Inscription / Connexion Nouveau Sujet
Niveau première
Partager :

Sudoku Dérivée

Posté par
etienneths
02-02-21 à 15:49

Bonjour, j'ai un DM de Mathématique à rendre pour la semaine prochaine mais j'aimerais le faire aujourd'hui. Le probleme c'est que je ne comprend pas... Pouvez vous m'aider ? Merci d'avance

Sujet :
1. Soit f1 la fonction définie sur R par f1(x) = 2
Placer la valeur de f'1(−1) en Bc.
2. Soit f2 la fonction définie sur R par f2(x) = −3x + 2
Placer la valeur de f'2(−3) en Ce.
3. Soit f3 la fonction définie sur R \ {−2} par f3(x) =12x + 2
Placer la valeur de f'3(0) en Ii.
4. Soit f4 la fonction définie sur R par f4(x) = −2x^2 − 6x + 2
Placer la valeur de f'4(−2) en He.
5. Soit f5 la fonction définie sur R par f5(x) =−x + 3 / x + 1
Placer la valeur de f'5(0) en Eh.
6. Soit f6 la fonction définie sur R par f6(x) = (−2x + 3)^2
Placer la valeur de f'6(1) en Ai.
7. Soit f7 la fonction définie sur R∗ par f7(x) = x −2/x
Placer la valeur de f'7(1) en Bb.
8. Soit f8 la fonction définie sur R par f8(x) =1 / −x^2 + 2x − 4
Placer la valeur de f'8(1) en Ch.
9. Soit f9 la fonction définie sur R+ parf9(x) =−12(racine carré de)x + 6 / 2
Placer la valeur de f'9(1) en Gd.
10. Soit f10 la fonction définie sur R par f10(x) = (−x + 2)(x − 4)
Placer la valeur de f'10(3) en Ei.
11. Soit f11 la fonction définie sur R \ {1} par f11(x) =3x^2+ 1 / x − 1
Placer la valeur de f'11(0) en Ge.
12. Soit f12 la fonction définie sur R \ {−1} par f12(x) =4x^2+ 2x − 4 / 3x + 3
Placer la valeur de f'12(0) en Ci.

Posté par
etienneths
re : Sudoku Dérivée 02-02-21 à 15:50

J'ai oublier la photo !

Posté par
etienneths
re : Sudoku Dérivée 02-02-21 à 15:50

.

Sudoku Dérivée

Posté par
hekla
re : Sudoku Dérivée 02-02-21 à 15:57

Bonjour

Quel est le problème ?
On vous donne une fonction et on vous demande le nombre dérivé de cette fonction en un point.

si f est définie par f(x)= x^2+3\quad  f'(1)= 2\times 1=2  Vous placez ce nombre où on vous le dit

Il manque des parenthèses

Posté par
etienneths
re : Sudoku Dérivée 02-02-21 à 16:03

Je ne comprend pas bien comment je peut résoudre la première question, il n'y a pas d'inconnue dans la fonction f1...

Posté par
hekla
re : Sudoku Dérivée 02-02-21 à 16:07

Vous avez bien appris que la dérivée d'une fonction constante est la fonction nulle

Posté par
etienneths
re : Sudoku Dérivée 02-02-21 à 16:09

Je n'ai pas fais de cours ce chapitre encore, j'ai juste une fiche résumé sur les fonctions dérivées des fonctions usuelles... Si je comprend bien, je dois utiliser f(x) = K donc f'(x)=0 ?

Posté par
etienneths
re : Sudoku Dérivée 02-02-21 à 16:10

Mais ducoup, le chiffre entre parenthèse sert à quoi , ici a rien ? Mais pour les autres questions ça va m'être obligatoire de l'utilisé ?

Posté par
hekla
re : Sudoku Dérivée 02-02-21 à 16:10

Exactement  
Vous devez d'ailleurs avoir à côté  K\in\R pour bien montrer que c'est une constante

Posté par
hekla
re : Sudoku Dérivée 02-02-21 à 16:12

Pour une fonction constante quelle que soit  la valeur  le nombre dérivé vaut 0

Posté par
etienneths
re : Sudoku Dérivée 02-02-21 à 16:12

D'accord, je comprend mieux, j'essaye de le faire et je vous recontacte si je n'y arrive pas, Merci beaucoup !

Posté par
hekla
re : Sudoku Dérivée 02-02-21 à 16:19

D'accord
de rien

Posté par
etienneths
re : Sudoku Dérivée 02-02-21 à 16:36

Bon je ne comprend vraiment pas la 5...

