Salut tout le monde.
J'ai un p'tit exo qui me pose problème et un petit coup de main (non aujourd'hui
) ne serait pas de refus. Sans plus tarder, voilà l'énoncé:
Si une variable aléatoire X suit la loi exponentielle de paramètre
(avec
>0), elle a pour densité de probabilité la fonction f telle que f(x)=
e-
x sur [0; +
[.
On appelle espérance de X le réel:
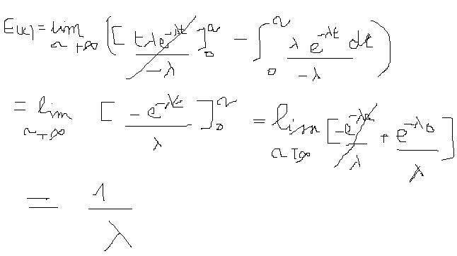
E(X) = lim
a tf(t)dt
a
+
0
et variance de X le réel:
V(X) = lim
a [t-E(X)]² f(t)dt
a
+
0
Démontrer que E(X)= 1/
et V(X)= 1/
²
Voili voilou, merci d'avance à ceux qui voudront bien y jeter un coup d'oeil.
@ peluche
salut
pour e(x) je ferais bien une integration par parties pour arriver à integrer f(t) car f(t) est une exponentielle dont on sait integrer.
et pour v(x) on remplace e(x) par 1/lambda et quand on developpe il faut faire 2 integrations par parties successives pour se "debarrasser " du t²
cest tres calculatoire
Tout d'abord, merci pour votre aide.
Mais pour ne rien vous cacher, il y a un petit quelque chose qui me tracasse.
Comment vous faites pour intégrer la fonction? De où à où (c'est-à-dire les trucs qui sont en indice et en exposant sur le signe de l'intégrale)?
Voilà, j'espère que vous m'avez compris.
Merci
tu parles des bornes de lintegrales?
et bien tu integres entre 0 et a et quand tas trouvé ton expression en fonction de "a", tu fais tendre "a" vers +oo et tu trouves ta limite qui devrait tendre vers 1/lambda
Oui je parle bien de bornes merci.
Mais je n'arrive toujours pas à trouver le résultat qu'a trouvé puisea c'est-à-dire:
G(t)= [(-t
-1) e-
t] /
(cf la réponse de puisea un peu plus haut)
Si quelqu'un pourait me détailler les calculs jusqu'ici, je lui en serai très reconnaissant (merci encore à ahahah et puisea d'ailleurs).
son expression est fausse en effet.
il ne devrait plus y avoir le facteur t, puisqu'on cherche à le faire disparaitre par lintegration par parties justement.
integ g(t) = [...] - integ (e(...))
tout ce quil ya entre les crochets n'annule car l'exponentiel(-a) tend vers 0 et t.exp(...)=0 quand t = 0
il te reste donc lexpression -integ(e(...)) à calculer
jmets pas les constantes et ce ki a dans lexponentiel pour pas alourdir...
si ca se trouve ce que t'as calculé cest bon, as tu poursuivi pour voir si tu tombes sur le resultat?
J'ai poursuivi, j'ai poursuivi...mais je suis tombé sur un truc tordu. Je vois vraiment plus maintenant.
Non t'inquiète c'es lisible. C'est plutot à moi de m'excuser.
A part ça je pense avoir compris. Pour l'intégration par partie de:
a
t
e-
tdt
0
Tu as posé u(x)= t u'(x)=1
v'(x)= ... v(x)=
En fait je vois pas t'as posé quoi pour v(x).Il devrait bien y avoir un
e-
t quelque part mais je le vois pas. A moins que je me trompe...
jai posé u(x)=t et v'(x)=e(-lambda.t)
et ensuite on complete les calculs avec u'(t)=1 et v(t) = -e(-lambda.t)/(-lambda)
désolé pas "u(x)" et "v'(x)" mais plutot u(t) et v'(t)
le lambda de lintegrale je le sors car cest une constante
D'accord, d'accord j'ai compris!!!
Merci bien, merci beaucoup.
Mais qu'est-ce que je ferai sans toi!?!
Merci encore et bonne nuit. 
lol désolé encore (la fatigue), avec le v'(t) que j'ai posé, le v(t) est plutot:
e(-lambda.t)/(-lambda) sans le signe moins devant tout ca
Vous devez être membre accéder à ce service...
Pas encore inscrit ?
1 compte par personne, multi-compte interdit !
Ou identifiez-vous :