Fiche de mathématiques
> >

Bac ES-L 2019

Nouvelle Calédonie

Partager :

Durée : 3 heures


5 points

exercice 1 : Commun à tous les candidats

Des professeurs d'éducation physique et sportive proposent à leurs élèves de terminale un cycle de demi-fond qui consiste à courir 3 fois 500 mètres.
Le temps cumulé obtenu à l'issue d'un cycle définit une note de performance notée sur 14 points.
Le barème est différent entre les garçons et les filles.
4 classes sont regroupées et 40% des élèves sont des filles.
60% des filles obtiennent une note de performance supérieure ou égale à 7 sur 14.

Les parties A, B et C sont indépendantes.

Partie A

On choisit un élève au hasard parmi les 120 élèves.
On note :
F l'évènement : « L'élève est une fille » ;
G l'évènement : « L'élève est un garçon » ;
M l'évènement : « La note de performance est supérieure ou égale à 7 sur 14 ».
Pour tout évènement E , on note \bar E l'évènement contraire de E et P (E ) sa probabilité. Pour tout évènement F de probabilité non nulle, on note P_ F (E ) la probabilité de E sachant que F est réalisé.
1. Construire un arbre de probabilités correspondant à cette situation.
2. Déterminer P (F \cap M).
3. Sachant que P (M) = 0,64, déterminer P (G \cap M) puis en déduire P_ G (M), arrondie au millième.
4. Sachant qu'une personne interrogée a obtenu une note de performance supérieure ou égale à 7 points sur 14, quelle est la probabilité que ce soit une fille ?

Partie B

On considère un groupe de 70 filles d'un autre établissement.
On note X la variable aléatoire qui compte le nombre de filles de ce groupe ayant une note de performance supérieure ou égale à 7 sur 14.
Les notes obtenues sont indépendantes les unes des autres.
On admet que X suit la loi binomiale de paramètres n = 70 et p = 0,6.
Calculer la probabilité arrondie au dix-millième qu'exactement 30 filles obtiennent une note de performance supérieure ou égale à 7.

Partie C

Cette épreuve permet de développer sa VMA (vitesse maximale aérobie) qui correspond à une vitesse de course rapide. L'unité de mesure de la VMA est le km/h.
On choisit un élève au hasard parmi les 120 élèves.
On admet que la VMA d'un élève pris au hasard est modélisée par une variable aléatoire Y qui suit la loi normale d'espérance  \mu = 11,8 et d'écart type \sigma = 1,2.
1. Quelle est la probabilité arrondie à 10^{-3} , qu'un élève de terminale de ce lycée ait une VMA comprise entre 10 et 13 km/h ?
2. Déterminer la valeur arrondie au dixième de \alpha tel que P (Y \le \alpha) = 0,8. Interpréter cette valeur dans le contexte de l'exercice.

5 points

exercice 2 : Commun à tous les candidats


Cet exercice est un questionnaire à choix multiples.
Pour chacune des questions posées, une seule des quatre réponse est exacte.
Une réponse exacte rapporte 0,75 point, une réponse fausse, une réponse multiple ou l'absence de réponse ne rapporte ni n'enlève de point.
Aucune justification n'est demandée.
Indiquer sur la copie le numéro de la question et recopier la lettre de la réponse choisie.

Partie A

1. Soit f la fonction continue et dérivable sur ]0 ; + infini[ définie par f(x)=\dfrac{\ln x}{x}.
La valeur exacte de f'(\text{e}) est :

\begin{matrix} \textbf{a}. 0 \ \ \ \ \ \ \ \ \ \ \ \ \ \ \  \ \ \ \  &\textbf c. 1 \\ \textbf b. \dfrac{1}{\text e}\ \ \ \ \ \ \ \ \ \ \ \ \ \ \ \ \ \ \ & \textbf d.\text e^2 \end{matrix}

2. Entre janvier 2005 et décembre 2012, le prix hors taxe du tarif réglementé du gaz a augmenté de 80%.
Quel est le taux annuel d'augmentation du prix du gaz sur la même période arrondi à 0,01% ?