Posté par
malou Webmaster
re : Sudoku Dérivée 02-02-21 à 16:42

Bonjour
j'ai l'impression qu'il manque des parenthèses...

attentionextrait de c_faq la FAQ du forum :

Q27 - Comment bien écrire une formule ?



pour la 5) cela doit être du type u/v dont la dérivée est ...

je laisse hekla t'aider

Posté par
hekla
re : Sudoku Dérivée 02-02-21 à 16:45

Quel est le texte  ? Il manque des parenthèses,   je penche pour  f_5(x)=\dfrac{-x+3}{x+1}

à moins que vous ayez vraiment voulu écrire f_5(x)=-x+\dfrac{3}{x}+1

Dans le premier cas  \left(\dfrac{u}{v}\right)'=\dfrac{u'v-v'u}{v^2}

Posté par
hekla
re : Sudoku Dérivée 02-02-21 à 16:46

Bonjour malou

Posté par
etienneths
re : Sudoku Dérivée 02-02-21 à 16:47

Excusez moi de ne pas avoir mis les parenthèse, oui exactement c'est bien la premiere solution que hekla a mise, je vais essayer ca. Pour la 6 j'ai essayer avec l'identité remarquable mais ca me donne 144x...

Posté par
hekla
re : Sudoku Dérivée 02-02-21 à 16:50

Pour la 6 deux possibilités  soit vous commencez par développer et ensuite vous dérivez

soit \left(u^2\right)'=2uu'

Posté par
etienneths
re : Sudoku Dérivée 02-02-21 à 16:50

Pour la 5 quelle est mon u, u', v et v' ? u=-x       u'=3       v=x et v'=1 ?

Posté par
hekla
re : Sudoku Dérivée 02-02-21 à 17:06

forme \dfrac{u}{v}   u est la fonction définie au numérateur  et v celle définie au dénominateur

  u(x)=-x+3 \quad v(x)=x+1

Posté par
etienneths
re : Sudoku Dérivée 02-02-21 à 17:15

Ok donc ici, u'(x)=-1 et v'(x)=1?

Posté par
hekla
re : Sudoku Dérivée 02-02-21 à 17:16

Bien sûr

Posté par
etienneths
re : Sudoku Dérivée 02-02-21 à 17:19

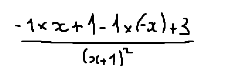
donc ((-1x(x)+1-1x(-x)+3) / (x+1)^2

Posté par
etienneths
re : Sudoku Dérivée 02-02-21 à 17:23

Donc maintenant il me reste juste à remplacer les x. Ce qui me donne 4 ! Enfin je croit

Posté par
hekla
re : Sudoku Dérivée 02-02-21 à 17:23

???? \dfrac{-1(x+1)-1(-x+3)}{(x+1)^2}

Posté par
etienneths
re : Sudoku Dérivée 02-02-21 à 17:28

Comme ca non ?

Sudoku Dérivée

Posté par
etienneths
re : Sudoku Dérivée 02-02-21 à 17:45

Mais bien sur, je suis débile, j'avais oublié les parenthèse, sur ma feuille aussi...

Posté par
hekla
re : Sudoku Dérivée 02-02-21 à 17:47

Non parce que  si vous supprimez les parenthèses  il faut changer tous les signes  

on a donc -x-1 pour la seconde + x-3

soit au total -x-1+x-3=-4

J'ai laissé tomber le dénominateur puisqu'il ne posait pas de problèmes

Posté par
hekla
re : Sudoku Dérivée 02-02-21 à 17:50

Non. Juste un manque d'attention

Posté par
etienneths
re : Sudoku Dérivée 02-02-21 à 17:51

Je comprend. Pour la 6 (si vous voulez toujours m'aider parce que ca fais long ) je fais (u^2)'=2uu' avec u=-2x+3 et u'=-2 ?

Posté par
hekla
re : Sudoku Dérivée 02-02-21 à 17:52

C'est bien

Posté par
etienneths
re : Sudoku Dérivée 02-02-21 à 17:54

donc ca me donne 2x(-2x+3)x-2

Posté par
hekla
re : Sudoku Dérivée 02-02-21 à 17:57

Oui et non  

Oui si l'on considère que x représente tantôt l'inconnue  tantôt le signe de multiplication  non dans l'autre cas

correctement  2*(-2x+3)*(-2)   à défaut de 2\times (-2x+3)\times (-2)

Posté par
etienneths
re : Sudoku Dérivée 02-02-21 à 18:02

D'accord, ok je vois. Pour la 7, j'ai fait :
f(x)=x donc f'(x)=1
et f(x)=1 / x  donc f'(x)= - 1 / x^2
Soit 1 + 2 / x^2

C'est bon ?

