Salut ,
J'ai un exercice de DM que je trouve incomplet , pouvez vous me dire si ce que je croit est vrai ?
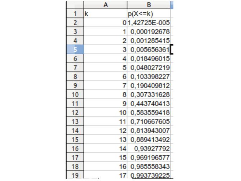
On donne l'extrait d'une feuille de calcul concernant une variable aléatoire X , suivant une loi binomiale de paramètre n = 50 et p = 0,2
1.a) Déterminer le plus petit entier k1 tel que : P(X
k1 ) > 0,025
b)Déterminer le plus petit entier k2 tel que : P(X
k2 )
0,975
2.En déduire l'intervalle de fluctuation à 95% de la variable aléatoire X
J'ai répondu à toutes ces questions , c'est la question 3 qui me pose problème :
3.Un jeu consiste à tirer une boule dans une urne contenant 2 boules blanches et 8 boules noires.
Sur les 50 personnes ayant joué , 5 ont gagné. Le résultat de la question 2 permet-il de soupçonner l'organisateur de tricherie ?
Voilà , j'ai l'impression qu'il manque la couleur de la boule quand il est dit : "Un jeu consiste à tirer une boule dans une urne"
Sans la couleur de la boule , je ne vois pas comment trouver la réponse , êtes vous du même avis que moi ?
Merci

Vous devez être membre accéder à ce service...
Pas encore inscrit ?
1 compte par personne, multi-compte interdit !
Ou identifiez-vous :