Bonjour,
Une des parties de cet exercice
rectangle n'est pas résolue.
Je la propose ci-dessous à votre sagacité :
Bonsoir
Si les similitudes de dpi sont exactes, alors la similitude des triangles ABC et BEC suffit à conclure : par assimilation des angles, on a alors , donc ABC est un angle droit et la figure est un rectangle
On peut tracer le cercle de centre E et de rayon EG (énoncé = EF )
et démontrer qu'il passe par B --->GBF=90°
Bonjour
Je ne suis convaincu par aucune des deux approches de Dpi
Il faut bien montrer que les angles BAE et CBE sont égaux .
Imod
Bonjour,
Je suis partie vers une autre stratégie, mais sans aboutir.
Je poste en souhaitant que ça puisse en inspirer d'autres.
L'idée est de construire un rectangle avec les mêmes point E et F que le parallélogramme.
Si EG = EF alors G1 = G et le parallélogramme est confondu avec le rectangle.
Il faudrait démontrer que les droites (BD) et (B1D1) sont parallèles...
Il y a tellement de pistes à explorer que j'ai tendance à croire que l'exercice a été monté à l'envers . On est parti d'un rectangle , on a construit divers points pour obtenir un parallélogramme et questionner ensuite sur la figure initiale . Personnellement j'avais regardé une figure centrée en E , c'est rempli de parallélogrammes et de losanges mais pénible à finaliser .
J'ai laissé tomber mais j'y reviendrai certainement
Imod
Un ancien de l'île, pointu en géométrie (mais pas que), m'a contactée pour proposer une solution.
J'en donne les grands axes pour vous laisser le plaisir de la recherche.
Une remarque préalable : Le point O a un rôle à jouer en tant que milieu.
L'idée est d'utiliser la similitude directe s définie par s(D) = G et s(B) = F.
Son angle n'est pas quelconque car (GF)
(DB)
Démontrer que s(A) = B suffit pour conclure qu'on a un rectangle.
Dans ce but, on peut démontrer que s(A) est sur les droites (EB) et (BD).
1) Pour (EB), on utilise l'image de O qui est E car E est le milieu de [FG].
2) Pour (BD), c'est une autre paire de manches...
Je blanke sans trop en dire :
Cliquez pour afficherOuais , il fallait penser à une similitude à angle droit , le reste est assez facile .
Je propose une rédaction quand j'aurai fini d'illustrer
Imod
Une figure et deux remarques :
Les droites (BE) et (BD) ne sont pas confondues car ABCD n'est pas un losange.
Le point s(A), noté A', est sur la droite (BD) même si E n'est pas un milieu, comme sur cette figure.
Pas de problème , j'ai juste regardé la similitude , après je préfère faire le travail moi même quand j'y arrive . Je ne suis pas sûr d'avoir suivi la même piste que toi ou celle de ton gentil souffleur qui a eu une excellente idée
Imod
PS : J'illustre mais je suis un peu lent .
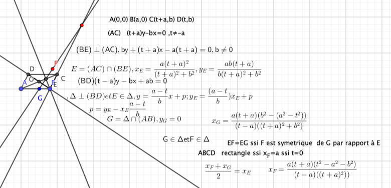
Bonjour,
En posant A((0,0 )B(a,0) ,C(t+a,b) D(t,b) et en déterminant les équations de droites et des intersections... on peut déterminer l'abscisse du point G symétrique du point F
ABCD est un rectangle ssi G et B ont la mème abscisse et
x_G=b ssi t=0
Avec l'idée de la similitude :
On considère la similitude d'angle droit O -> E et B -> F .
Si on note H l'image de C par la similitude , comme E est le milieu de [FG] , G est l'image de D . Ensuite , Comme O est le milieu de [AC] , E est le milieu de [BH] . De plus (FH) est perpendiculaire à (BC) donc BFHG est un rectangle et il y a un angle droit en B .
Imod
@PLSVU,
Regarde la figure de Imod :
ABCD est un rectangle. Mais G et B n'ont pas la même abscisse.
@Imod,
Je ne vois pas pourquoi E est le milieu de [BH].
@Sylvieg
J'ai rédigé un peu vite ( j'avais un rendez-vous sportif ) . L'image de A est sur les droites (FC) et et (HE) , c'est donc B .
Imod
Je donne un schéma ( fonctionnel ) qui permet de repérer les images par la similitude .