Posté par
hekla
re : Sudoku Dérivée 02-02-21 à 18:14


Oui  f'_7(x)=1+\dfrac{2}{x^2}

Posté par
etienneths
re : Sudoku Dérivée 07-02-21 à 10:43

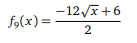
Bonjour ! Je n'ai toujours pas fini mon DM de math, je suis bloqué sur la question 9... :
(-12 racine carré de (x) +6) / 2

Posté par
hekla
re : Sudoku Dérivée 07-02-21 à 10:53

Bonjour

f_9(x)=-12\dfrac{\sqrt{x+6}}{2} est ce bien cela ?  Dans ce cas \dfrac{12}{2}=6

On aurait f_9(x)=-6\sqrt{x+6}


(\sqrt{u})'=\dfrac{u'}{2\sqrt{u}}

Posté par
etienneths
re : Sudoku Dérivée 07-02-21 à 10:57

Non, comme cela

Sudoku Dérivée

Posté par
hekla
re : Sudoku Dérivée 07-02-21 à 10:58

Pour 11 et 12  il manque peut-être les parenthèses

A-t-on bien

 f_{11}(x)=\dfrac{3x^2+1}{(x-1}\qquad f_{12}(x)=\dfrac{4x^2+2x-4}{3x+3} ?

Posté par
etienneths
re : Sudoku Dérivée 07-02-21 à 10:59

Oui, c'est comme cela pour f11 et f12

Posté par
hekla
re : Sudoku Dérivée 07-02-21 à 11:01

On commence donc par simplifier

-12\sqrt{x}+6 =6(-2\sqrt{x}+1)  donc f_9(x)=3(-2\sqrt{x}+1)

Posté par
hekla
re : Sudoku Dérivée 07-02-21 à 11:04

Pour 9 il n'est pas besoin de la formule écrite  car (\sqrt{x})'=\dfrac{1}{2\sqrt{x}}

Posté par
etienneths
re : Sudoku Dérivée 07-02-21 à 11:05

Comment passez vous de 6(-2racine de (x)+1) à 3(-2racine de (x)+1) ? De plus, je ne comprend pas comment dérivé cette fonction... J'ai regardé sur les propriétés mais je n'ai rien trouvé...

Posté par
hekla
re : Sudoku Dérivée 07-02-21 à 11:16

\dfrac{-12\sqrt{x}+6}{2}=\dfrac{6(-2\sqrt{x}+1)}{2}=3(-2\sqrt{x}+1)=-6\sqrt{x}+3

Sous cette dernière forme vous pourriez dériver plus facilement  il n'y a que la dérivée de x\mapsto \sqrt{x}

Posté par
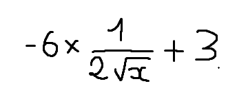
etienneths
re : Sudoku Dérivée 07-02-21 à 11:21

Donc la dérivée = -6x(1)/(2 racine carré de 1)+3.
Comme cela

Sudoku Dérivée

Posté par
hekla
re : Sudoku Dérivée 07-02-21 à 11:24

Non  la dérivée d'une fonction constante est la fonction nulle  

On peut simplifier  \dfrac{6}{2}

Posté par
etienneths
re : Sudoku Dérivée 07-02-21 à 11:27

Je suis vraiment désolé mais je ne comprend pas...

La dérivée de f'9(x)=6/2 simplement ?

Posté par
hekla
re : Sudoku Dérivée 07-02-21 à 11:33

Non la dérivée de x\mapsto -6\sqrt{x}  est  x\mapsto \dfrac{-3}{\sqrt{x}}

La dérivée de x\mapsto 3 est  x\mapsto 0

La dérivée d'une somme est la somme des dérivées d'où  f'_9(x)=

Posté par
etienneths
re : Sudoku Dérivée 07-02-21 à 11:40

f'9(x)=-3 / (racine carré de (x))

Posté par
hekla
re : Sudoku Dérivée 07-02-21 à 11:46

Oui f'_9(x)=\dfrac{-3}{\sqrt{x}}



Vous devez être membre accéder à ce service...

Pas encore inscrit ?

1 compte par personne, multi-compte interdit !

Ou identifiez-vous :


Rester sur la page

Inscription gratuite

Fiches en rapport

parmi 1760 fiches de maths

Désolé, votre version d'Internet Explorer est plus que périmée ! Merci de le mettre à jour ou de télécharger Firefox ou Google Chrome pour utiliser le site. Votre ordinateur vous remerciera !