Inscription / Connexion Nouveau Sujet
Posté par shamallow (invité)re : Racines carrées, simplification et operations! 23-05-05 à 12:27

héhé
c'est la fête alors!

bon la je fais quelques polynômes!

(9a 13a + b)-(-3b +11a -2a) = 9a - 13a + b + 3b + 11a - 2a
                            = 5a + 4b

celui je n'ai pas reussi
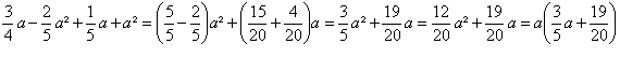
\frac{3}{4}a - \frac{2}{5}a^2 + \frac{a}{5} + a^2 = ???

-2 (x - 4x² + 3) + (x² - x -4)2x² - 7 =

= -2x +8x² -6 + 2x^4 - 2x³ - 8x² - 7
j'ordonne le polynôme => 2x^4 - 2x³ + x² - 13

voila voila est ce que je m'y prends bien?

merci



*** message déplacé ***

Posté par shamallow (invité)re: 23-05-05 à 12:37

pour le dernier lorsque je l'ordonne c'est 0x² et non pas x² !
?

*** message déplacé ***

Niveau autre
Partager :

polynômes !

Posté par shamallow (invité) 23-05-05 à 12:48

bon la je fais quelques polynômes!

(9a 13a + b)-(-3b +11a -2a) = 9a - 13a + b + 3b + 11a - 2a
                            = 5a + 4b

celui je n'ai pas reussi


-2 (x - 4x² + 3) + (x² - x -4)2x² - 7 =

= -2x +8x² -6 + 2x^4 - 2x³ - 8x² - 7
j'ordonne le polynôme => 2x^4 - 2x³ + x² - 13

voila voila est ce que je m'y prends bien?

merci

Posté par
H_aldnoer
re : polynômes ! 23-05-05 à 13:01

slt


attention au debut :

3$\rm\begin{tabular}(9a-13a+b)-(-3b+11a-2a)&=&9a-13a+b+3b-11a+2a\\&=&9a-13a-11a+2a+b+3b\\&=&-13a+4b\end{tabular}


@+ sur l' _ald_

Posté par
H_aldnoer
re : polynômes ! 23-05-05 à 13:06

re


pour le dernier je suis d'accord jusqu'ici : 3$\rm ... =-2x+8x^2-6+2x^4-2x^3-8x^3-7

ensuite 3$\rm \red 8x^2-8x^2=0 -> il n'y pas de monome de degre2

donc tu devrai trouver : 3$\rm \fbox{... =2x^4-2x^3-2x-13


@+ sur l' _ald_

Posté par
H_aldnoer
re : Racines carrées, simplification et operations! 23-05-05 à 13:08

re


va voir ici -> polynômes !

et ici -> [lien]



*** message déplacé ***

Posté par
lolo5959
re : Racines carrées, simplification et operations! 23-05-05 à 13:12

Re,

Au début:

(9a-13a+b)-(-3b+11a-2a)=9a - 13a + b + 3b - 11a + 2a
                       =-13a +4b

Tu t'es trompé(e?) en développant la deuxième parenthèse, tu as oublié ton - devant.

Pour le deuxième, tu dois le factoriser?

Si c'est ça, alorscf. pièce jointe)

Pour le 3ième,

-2 (x - 4x² + 3) + (x² - x -4)2x² - 7

= -2x +8x² -6 + 2x^4 - 2x³ - 8x² - 7

=2x^4 - 2x^3 - 2x - 13 -> Tu as oublié ton "-2x" dans cette ligne-là.



*** message déplacé ***

Posté par shamallow (invité)re 23-05-05 à 13:14

je suis d'accord mais je pensais qu'il fallait rajouter "0x^n pour le terme manquant pour que le polynôme soit ordonné!

par exemple lors d'une division euclidienne si le terme de degré 2 n'est pas rajouté elle devient impossible non ?

Posté par
H_aldnoer
re : polynômes ! 23-05-05 à 13:18

re


je ne comprend pas ta question

Posté par
lolo5959
re : Racines carrées, simplification et operations! 23-05-05 à 13:19

Oups, j'ai oublié la pièce jointe:


Racines carrées, simplification et operations!

*** message déplacé ***

Posté par shamallow (invité)re : Polynômes 23-05-05 à 13:21

oki d'accord je viens de rendre compte de mon erreur!

Posté par
lolo5959
re : polynômes ! 23-05-05 à 13:22

J'ai répondu à tes problèmes dans ton message de ce matin ici-> Racines carrées, simplification et operations!

Posté par shamallow (invité)re : Racines carrées, simplification et operations! 23-05-05 à 13:24

merci lolo

tu me sauves la vie pour mes revisions! je gagne un temps fou! et j'aime les maths

*** message déplacé ***

Posté par
lolo5959
re : Racines carrées, simplification et operations! 23-05-05 à 13:27



*** message déplacé ***



Vous devez être membre accéder à ce service...

Pas encore inscrit ?

1 compte par personne, multi-compte interdit !

Ou identifiez-vous :


Rester sur la page

Désolé, votre version d'Internet Explorer est plus que périmée ! Merci de le mettre à jour ou de télécharger Firefox ou Google Chrome pour utiliser le site. Votre ordinateur vous remerciera !