Fiche de mathématiques
> >

Bac Mathématiques

Congo-Brazzaville 2023

Série F2-F3

Partager :



5 points

exercice 1


Bac Congo-Brazzaville 2023 série F2-F3 : image 4


5 points

exercice 2


Bac Congo-Brazzaville 2023 série F2-F3 : image 1


7 points

exercice 3


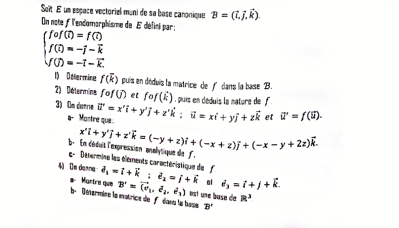
Bac Congo-Brazzaville 2023 série F2-F3 : image 3


3 points

exercice 4


Bac Congo-Brazzaville 2023 série F2-F3 : image 2
Publié le
ceci n'est qu'un extrait
Pour visualiser la totalité des cours vous devez vous inscrire / connecter (GRATUIT)
Inscription Gratuite se connecter
Merci à
Panter Correcteur
pour avoir contribué à l'élaboration de cette fiche


Vous devez être membre accéder à ce service...

Pas encore inscrit ?

1 compte par personne, multi-compte interdit !

Ou identifiez-vous :


Rester sur la page

Inscription gratuite

Fiches en rapport

parmi 1768 fiches de maths

Désolé, votre version d'Internet Explorer est plus que périmée ! Merci de le mettre à jour ou de télécharger Firefox ou Google Chrome pour utiliser le site. Votre ordinateur vous remerciera !