\begin{matrix} \textbf{a}. 10\% \ \ \ \ \ \ \ \ \  \ \ \ \  &\textbf c. 6,75\% \\ \textbf b. 7,62\% \ \ \ \ \ \ \ \ \ \ & \textbf d. 8,76\% \end{matrix}

3. Soit (u _n ) la suite géométrique de raison q = 1,05 et de premier terme u _1 = 3.
La valeur exacte de S = u_1 + u_2 + u_3 +\dots + u_{49} est égale à :

\begin{matrix} \textbf{a}. S=\dfrac{1-1,05^{49}}{1-1,05} \ \ \ \ \  &\textbf c. 595,280 \\ \ \ \ \ \   \ \textbf b. S=3\times \dfrac{1+1,05^{49}}{1+1,05} \ \ \ \ \ \ \ \  \ \ \ & \textbf d. S=3\times \dfrac{1-1,05^{49}}{1-1,05} \end{matrix}


4. Lors du passage en caisse dans un supermarché, on considère que le temps d?attente d'un client, exprimé en minute, suit la loi uniforme sur l'intervalle [0 ; 12].
Quelle est la probabilité que le temps d'attente d'un client soit compris entre 2 et 5 minutes ?

\begin{matrix} \textbf{a}. \dfrac 1 4 \ \ \ \ \ \ \ \ \  \ \ \ \  &\textbf c. \dfrac{1}{12} \\ \\ \textbf b. \dfrac{7}{12}\ \ \ \ \ \ \ \ \ \  \ \ \ & \textbf d.\dfrac 1 3  \end{matrix}


Partie B

Pour chacune des affirmations suivantes, dire si elle est vraie ou fausse et justifier.
Une réponse exacte justifiée rapporte 1 point, une réponse fausse, non justifiée ou l'absence de réponse ne rapporte ni n'enlève aucun point.
1. Lors d'une élection, un candidat sollicite un institut de sondage pour qu'il détermine un intervalle de confiance au niveau de confiance 0,95 de la proportion des intentions de vote en sa faveur.

Affirmation 1 : Afin que cet intervalle ait une amplitude inférieure ou égale à 0,02, l'institut de sondage doit interroger au minimum 10 000 personnes.

2. On considère une variable aléatoire X suivant une loi normale de moyenne 6.
On donne ci-dessous la courbe qui représente la densité f associée à la variable aléatoire X .
La partie grisée vaut 0,95 unité d'aire.
Bac ES-L obligatoire Nouvelle Calédonie 2019 : image 5

Affirmation 2 : L'écart type de X est égal à 6.

5 points

exercice 3 : Candidats de ES n'ayant pas suivi l'enseignement de spécialité et candidats de L

Une colonie de vacances héberge des enfants dans des tentes de 10 places chacune. Pendant l'été 2017, 160 enfants ont participé à cette colonie.
À la suite d'une étude prévisionnelle, on estime que, chaque année, 80% des enfants déjà inscrits se réinscrivent l'année suivante et 50 nouveaux enfants les rejoignent.
1. a. Donner une estimation du nombre d'enfants inscrits à l'été 2018.
1. b. Donner le nombre minimal de tentes nécessaire pour loger l'ensemble des inscrits pendant l'été 2018.

2. Soit (u n ) la suite numérique qui modélise le nombre d'inscrits lors de l'année 2017 + n. Ainsi u_0 = 160.
Expliquer pourquoi, pour tout entier naturel n, on a : u_{n+1} = 0,8_n + 50.

3. Voici la copie d'écran d'une feuille de tableur utilisée pour déterminer les valeurs des termes de la suite.
Bac ES-L obligatoire Nouvelle Calédonie 2019 : image 3

3. a. Quelle formule peut-on saisir dans la cellule C2 pour obtenir, par recopie vers la droite, le nombre d'inscrits l'année 2017 + n ?
3. b. Recopier et compléter ce tableau en arrondissant chacune des valeurs à l'entier.
3. c. Donner une estimation du nombre d'inscrits en 2021.

