Salut
Dans mon DM de maths, la prof demande de factoriser d'abord a3 + b3 puis a3 - b3
Donc j'ai cherché sur internet les identités remarquables mais maintenant il faut rédiger les calculs
Je sait que a3 + b3 = (a + b)(a² - ab + b²)
Maintenant il faut montrer comment on est passé de a3 + b3 à (a + b)(a² - ab + b²)
Merci d'avance
Bonjour Marcbal,
Tu peux peut-être te contenter de développer le second membre de l'identité pour voir si on retombe bien sur le premier ?
oui, c'est ce que j'ai fait, mais la consigne est de développé a3 + b3 et non l'inverse, et lors du développement, il y a des simplification qui supprime des éléments genre -ab² + ab² que je remplace par 0 ou rien du tout. Alors que dans le sens voulu, on va pas créer des bouts d'expression, sachant que je ne suit pas censé connaitre l'expression (a + b)(a² - ab + b²)
a3 + b3 = (a + b)(a² - ab + b²)
= a3 - a²b + ab² + a²b - ab² + b3
= a3 + b3
Dans le sens voulu ça donne :
a3 + b3
= a3 - a²b + ab² + a²b - ab² + b3
= (a + b)(a² - ab + b²)
La prof va se demander comment sont arrivé les éléments (soulignés au dessus)
Bonjour
> marcbal
Tu peux commencer par développer (a+b)3
donc
d'où
et le résultat attendu en découle immédiatement.
On ne peut pas donner la consigne de " développer a3+b3 " !
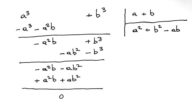
Ce que l'on peut faire en revanche, si on sait que (a+b) doit être en facteur, c'est la division euclidienne de a3+b3 par a+b , comme ceci :
a³ + b³ = a³ + b³ + ab² - ab² + a²b - a²b
a³ + b³ = a³ + a²b + b³ + ab² - ab² - a²b
a³ + b³ = a²(a + b) + b²(b + a) - ab(b + a)
a³ + b³ = (a + b)(a² + b²- ab)
Sauf distraction 
Vous devez être membre accéder à ce service...
Pas encore inscrit ?
1 compte par personne, multi-compte interdit !
Ou identifiez-vous :