Inscription / Connexion Nouveau Sujet
Niveau première
Partager :

problème limite d'une fonction en - infini

Posté par
bmarycats
20-03-11 à 15:02

bonjour,

j'ai des difficultés avec un exercice. le voici :

soit la fonction f(x) = x+1+(x²+4x)

1. calculer les limites de f en + infini et - infini.

2. f est-elle dérivable en 0 ? en -4 ?

pour la 1. j'ai trouvé lim x-> +inf  de f(x) = +inf
mais en - infini j'ai trouvé - infini alors que d'après ma calculatrice je devrais trouver -1 , pouvez vous m'aider ?

pour la 2.

lim x-> 0  de (f(x)-f(0))/ x = - infini donc f n'est pas dérivable en 0

lim x-> -4 de (f(x)-f(-4))/ (x+4) = 1  don f est dérivable en -4

est-ce juste ? merci d'avance.

Posté par
Glapion Moderateur
re : problème limite d'une fonction en - infini 20-03-11 à 15:20

Bonjour, tu multiplies par la quantité conjuguée x+1-(x²+4) en haut et en bas, tu utilises (a+)(a-b)=a²-b² pour simplifier le numérateur puis tu mets x en facteur en haut et en bas (en faisant attention que x est négatif donc que x² sort de la racine en -x)
tu tombes sur 3$ \frac{-2+\frac{1}{x}}{1+\frac{1}{x}+\sqrt{1+\frac{4}{x}} qui n'est plus indéterminé et qui tend bien vers -1
problème limite d\'une fonction en - infini
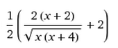
non en -4 la limite est également infinie, la fonction n'est pas dérivable non plus.
(d'ailleurs la dérivée vaut problème limite d\'une fonction en - infini, on voit bien que pour x=-4 le x+4 qu'il y a au dénominateur la fait tendre vers l'infini)

Posté par
bmarycats
re : problème limite d'une fonction en - infini 20-03-11 à 16:48

merci pour ton aide j'ai retrouvé les réponses que tu m'a données. A la prochaine.



Vous devez être membre accéder à ce service...

Pas encore inscrit ?

1 compte par personne, multi-compte interdit !

Ou identifiez-vous :


Rester sur la page

Inscription gratuite

Fiches en rapport

parmi 1768 fiches de maths

Désolé, votre version d'Internet Explorer est plus que périmée ! Merci de le mettre à jour ou de télécharger Firefox ou Google Chrome pour utiliser le site. Votre ordinateur vous remerciera !