Bonsoir à tous je bloque un peu dans cet ecercice et j'aimmerais un petit coup de main pour me corriger et m'aider sur cet exercice:
Resoudre dans R les inéquations suivantes
(i1) : 9x²-6x+1(4-12x) (4x+2)>3x+1
(i2) 7x+x <= (9x+5)(21x+3)-(7x+1)
(i3) 25x^3 +10x²+x>x(7x+3)²
(i4) (5x+1)/(4x+3) <= (10x+2)(7x-6)
(i5) ( 5/7x+1)- 2/(7x-1) < (4x²+21x-8)/(49x²-1)
(i1) : 9x²-6x+1(4-12x) (4x+2)>3x+1
<=>(3x-1)²+4(1-3x) (4x+2)-3x-1>0
<=>(3x-1) (3x-1)-4(3x-1) (4x+2)-(3x-1)>0
<=>(3x-1) [(3x-1)-4(4x+2)]>0
<=>(3x-1) (3x-1-16x-8) >0
<=>(3x-1) (13x-9)>0
<=>3x-1=0 13x-9=0
<=>3x=1 13x=9
<=>x=1/3 ou 9/13
voici le tableau de la 1

(i2) 7x+x <= (9x+5)(21x+3)-(7x+1))<=0
<=>x('7x+1)-3(9x+5)(7x+1)-(7x+1)<=0
<=>(7x+1) [x-3(9x+5)<=0
<=>(7x+1) (x-27x-15))<=0
<=>(7x+1) (-26x-15)<=0
<=>(7x+1) =0 ou (-26x-15 )=0
<=>7x=-1 ou -26x=15
<=>x=-1/7 ou x=15/-26

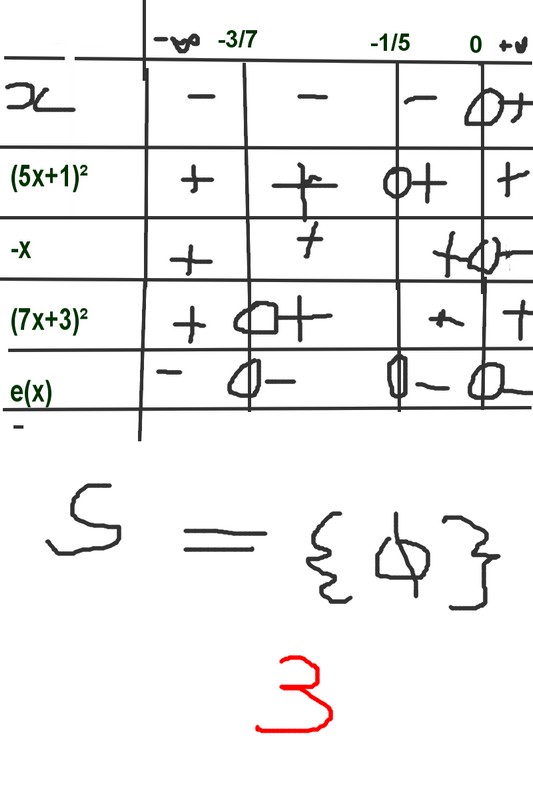
(i3) 25x^3 +10x²+x>x(7x+3)²
<=>x (25x²+10x+1) -x(7x+3) (7x+3) >0
<=>x (5x+1) (5x+1)-x(7x+3) (7x+3)>0
<=>x=0 ou 5x+1=0 ou 5x+1=0 ou -x=0 ou 7x+3=0 ou 7x+3=0
<=>x=0 ou x =-1/5 ou x=-1/5 ou -x=0 ou x=-3/7 ou x=-3/7

(i4) (5x+1)/(4x+3) <= (10x+2)(7x-6)
on recherche les valeurs interdites
4x+3=0 7x-6=0
<=>4x=-3 7x=6
<=>x=-3/4 x=6/7
<=>(5x+1) (7x-6)-(10x+2) (4x+3) / (4x+3= (7x-6) <=0
<=>(5x+1) (7x-6) - (10x+2) (4x+3) <=0
<=>(5x+1) (7x-6) -2(5x+1) (4x+3) <=0
<=>(5x+1) [(7x-6) -2 (4x+3) ]<0
<=>(5x+1) (-1x-12) <=0
<=>(5x+1) =0 ou -1x-12 =0
<=>5x=-1 ou -1x=12
<=>x =-1/5 ou x=-12

(i5) ( 5/7x+1)- 2/(7x-1) < (4x²+21x-8)/(49x²-1)
recherche des valeur interdites
<=>7x+1=0 7x-1=0
<=>7x=-1 7x=1
<=>x =-1/7 x =1/7
49x²-1=0
<=>(7x+1) (7x-1)=0
<=>7x+1=0 7x-1=0
<=>7x=-1 7x=1
<=>x =-1/7 x =1/7
<=>5-2 -4x²+21x-8) / (7x-1) (7x+1)
après je n'arrive pas à finir.....
merci d'avance à tous ceux qui m'apporteront un peu d'aide en esperant que la longueur du topic dû aux tableaux ne vous aura pas decouragé 
(i1) Tu as fait une erreur à la 3ème ligne de ton calcul.
(i2) Ne serait-ce pas 7x + 1 plutôt que 7x + x ?
merci Priam pour ta reponse
pour (i2) je l'ai mal recopier c'est:
7x²+x <= (9x+5)(21x+3)-(7x+1))<=0
c'est un oublis après je ne pense pas que cela influence le reste de mon calcul sauf erreur de ma part ?
pour (i1) j y regarde de suite 
pour (i2) cela ferais :
(i2) 7x²+x <= (9x+5)(21x+3)-(7x+1)
x(7x+1) -3(9x+5) (7x+1) - (7x+1)
(7x+1) [-3(9x+5) -7x-1]
(7x+1) (-27x-15-7x-1)
(7x+1) (34x-16) =0
7x+1=0 ou -34x-16=0
7x=-1 ou 34x=16
x= -1/7 ou x=16/34
est-ce correct ?
Pour i3
(i3) 25x^3 +10x²+x>x(7x+3)²
<=>x (25x²+10x+1) -x(7x+3) (7x+3) >0
<=>x (5x+1) (5x+1)-x(7x+3) (7x+3)>0
<=> x(5x+1)²-(7x+3²
x (5x+1) +(7x+9) (5x+1) - (7x+9)
x(5x+1+7x+9] [5x+1-7x-9]
x(12x+10) (-2x-8)
x=0 ou 12x+10 =0 ou -2x-8
x=0 ou 12x-10=0 ou -2x=8
x=0 ou x = -10/12 ou x = 8/-2
?
oui j'ai effectivement encore mal recopier l'equation de depart est
(i1) : 9x²-6x+1(4-12x) (4x+2)>3x-1
dans
<=>(3x-1)²+4(1-3x) (4x+2)-3x-1>0
<=>(3x-1) (3x-1)-4(3x-1) (4x+2)-(3x-1)>0
<=>(3x-1) [(3x-1)-4(4x+2)]>0
<=>(3x-1) (3x-1-16x-8) >0
<=>(3x-1) (13x-9)>0
<=>3x-1=0 13x-9=0
<=>3x=1 13x=9
<=>x=1/3 ou 9/13
l'erreur de signe est-elle toujour la ?
merci de prendre de ton temps pour m'aider 
Vous devez être membre accéder à ce service...
Pas encore inscrit ?
1 compte par personne, multi-compte interdit !
Ou identifiez-vous :