4. Soit (v_n ) la suite numérique dont le terme général est défini par v_n = u_n - 250 pour tout n appartient N .
4. a. Montrer que la suite  (v_n ) est géométrique de raison 0,8 et préciser son terme initial.
4. b. Exprimer v_n en fonction de n, pour tout entier naturel n.
4. c. Montrer que, pour tout n appartient N , u _n = 250 - 90 × 0,9 ^n .
4. d. Déterminer la limite de la suite (u_n ). Interpréter ce résultat dans le contexte de l'exercice.

5. En 2017, la colonie comptait 22 tentes.
Afin de déterminer à partir de quelle année il sera nécessaire de construire une nouvelle tente, on propose l'algorithme ci-dessous :
Bac ES-L obligatoire Nouvelle Calédonie 2019 : image 2

5. a. Recopier et compléter cet algorithme afin qu'il permette de répondre au problème.
5. b. Quelle est la valeur de N obtenue après exécution de cet algorithme ?

5 points

exercice 4 : Commun à tous les candidats

On considère la fonction f définie et dérivable sur [-2 ; 6] dont la courbe représentative \mathcal C est donnée ci-dessous.
Le point A de coordonnées (0 ; 3) est l'unique point d'inflexion de la courbe \mathcal C sur l'intervalle [-2 ; 6].
La droite \mathcal Test la tangente à la courbe \mathcal C au point A.
La courbe \mathcal C admet une tangente horizontale au point B d'abscisse -1.
Bac ES-L obligatoire Nouvelle Calédonie 2019 : image 1


Partie A

En utilisant le graphique, répondre aux questions suivantes :
1. Déterminer f (0).
2. Déterminer f ' (0). En déduire une équation de la tangente à la courbe C au point A.
3. Déterminer le signe de f ' sur [-2 ; 6].
4. Donner la convexité de f sur [-2 ; 6].
5. Donner un encadrement par deux entiers consécutifs de I =\int_{-1}^0 f(x) \,\text d x

Partie B

La fonction f est définie par f (x) = (x + 2) e^{-x} + 1 pour tout x appartient [-2 ; 6].
1. Déterminer la valeur exacte de f (6) puis en donner la valeur arrondie au centième.
2. Montrer que, pour tout x appartient [-2 ; 6],  f ' (x) = (-x - 1) e^{-x }.
3. Étudier le signe de f' sur [-2 ; 6] puis donner le tableau des variations de f sur [-2 ; 6].
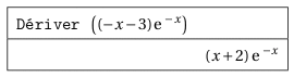
4. Un logiciel de calcul formel donne l'information suivante :
Bac ES-L obligatoire Nouvelle Calédonie 2019 : image 4

4. a. Déterminer une primitive de f sur [-2 ; 6].
4. b. Calculer la valeur moyenne de f sur [-1 ; 0]. On donnera sa valeur exacte puis sa valeur arrondie au dixième.




Bac ES-L obligatoire Nouvelle Calédonie 2019

Partager :



5 points

exercice 1 : Commun à tous les candidats

Partie A

1.  Arbre de probabilités correspondant à la situation.
Bac ES-L obligatoire Nouvelle Calédonie 2019 : image 9


{\red{2.\ }}\ P(F\cap M)=P(F)\times P_F(M) \\\phantom{{\red{2.\ }}\ P(F\cap M)}=0,4\times0,6 \\\phantom{{\red{2.\ }}\ P(F\cap M)}=0,24 \\\\\Longrightarrow\boxed{P(F\cap M)=0,24}

3.   Nous savons que P (M ) = 0,64.
En utilisant la formule des probabilités totales, nous obtenons :
\overset{.}{P(M)= P(F\cap M)+P(G\cap M)} \Longleftrightarrow0,64=0,24+P(G\cap M)  \\\phantom{\overset{.}{P(M)= P(F\cap M)+P(G\cap M)} }\Longleftrightarrow P(G\cap M) =0,64-0,24 \\\phantom{\overset{.}{P(M)= P(F\cap M)+P(G\cap M)} }\Longleftrightarrow \boxed{P(G\cap M) =0,4} \\\\\\P(G\cap M) =0,4\Longleftrightarrow P(G)\times P_G(M)=0,4 \\\phantom{P(G\cap M) =0,4}\Longleftrightarrow 0,6\times P_G(M)=0,4 \\\\\phantom{P(G\cap M) =0,4}\Longleftrightarrow P_G(M)=\dfrac{0,4}{0,6} \\\\\phantom{P(G\cap M) =0,4}\Longleftrightarrow\boxed{P_G(M)=\dfrac{2}{3}\approx0,667}