Il faut le mettre en parallèle avec l'illustration précédente puis justifier les correspondances point par point . Après il peut être possible de définir différemment la similitude pour réduire le nombres d'étapes .
Imod
Bonjour Imod,
Oui, O' est le milieu de [A'C']
Mais je ne vois toujours pas pourquoi O' serait le milieu de [BC'] alors qu'on ne sait pas que A' et B sont confondus.
Une figure sans rectangle, comme celle de mon message du 6 permet peut-être de mieux appréhender ce qui est donné ou pas.
Pour ce qui est des similitudes, nous utilisons la même :
Moi : s1(B) = F et s1(O) = E.
Toi : s2(B) = F et s2(D) = G.
Elles coïncident à partir du moment où E est le milieu de [GF].
Nous parlons bien de la même similitude , je me demandais si la démonstration pouvait être simplifiée si on la définissait à partir d'autres points que E et B . Sur mon dessin je ne vois pas d'angle droit en B car il n'est pas indiqué . Ma démonstration est complète , mais rédigé bien trop rapidement , je détaille tout .
1°) On considère la similitude directe qui envoie O en E et B en F , on note comme toujours E=O' et F=B' . L'angle de la similitude est droit .
2°) O est le milieu de [BD] donc O' est le milieu de [B'D'] , ce qui entraîne que G=D' .
3°) A' est le point d'intersection des droites ((A'B') et (A'C') . Or ( A'B')=(FC) et (A'C')=(BH) donc A'=B .
4°) O est le mieu de [AC] donc O' est le milieu de [A'C'] et alors H=C' .
5°) E est le milieu des diagonales [BH] et [FG] donc BFHG est un parallélogramme et il a un angle droit , c'est donc un rectangle .
6°) ABCD est un parallélogramme avec un angle droit c'est aussi un rectangle et les demi diagonales OB et OC sont égales .
J'espère que c'est plus clair
Imod
La conclusion du 3) donne plus rapidement le rectangle :
s(A) = A' = B
s(B) = B' = F
Donc (BF)
(AB).
Or (BF) =(BC).
Mais quelque chose m'échappe dans ce 3) :
Pourquoi (A'B')=(FC) et (A'C')=(BH) ?
Je ne cherchais pas forcément de conclure au plus vite , pris par le jeu il me fallait les images de chaque point .
Pour le point 3°) : (A'B') doit être perpendiculaire à (AB) et doit passer par F=B' . (AC) passe par O donc son image doit passer par O' en étant perpendiculaire à (AC) .
Imod
Bonjour
J'ai nettoyé mes lunettes ...
Connaissances Collége
y=mx+p
mm'=-1 si droites perpendiculaires
système d'équation à deux inconnues
symétrie centrale

@Imod,
Je te conseille d'utiliser une figure sans rectangle.
@PLSVU,
Oui, ça doit marcher.
J'y allais à reculons pour me lancer dans les calculs
Je vais regarder.
Bravo PLSVU pour ta persévérance dans ces calculs rebutants !
J'ai failli renoncer plusieurs fois...
Je trouve cette égalité à la fin : t(at+2b2) = 0.
Ne faudrait-il pas supposer les réels a, b et t positifs au départ ?
Quand j'aurai du temps, je tenterai la même chose avec un repère d'origine O le centre du parallélogramme.
Cette fois ci je crois que je l'ai
1°) On considère la similitude directe qui envoie O en E et B en F , on note comme toujours E=O' et F=B' . L'angle de la similitude est droit .
2°) O est le milieu de [BD] donc O' est le milieu de [B'D'] , ce qui entraîne que G=D' .
3°) (O'C') est perpendiculaire à ((OC) et (B'C') est perpendiculaire à (BC) donc H=C' .
4°) Comme A,O et C sont alignés , A',B' et C' sont aussi alignés .
5°) (AB) est perpendiculaire à (A'B') .
6°) (AD) donc (BC) est perpendiculaire à (A'D') .
7°) B est l'orthocentre du triangle A'B'C' .
8°) A' , B et D sont alignés donc A'=B .
9°) ABCD est un rectangle .
Il est assez facile de se perdre dans cet exercice
Imod
Comme tu parles d'orthocentre, je pense que ça peut être bon.
Mais j'ai du mal à partir du 3) :
C'est quoi H ?
Une coquille au 4) avec B' au lieu de O' ?
A', B', C' ne peuvent être alignés.
Oui A',B,C' et H=C' est défini sur le schéma non fonctionnel .
