yy=x \text{ :}

On a, pour tout x\in D_f\text{ : }f(x)-y=x+\dfrac{1}{x+1}-x=\dfrac{1}{x+1}

\displaystyle\lim_{x\to-\infty}f(x)-y=\lim_{x\to-\infty}\dfrac{1}{x+1}=\dfrac{1}{-\infty}=0

\displaystyle\lim_{x\to+\infty}f(x)-y=\lim_{x\to+\infty}\dfrac{1}{x+1}=\dfrac{1}{+\infty}=0

\boxed{\text{La droite }(D)\text{ : }y=x\text{ est une asymptote oblique à }(C_f) \text{ en } -\infty\text{ et en }+\infty }


3) On a déjà calculé en 2-a) :

\forall x\in D_f \text{ : }f'(x)=a-\dfrac{c}{(x+1)^2}


Or, en sachant que a=c=1\text{ , on obtient : }

\boxed{\forall x\in D_f \text{ : }f'(x)=1-\dfrac{1}{(x+1)^2}}


Partie B



1) Notons n\in\N le nombre de membres fondateurs de cette coopérative avant que les deux nouveaux membres ne s'inscrivent.

La contribution de chaque membre à la fin du premier mois était: \dfrac{500000}{n}

D'autre part, après l'inscription des deux nouveaux membres, la contribution de chaque membre devient \dfrac{500000}{n+2}, elle est égale à la première contribution moins 12500, on obtient alors: \dfrac{500000}{n+2}=\dfrac{500000}{n}-12500

On obtient donc:

 \begin{matrix}\dfrac{500000}{n+2}=\dfrac{500000}{n}-12500 &\iff& \dfrac{40}{n+2}=\dfrac{40}{n}-1 &(\text{ en simplifiant par 12500}) \\&\iff& \dfrac{40}{n+2}=\dfrac{40-n}{n} \\&\iff& 40n=(40-n)(n+2)\\&\iff& 40n=40n+80-n^2-2n \\&\iff& n^2+2n-80=0 \end{matrix}

Calculons le discriminant: \Delta= 2^2-4\times (-8)0=4+320=324 >0 \text{ , et }\sqrt{\Delta}=\sqrt{324}=\sqrt{18^2}=18

L'équation admet deux solutions réelles:

n_1=\dfrac{-2-18}{2}=-10\notin \N \text{ et }n_2=\dfrac{-2+18}{2}=8\in\N

Seule la solution n_2=8 convient, alors:

\boxed{\text{ Il y a 8 membres fondateurs pour cette coopérative}}


2) Notons n\in\N^* le nombre d'années, u_1 le montant initial déposé le premier mois, donc u_1=500000 et u_n le montant au n-ième mois.

(u_2 représente alors le montant au deuxième mois, u_3 le montant au troisième mois,... Et ainsi de suite.)

Puisqu'il s'agit d'une cotisation qui augmente de 5\% chaque mois , alors: \text{Pour tout }n\text{ de }\N^{*}\text{ : }u_{n+1}=1,05u_n \text{ , avec :}

\begin{matrix} \bullet & u_n\text{ le montant au n-ième mois }\\ \bullet & u_{n+1} \text{ le montant au mois } n+1\end{matrix}

En effet, augmenter de 5\% revient à multiplier par 1,05 .

On en tire que les montants mensuels représentent les termes d'une suite géométrique (u_n) de raison 1,05, d'où: \forall n\in\N^*\text{ : }u_n=(1,05)^nu_1

On peut alors calculer au 9ème mois la somme totale (cotisée depuis le début):

\begin{matrix}S&=&u_1+u_2+ \cdots+ u_9\\&=& u_1\dfrac{1-(1,05)^9}{1-1,05}\\&=& 500000\times\dfrac{1-(1,05)^9}{0,05}\\&\approx& 5513282,2\end{matrix}

Le prix du véhicule s'élève à  5000000 \text{ FCFA} \enskip \text{ et }\enskip\enskip 5000000 \text{ FCFA} < 5513282,2 \text{ FCFA}

Donc:

\boxed{\text{ Les membres pourront acheter le véhicule au 9ème mois}}


3)

Remarque
La troisième question est mal posée, en effet, l'exercice suppose que la longueur et la largeur du terrain peuvent varier, cela veut dire que la forme du terrain n'est pas fixe et peut changer, chose qui est en réalité impossible.