4.   Nous devons calculer P_M(F).

P_M(F)=\dfrac{P(F\cap M)}{P(M)} =\dfrac{0,24}{0,64}=0,375. \\\\\Longrightarrow\boxed{P_M(F)=0,375}

Par conséquent, sachant qu'une personne interrogée a obtenu une note de performance supérieure ou égale à 7 points sur 14, la probabilité que ce soit une fille est égale à 0,375.

Partie B

X   suit la loi binomiale de paramètres n = 70 et p = 0,6.
Nous devons calculer P (X = 30).

P(X=30)=\begin{pmatrix}70\\30\end{pmatrix}\times0,6^{30}\times(1-0,6)^{70-30} \\\phantom{P(X=30)}=\begin{pmatrix}70\\30\end{pmatrix}\times0,6^{30}\times0,4^{40} \\\phantom{P(X=30)}\approx0,00147923... \\\\\Longrightarrow\boxed{P(X=30)\approx0,0015}

D'où la probabilité qu'exactement 30 filles obtiennent une note de performance supérieure ou égale à 7 est environ égale à 0,0015 (valeur arrondie au dix-millième).

Partie C

On modélise la VMA d'un élève pris au hasard par une variable aléatoire Y   qui suit la loi normale d'espérance
mu = 11,8 et d'écart-type sigma = 1,2.

1.   Par la calculatrice, nous obtenons   P(10\le Y\le13)\approx0,775.
D'où la probabilité qu'un élève de terminale de ce lycée ait une VMA comprise entre 10 et 13 km/h est environ égale à 0,775 (arrondie à 10-3).

2.   Nous devons trouver la valeur de alpha vérifiant la relation P (Y infegal alpha ) = 0,8.
Par la calculatrice, nous obtenons   \overset{.}{P(Y\le \alpha)=0,8\Longrightarrow \alpha\approx12,8.}
Par conséquent, la probabilité qu'un élève de terminale de ce lycée ait une VMA inférieure ou égale
à 12,8 km/h est égale à 0,8
ce qui revient à dire que 80 % des élèves de terminale de ce lycée ont une VMA inférieure ou égale à 12,8 km/h.

5 points

exercice 2 : Commun à tous les candidats

Partie A


{\red{\text{1. }}\blue{\mathbf{a.}\ 0}

f'(x)=\left(\dfrac{\ln x}{x}\right)'=\dfrac{(\ln x)\times x-\ln x\times x'}{x^2} \\\\\phantom{f'(x)=\left(\dfrac{\ln x}{x}\right)'}=\dfrac{\dfrac{1}{x}\times x-\ln x\times 1}{x^2} \\\\\phantom{f'(x)=\left(\dfrac{\ln x}{x}\right)'}=\dfrac{1-\ln x}{x^2} \\\\\Longrightarrow\boxed{f'(x)=\dfrac{1-\ln x}{x^2}} \\\\\text{D'où }\ f'(\text{e})=\dfrac{1-\ln \text{e}}{\text{e}^2}=\dfrac{1-1}{\text{e}^2}=0\Longrightarrow\boxed{f'(\text{e})=0}

{\red{\text{2. }}\blue{\mathbf{b.}\ 7,62\%}

Une augmentation de 80% correspond à un coefficient multiplicateur de 1 + 0,8 = 1,8.
Entre janvier 2005 et décembre 2012, 8 années se sont écoulées.
Soit t  le taux annuel d'augmentation du prix du gaz (en pourcentage).
Nous obtenons alors :

(1+\dfrac{t}{100})^8=1,8\Longleftrightarrow1+\dfrac{t}{100}=1,8^{\frac{1}{8}} \\\\\phantom{4\times(1+\dfrac{t}{100})^7=15}\Longleftrightarrow\dfrac{t}{100}=1,8^{\frac{1}{8}}-1 \\\\\phantom{4\times(1+\dfrac{t}{100})^7=15}\Longleftrightarrow t=100\times(1,8^{\frac{1}{8}}-1) \\\phantom{4\times(1+\dfrac{t}{100})^7=15}\Longrightarrow\boxed{t\approx7,62}

{\red{\text{3. }}\blue{\mathbf{d.}\ S=3\times\dfrac{1-1,05^{49}}{1-1,05}}

Nous appliquons simplement la formule de la somme S   de termes consécutifs d'une suite géométrique de raison q   différente de 1.