La démonstration n'est pas vraiment compliquée en tout cas les outils utilisés sont élémentaires . Par contre on a vite fait de "voir" des choses non établies un peu comme Dpi au début du fil ou moi un peu plus tard ce qui transforme l'exercice en numéro d'équilibriste .
En tout cas le problème est vraiment sympa , il y a peut-être des façons plus directe de l'aborder .
Imod
Je reviendrai plus tard regarder la suite de ta démonstration.
Je n'ai pas de réponse pour le moment mais depuis le début j'ai l'impression que E joue un rôle central , d'ailleurs la similitude choisie utilise ce point sans le dire . Sur la figure il y a une multitude de triangles semblables directement ou indirectement par exemple dans le triangle BHD , on peut donc penser qu'il n'est pas forcément judicieux d'en privilégier une . Je reste persuadé que cet exercice n'a pas tout dit et si je n'ai pas de réticence pour la version calculatoire , elle ne fait que confirmer le résultat sans l'expliquer .
Imod
Bonjour
dpi
oui puisque c'est une proprieté du triangle rectangle puisqu'il inscrit dans un deme cercle de diamétre l'hypothénuse
comme médiane = hypothénuse /2
Sylvieg
avec O=(0,0) on peut exprimeret constater qu'il n'est pas nul si ABCD est un parallelogramme ( une évidence)
ssi ABCD rectangle

@PLSVU,

Après avoir lu le post initial , je m'étais demandé s'il y avait un lien entre les deux questions . En bref , ça marche pour un rectangle , si je démontre qu'il y a une solution unique alors c'est un rectangle . Après il faut trouver une figure génératrice à extraire , j'avais fait quelques essais sans succès . Je pense avoir trouvé une approche sans doute perfectible en partant d'un triangle rectangle OBE . Il y a un seul parallélogramme ABCD qui convient et c'est un rectangle .
Les points noirs sont fixes et on déplace A sur la droite (OE) , le point C va suivre le mouvement et agrandir l'angle EBC et pendant ce temps F va s'éloigner de E en suivant la droite (IE) . Il y aura une seule rencontre .
Imod
Je n'ai pas encore regardé la construction de PLSVU mais mon argument de rencontre unique n'est pas correct , je vais voir si je peux le corriger .
Imod
Bonjour,
A partir de la construction du triangle GBF rectangle en B et en notant E le milieu de l'hypoténuse
le triangle rectangle BFG rectangle en B et le triangle EAB rectangle en E sont semblables ssi EB=kBG et un point A de la droite (GB) vérifie EA=kBF
tex]EA=BF\dfrac{EB}{BG}[/tex] et C=(BF)\cap(AC)[/tex]
J'ai regardé les dessins mais ce n'est pas ce que je cherchais . On a un parallélogramme et une construction qui doit aboutir à F sur (BC) . Il faudrait trouver une façon de bouger les points qui montrent que la solution est unique , ABCD serait alors un rectangle .
Imod
Imod`
voir image
ABCD parallelogramme G' symétrique de G n'appatient pas à (BC
E n rouge projection de D sur (AB )noté A1 et projection de C sur (AB) noté B' ==> A1B'CD est rectangle diagonale en rouge pperpendiculaire en rouge E1 en rouge F1 appartient à (B'C)
en bleu projection de A sur (DC) ==>D1 et projection de B sur ((DC) noté C1 ==>ABC1D1Ectangle et F2 appartient à (BC1)

Bonjour,
Je pense qu'une démonstration "pas trop compliquée" existe.
Pour tenter de vous inspirer de nouvelles idées, voici une figure épurée (sans point D) :
@PLSVU : tu montres simplement que ça marche pour un rectangle , c'est la réciproque qui est demandée
@Sylvieg : j'ai tendance à le croire de moins en moins . L'idée que j'avais en tête était de construire l'ensemble de la figure à partir d'un triangle rectangle bien choisi et d'un point variable et en enlevant une hypothèse on peut bien sûr opter pour le point D . Après il faut bien choisir le triangle et le point variable . Avec une animation tout fonctionne c'est à dire que l'hypothèse supprimée n'est réalisée que dans un seul cas donc quand ABCD est un rectangle mais je ne suis jamais complètement satisfait d'une "démonstration" à la Geogebra . Il reste sans doute des angles d'attaque que je n'ai pas encore envisagé
Imod
Vous devez être membre accéder à ce service...
Pas encore inscrit ?
1 compte par personne, multi-compte interdit !
Ou identifiez-vous :