Soient x la largeur de ce terrain et y sa longueur en mètres (m).

La partie à clôturer a pour longueur d=2x+y .

D'autre part, l'aire du terrain rectangulaire est xy=5000 en m^2 . On en tire une expression de y en fonction de x\text{ : }y=\dfrac{5000}{x}

En remplaçant dans l'expression de la longueur de la clôture, on obtient une fonction de variable x\text{ : }d(x)=2x+\dfrac{5000}{x}

Puisque le prix d'un mètre de clôture est fixé à 5000F, les membres paieront le plus petit montant s'ils prennent la plus petite clôture, c'est-à-dire si d est minimale.

Etudions alors les variations de d\text{ :}

On remarque que la fonction d est définie sur ]0;5000[, en effet , la largeur (représentée par x) ne peut pas dépasser l'aire du terrain, et elle ne peut pas être nulle.

d est dérivable sur ]0;5000[ comme somme de fonctions dérivables qsur cet intervalle, donc:

\begin{matrix}\forall x\in ]0;5000[\text{ : } d'(x)&=&\left(2x+\dfrac{5000}{x}\right)'&=& 2-\dfrac{5000}{x^2}\\&=&\dfrac{2x^2-5000}{x^2}&=&\dfrac{2(x^2-2500)}{x^2}\\&=&\dfrac{2(x^2-50^2)}{x^2}&=& \dfrac{2(x-50)(x+50)}{x^2}\end{matrix}

Puisque pour tout x\in ]0;5000[\text{ : }x^2\geq 0 \text{ et }2(x+50)\geq 0 , donc le signe de d'(x) est celui de x-50 .

On en tire que:

\begin{cases} \forall x\in ]0;50[\text{ : }x-50 < 0  \\ \text{ Si }x=50\text{ : }x-50=0 \\ \forall x\in ]50;5000[\text{ : }x-50> 0 \end{cases} \iff \begin{cases} \forall x\in ]0;50[\text{ : }d'(x) < 0  \\ d'(50)=0 \\ \forall x\in ]50;5000[\text{ : }d'(x)> 0 \end{cases}

On conclut que:

\boxed{\begin{matrix} d\text{ est strictement décroissante sur }]0;50[ \\ d\text{ admet un minimum en }50 \\ d\text{ est strictement croissante sur }]50;5000[ \end{matrix}}


Le minimum est donc: d(50)=2\times 50 +\dfrac{5000}{50}=100+100=200

La plus petite clôture possible mesure donc 200 \text{ m }, le plus petit montant possible qu'ils peuvent payer est donc :

\boxed{200\times 5000= 1000000 \text{ FCFA.}}
Publié le
ceci n'est qu'un extrait
Pour visualiser la totalité des cours vous devez vous inscrire / connecter (GRATUIT)
Inscription Gratuite se connecter
Merci à
Panter Correcteur
/
Panter Correcteur
pour avoir contribué à l'élaboration de cette fiche


Vous devez être membre accéder à ce service...

Pas encore inscrit ?

1 compte par personne, multi-compte interdit !

Ou identifiez-vous :


Rester sur la page

Inscription gratuite

Fiches en rapport

parmi 1768 fiches de maths

Désolé, votre version d'Internet Explorer est plus que périmée ! Merci de le mettre à jour ou de télécharger Firefox ou Google Chrome pour utiliser le site. Votre ordinateur vous remerciera !