S=\text{premier terme}\times\dfrac{1-\text{raison}^{\text{nombre de termes}}}{1-\text{raison}} \\\\\Longrightarrow\boxed{S=3\times\dfrac{1-1,05^{49}}{1-1,05}}

{\red{\text{4. }}\blue{\mathbf{a.}\ \dfrac{1}{4}}

Le temps d'attente d'un client, exprimé en minute, suit la loi uniforme sur l'intervalle [0 ; 12]
Soit T   la variable aléatoire exprimant le temps d'attente d'un client.
L'intervalle [2 ; 5] est inclus dans l'intervalle [0 ; 12].

\text{D'où }\ P(2\le T\le5)=\dfrac{5-2}{12-0}=\dfrac{3}{12}=\boxed{\dfrac{1}{4}}

Partie B


{\red{\text{1. }}\blue{\mathbf{Affirmation\ vraie }}

Un intervalle de confiance au niveau de confiance à 95% de la proportion des intentions de vote en sa faveur dans un échantillon de taille n   est de la forme   \overset{.}{[f-\dfrac{1}{\sqrt{n}}\,;f+\dfrac{1}{\sqrt{n}}]}   où f est la fréquence observée.
L'amplitude de cet intervalle est  (f+\dfrac{1}{\sqrt{n}})-(f-\dfrac{1}{\sqrt{n}})=f+\dfrac{1}{\sqrt{n}}-f+\dfrac{1}{\sqrt{n}}=\boxed{\dfrac{2}{\sqrt{n}}}
Cette amplitude doit être inférieure ou égale à 0,02.

\text{Donc }\ \dfrac{2}{\sqrt{n}}\le0,02\Longleftrightarrow\dfrac{\sqrt{n}}{2}\ge\dfrac{1}{0,02} \\\\\phantom{\text{Donc }\ \dfrac{2}{\sqrt{n}}\le0,02}\Longleftrightarrow\sqrt{n}\ge\dfrac{2}{0,02} \\\phantom{\text{Donc }\ \dfrac{2}{\sqrt{n}}\le0,02}\Longleftrightarrow\sqrt{n}\ge100 \\\phantom{\text{Donc }\ \dfrac{2}{\sqrt{n}}\le0,02}\Longleftrightarrow \boxed{n\ge10\ 000}

Par conséquent, l'institut de sondage doit interroger au minimum 10 000 personnes.

{\red{\text{2. }}\blue{\mathbf{Affirmation\ fausse }}

Si une variable aléatoire X   suit la loi normale d'espérance mu et d'écart-type sigma, alors nous savons que   \overset{.}{P(\mu-2\sigma \le X\le\mu+2\sigma)\approx0,95}
Nous savons par l'énoncé que la variable aléatoire X   suit une loi normale de moyenne mu = 6.
Donc  \overset{.}{P(6-2\sigma \le X\le6+2\sigma)\approx0,95}.
Or nous savons également que la partie grisée vaut 0,95 unité d'aire, soit que   P(0\le X\le12)=0,95.
\overset{.}{\left\lbrace\begin{matrix}P(6-2\sigma \le X\le6+2\sigma)\approx0,95\\P(0\le X\le12)\approx0,95\ \ \ \ \ \ \ \ \ \ \ \ \end{matrix}\right.\Longrightarrow\left\lbrace\begin{matrix}6-2\sigma =0\\6+2\sigma =12\end{matrix}\right.\Longrightarrow2\sigma=6\Longrightarrow\boxed{\sigma=3}}

Par conséquent, l'écart-type de X   n'est pas égal à 6.

