Bonjour,
autre exercice :
Dans une population donnée, 30 % des personnes interrogées se disent sans religion. On appelle X la variable aléatoire qui, à chaque échantillon de 200 personnes choisies au hasard associe le nombre de personnes se disant sans religion.
1), Quelle est la loi suivie par la variable X ?
2) Déterminer le plus petit entier b tel que P(X
b)
0,9
3) En déduire un intervalle [a;b] tel que la probabilité P(X
[a;b] soit supérieure à 90 %
4) interpréter le résultat précédent
voici ce que j'ai fait :
1) le fait de choisir une personne est une épreuve de Bernoulli dont le succès "personne sans religion" a pour probabilité 0,3. La constitution de l'échantillon revient à réaliser 200 fois de façon identique et indépendante cette épreuve de Bernoulli : ainsi X suit la loi binomiale de paramètres n= 200 et p=0,30
2) on construit le tableau des valeurs (je dû faire par tâtonnement car ma calculatrice CASIO Graph 100+ pas moyen)
P(X
b)
0,9 P(X
k) pour k compris entre 0 et 200. On obtient b=68 puisque P(X
67)
0,875 et P(X
68)
0,940 donc P(X
68)
0,9
3) Alors là j'ai du mal
P(X
[a;b] soit supérieur à 90 %
P(X
[68;200]
4) on peut affirmer que la probabilité d'obtenir une personne se disant sans religion est entre 68 et 200 est au moins égal à 0,9
mais pas sûr là j'ai du mal
MERCI
bonjour
je tente, mais sous réserve d'un autre avis...
1)2) oui
==> tu confirmes bien que l'énoncé dit 0.9 en question 2 et 90% en question 3 ?
3) En déduire un intervalle [a;b] tel que la probabilité P(X
[a;b]) soit supérieure à 90 %
on cherche donc a et b tels que p(a
X
b)
0.9
il faut savoir que, sur une loi binomiale (variable discrète),
lorsque tu calcules (X
k), tu calcules en fait un cumul de probabilités,
soit
par ex, p(X
68) = p(X=0) + p(X=1) + p(X=2)+...+p(X=67) + p(X=68)
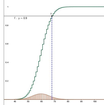
graphiquement, un "zoom" (je ne mets pas l'intervalle entier [0;200], pour lisibilité)
- de l'histogramme de distribution de la loi normale B(200,0.3)
- de la courbe des probas cumulées (en vert); on "lit" que pour X<=68, le cumul des probas est 0.9.
ainsi pour la question 3, tu vois mieux la bonne réponse ? (compte tenu de la 2)
4) à reformuler
Re,
oui l'énoncé dit bien en 2) 0,9 et en 3) 90 %
Alors là je suis perdue
ok pour P(X
68)
0,90
est-ce la bonne réponse : je dirai oui d'après ton graphique sur que la ligne 0,9 la courbe passe bien par un point qui donne pour moi 68
tu me parles de loi normale ? Qu'est-ce ?
Comment fais-tu pour avoir ce graphique ?
d'après ton graphique, je peux donc dire pour la question 3)
le probabilité d'avoir plus de 90 % est à partir de 68
et la formule que tu me mets comment l'appliquer ici (avec quel chiffre ?)
MERCI
erreur de ma part (je devais y penser très fort et je l'ai écrit :/)
lire loi binomiale et non pas normale (désolée)
graphique géogébra
Binomiale(200, 0.3, true) pour les probas cumulées croissantes
Binomiale(200, 0.3, false) pour l'histogramme
retour sur 2) Déterminer le plus petit entier b tel que P(X
b)
0,9
tu as trouvé b=68
==> 0.9 n'est ce pas 90% ? donc "supérieur ou égal à 90%" ?
l'énoncé te fait un clin d'oeil ! il nomme déjà b, et comme b=68
pour que le cumul des probas atteigne 90% il faut que l'on parte de a = ...?
la formule, tu veux dire la somme sigma ? c'est ce que tu as déjà calculé
inutile que tu la cites sur ta copie, c'est seulement pour te montrer à quoi correspond p(X
68) : à une somme.
tu me fais rire, tu commences chaque message par un "alors là je suis perdue "...
mais non, t'es pas perdu
sur ce coup-là, tu n'as pas (assez) réfléchi...
relis attentivement mon message, et observe la formule développée que je t'ai écrite (exprès ^^)
Re,
j'ai des "tiques" hi hi hi
je comprends que l'on trouve 68
mais je ne comprends pas le a.....
P(X
68)
0,9
là ça va mais je ne sais pas quoi répondre en 3) car dans l'énoncé je n'ai pas le petit a)
P(a
X
68)
0,9
mais .....je ne sais pas
MERCI
et pourtant, à la lecture de ta réponse sur ton autre devoir, je pense que tu aurais dû trouver.
... que penses-tu de a=0 ? la condition
90% est-elle remplie ?
je n'ai pas eu de remontée de notification de tes messages...
ton dernier message de 14-12-20 à 18:17 :
si la proba cumulée de X=0 à X=68 est supérieure à 0.9,
et sachant que la somme des probas pour X de 0 à 200 est égale à 1,
tu penses toujours que les probas cumulées de 68 à 200 seront supérieure à 0.9 ?
(regarde le graphique)
je t'ai indiqué la piste ici 14-12-20 à 18:08
ah...ça arrive, fait avoir le réflexe de se connecter et de regarder dans "mes messages"
bonne soirée 
Bonjour carita,
j'ai du mal à comprendre cet exercice, l'autre il y avait a et b de donné mais ici il n'y a que b
donc je ne sais pas
est-ce que lorsque a est proche de 0 donc ici 40 ?
MERCI de m'expliquer
Re,
je viens d'essayer avec Géogébra , j'ai vu que l'on avait 0 à36
j'ai le tableau mais je n'ai pas le graphique (je ne connais pas donc.... pas évident) et je n'ai pas trouvé la fonction TRUE ou FALSE
MERCI
Vous devez être membre accéder à ce service...
Pas encore inscrit ?
1 compte par personne, multi-compte interdit !
Ou identifiez-vous :