5 points

exercice 3 : Candidats de ES n'ayant pas suivi l'enseignement de
                                spécialité et candidats de L

1. a.   Pendant l'été 2017, 160 enfants ont participé à cette colonie.
80% des enfants se réinscriront en 2018, soit 0,8 multiplie 160 = 128 enfants.
A ces 128 enfants, s'ajoutent 50 nouveaux enfants.
128 + 50 = 178
D'où en été 2018, il y aura 178 enfants.

1. b.   Les enfants sont hébergés dans des tentes de 10 places chacune.
          \overset{.}{\dfrac{178}{10}=17,8.}
Donc 18 tentes au minimum seront nécessaires pour loger l'ensemble des inscrits pendant l'été 2018.

2.   un   représente le nombre d'inscrits lors de l'année 2017 + n.
80% des enfants se réinscriront en 2017 + (n   + 1), soit 0,8 multiplie un.
A ces enfants, s'ajoutent 50 nouveaux enfants.
D'où en été 2017 + (n   + 1), il y aura 0,8 multiplie un + 50 enfants.
Puisque un + 1 représente le nombre d'inscrits lors de l'année 2017 + (n + 1), nous en déduisons que \boxed{u_{n+1}=0,8\times u_n+50}

3. a.   Dans la cellule C2, nous pouvons entrer la formule suivante :  \boxed{{\red{=0,8*B2+50}}}

3. b.   Tableau complété :

Bac ES-L obligatoire Nouvelle Calédonie 2019 : image 7


3. c.   Le rang correspondant à l'année 2021 est n = 4 car 2021 = 2017 + 4.
Le tableau nous indique que u4 = 213.
Par conséquent, nous pouvons estimer que 213 enfants sont inscrits en 2021.

4.   Soit la suite (vn  ) définie  v_n=u_n-250\ \ \ (n\in\N)

4. a.   Montrons que la suite (vn  ) est géométrique.

v_{n+1}=u_{n+1}-250 \\\phantom{v_{n+1}}=(0,8\times u_n+50)-250 \\\phantom{v_{n+1}}=0,8\times u_n-200 \\\phantom{v_{n+1}}=0,8\times u_n-0,8\times 250 \\\phantom{v_{n+1}}=0,8\times (u_n-250) \\\phantom{v_{n+1}}=0,8\times v_n \\\\\Longrightarrow\boxed{v_{n+1}=0,8\times v_n} \\\\\text{N. B. :}\ v_0=u_0-250=160-250=-90\Longrightarrow\boxed{v_0=-90}
Par conséquent, la suite (vn  ) est une suite géométrique de raison q = 0,8 dont le premier terme est v0 = -90.

4. b.   Le terme général de la suite (vn  ) est donné par v_n=v_0\times q^n.
Donc \overset{.}{\boxed{v_n=-90\times 0,8^n}}}

4. c.   Nous déduisons des questions précédentes que

v_n=u_n-250\Longleftrightarrow u_n=250+v_n \\\phantom{v_n=u_n-250}\Longleftrightarrow\boxed{ u_n=250-90\times0,8^n}

{\red{4.\ \text{d.}}}\ \ 0<0,8<1\Longrightarrow\lim\limits_{n\to+\infty}0,8^{n}=0\\\\\phantom{{\red{4.\ \text{d.}}}\ \ 0<0,8<1}\Longrightarrow\lim\limits_{n\to+\infty}(-90\times0,8^{n})=0 \\\\\phantom{{\red{4.\ \text{d.}}}\ \ 0<0,8<1}\Longrightarrow\lim\limits_{n\to+\infty}(250-90\times0,8^{n})=250 \\\\\phantom{{\red{4.\ \text{d.}}\ \ 0<0,8<1}}\Longrightarrow\boxed{\lim\limits_{n\to+\infty}u_n=250}
A long terme, le nombre d'enfants inscrits sera proche de 250.

5. a.   Algorithme complété :

                             \begin{array}{|c|}\hline U\longleftarrow160\ \ \ \ \ \ \ \ \ \ \ \ \ \ \ \ \ \\N\longleftarrow0\ \ \ \ \ \ \ \ \ \ \ \ \ \ \ \ \ \ \ \ \ \\\text{Tant que  }{\red{U<220}}\ \ \text{faire} \\\ \ \ \ \ \ \ U\longleftarrow 0,8U+50\\\ \ \ N\longleftarrow{\red{N+1}}\ \  \\\text{Fin Tant que}\ \ \ \ \ \ \ \ \ \ \ \ \ \  \\\hline\end{array}

5. b.   Le tableau figurant dans la question 3 nous indique que u  4 = 213 < 220 et que u  5 = 221 > 220.
Par conséquent, après exécution de cet algorithme, la valeur de N   est N   = 5.

5 points

exercice 4 : Commun à tous les candidats

Partie A

1.   Le point A de coordonnées (0 ; 3) est un point de la courbe \mathscr{C}.
D'où f  (0) = 3.

2.   La droite T  est la tangente à la courbe   \mathscr{C}   au point A(0 ; 3).
Donc le coefficient directeur de cette droite T est f' (0).
Or la droite T passe par les points A(0 ; 3) et B(3 ; 0).
Son coefficient directeur est égal à   \overset{.}{\dfrac{y_B-y_A}{x_B-x_A}=\dfrac{0-3}{3-0}=\dfrac{-3}{3}=-1}
D'où f' (0) = -1.
Puisque le coefficient directeur de la droite T   est -1 et que son ordonnée à l'origine est 3, l'équation de la droite T   tangente à la courbe  \mathscr{C}   au point A est y   = -x   + 3.

3.   Par une lecture graphique, la croissance de la fonction f   nous permet d'établir le tableau de signes de f'  (x  ) suivant :

                                     \begin{array}{|c|ccccc|}\hline x&-2&&-1&&6 \\\hline &&&\rightarrow&&&f(x)&&\nearrow&& \searrow&\\&&&&&\\\hline {\red{f'(x)}}&&{\red{+}}&{\red{0}}&{\red{-}}& \\\hline \end{array}

D'où f'   supegal 0 sur l'intervalle [-2 ; -1]
           f'   infegal 0 sur l'intervalle [-1 ; 6]


4.   L'unique point d'inflexion de la courbe  \mathscr{C}   sur l'intervalle [-2 ; 6] est le point A de coordonnées (0 ; 3).
Par une lecture graphique, nous obtenons la convexité suivante :
La fonction f   est   concave sur l'intervalle [-2 ; 0]
                                          convexe sur l'intervalle [0 ; 6]


5.   La fonction f   est continue et positive sur l'intervalle [-1 ; 0].

Dans ce cas,  \int\limits_{-1}^0f(x)\,dx   représente l'aire de la surface comprise entre la courbe  \mathscr{C}  , l'axe des abscisses et les droites d'équation x   = -1 et x   = 0.
La figure ci-dessous montre que cette aire est comprise entre les aires des deux rectangles colorés d'aires respectives 3 et 4 unités d'aire.

                             
Bac ES-L obligatoire Nouvelle Calédonie 2019 : image 8


Par conséquent,  \boxed{3<\int\limits_{-1}^0 f(x)\,dx<4}

Partie B


f(x)=(x+2)\,\text{e}^{-x}+1\ \ \ \ \text{où }\ x\in[-2\,;6].

1.   \boxed{f(6)=8\,\text{e}^{-6}+1\approx1,02}

2.  Calcul de f'  (x ).

f'(x)=[(x+2)\,\text{e}^{-x}]'+1' \\\phantom{g'(x)}=(x+2)'\,\text{e}^{-x}+(x+2)\,(\text{e}^{-x})'-0 \\\phantom{g'(x)}=1\times\,\text{e}^{-x}+(x+2)\,(-x)'\text{e}^{-x} \\\phantom{g'(x)}=\text{e}^{-x}+(x+2)\,\times(-1)\times\text{e}^{-x} \\\phantom{g'(x)}=\text{e}^{-x}-(x+2)\,\text{e}^{-x} \\\phantom{g'(x)}=(1-x-2)\,\text{e}^{-x} \\\phantom{g'(x)}=(-x-1)\,\text{e}^{-x} \\\\\Longrightarrow\boxed{f'(x)=(-x-1)\,\text{e}^{-x}}

3.   Pour tout réel x , nous savons que e-x > 0.
Donc le signe de f' (x ) est le signe de (-x - 1).

-x - 1 < 0 equivaut x > -1.
-x - 1 = 0 equivaut x = -1.
-x - 1 > 0 equivaut x < -1.

D'où le tableau de signes de f'  (x ) et le tableau de variations de la fonction f   sur l'intervalle [-2 ; 6].

                         \begin{array}{|c|ccccc|}\hline&&&&&&x&-2&&-1&&6\\&&&&& \\\hline x-1&&+&0&-&\\\hline&&&&&& f'(x)&&+&0&-&\\&&&&&\\\hline \end{array}

\underline{\text{Calculs préliminaires }}\\\\f(-2)=(-2+2)\,\text{e}^{2}+1=0+1=1\\\\f(-1)=(-1+2)\,\text{e}^{1}+1=\text{e}+1\approx3,72\\\\f(6)=8\,\text{e}^{-6}+1\approx1,02\ \ \ (\text{voir question 1.})\ \ \ \ \ \ \ \ \ \\\\\underline{\text{Tableau de variations de la fonction }f\ \text{sur  }[-2\,;6] }\\ \\\phantom{.........}\begin{array}{|c|ccccc|}\hline&&&&&&x&-2&&-1&&6\\&&&&& \\\hline f'(x)&&+&0&-&\\\hline&&&\text{e}+1\approx3,72&&& g(x)&&\nearrow&&\searrow&\\&1&&&&8\,\text{e}^{-6}+1\approx1,02\\\hline \end{array}

4. a.   Le logiciel de calcul formel nous indique que  \left(\overset{}{(-x-3)\,\text{e}^{-x}}\right)'=(x+2)\,\text{e}^{-x}
Dès lors, nous déduisons que  \left(\overset{}{(-x-3)\,\text{e}^{-x}}+x\right)'=(x+2)\,\text{e}^{-x}+1\Longrightarrow\boxed{\left(\overset{}{(-x-3)\,\text{e}^{-x}}+x\right)'=f(x)}

Si F   est la fonction définie sur [-2 ; 6] par   F(x)=(-x-3)\,\text{e}^{-x}}+x  , alors  F'(x) = f(x).
Par conséquent, une primitive de la fonction f   sur [-2 ; 6] est la fonction F   définie sur [-2 ; 6] par   \overset{.}{\boxed{F(x)=(-x-3)\,\text{e}^{-x}+x}}

4. b.   La valeur moyenne mu de la fonction f  sur l'intervalle [-1 ; 0] est donnée par

\mu=\dfrac{1}{0-(-1)}\int\limits_{-1}^{0}f(x)\,dx =\int\limits_{-1}^{0}f(x)\,dx \\\\\phantom{\mu}=\left[\overset{}{F(x)}\right]\limits_{-1}^{0}=\left[\overset{}{(-x-3)\,\text{e}^{-x}+x}\right]\limits_{-1}^{0} \\\\\phantom{\mu}=\left(\overset{}{(0-3)\,\text{e}^{0}+0}\right)-\left(\overset{}{(1-3)\,\text{e}^{1}-1}\right) \\\\\phantom{\mu}=-3+2\,\text{e}+1=2\,\text{e}-2 \\\\\Longrightarrow\boxed{\mu=2\,\text{e}-2\approx3,4}

D'où la valeur moyenne de la fonction f   sur l'intervalle [-1 ; 0] est mu = 2e - 2, soit environ 3,4.
Publié le
ceci n'est qu'un extrait
Pour visualiser la totalité des cours vous devez vous inscrire / connecter (GRATUIT)
Inscription Gratuite se connecter
Merci à
Hiphigenie
/
malou Webmaster
pour avoir contribué à l'élaboration de cette fiche


Vous devez être membre accéder à ce service...

Pas encore inscrit ?

1 compte par personne, multi-compte interdit !

Ou identifiez-vous :


Rester sur la page

Inscription gratuite

Fiches en rapport

parmi 1768 fiches de maths

Désolé, votre version d'Internet Explorer est plus que périmée ! Merci de le mettre à jour ou de télécharger Firefox ou Google Chrome pour utiliser le site. Votre ordinateur vous remerciera !