Fiche de mathématiques
> >

Bac sciences mathématiques (série A et B) - Maroc 2019

Partager :

INSTRUCTIONS GENERALES


Les exercices peuvent être traités selon l'ordre choisi par le candidat.

L'usage de la calculatrice n'est pas autorisé.
L'usage de la couleur rouge n'est pas autorisé.

COEFFICIENT : 9

DURÉE : 4HEURES



Bac (A et B) Maroc 2019 : image 5
Bac (A et B) Maroc 2019 : image 2

Bac (A et B) Maroc 2019 : image 1
Bac (A et B) Maroc 2019 : image 4
Bac (A et B) Maroc 2019 : image 3





Bac sciences mathématiques (série A et B) - Maroc 2019

Partager :
3,5 points

exercice 1

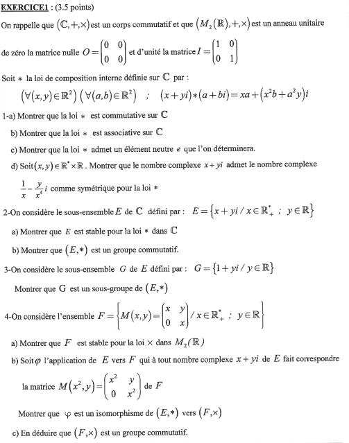
On définit sur \mathbb{C} la loi de composition interne \ast par :

\forall (x,y)\in\mathbb{R}^2 \text{ , } \forall (a,b)\in\mathbb{R}^{2} \text{  : } (x+iy)\ast (a+ib)=xa+(x^2b+a^2 y)i

1-a) Soient z, z^{'}\in\mathbb{C} \text{ tels que : } z=x+iy \text{ et }z^{'}=a+ib \text{ avec } a,b,x,y\in \mathbb{R}

\begin{array}{cl}\text{ On a : }z\ast z^{'}&= (x+iy)\ast (a+ib) \\\\ &=  xa+(x^2b+a^2 y)i \\\\&= ax+(a^{2} y+x^{2} b)i  \\\\&=(a+ib)\ast (x+iy) \\\\& =z^{'}\ast z \end{array}

On conclut que :
\boxed{ \text{ La loi }\ast \text{ est commutative dans } \mathbb{C}}


1-b) Soient z, z^{'}, z^{''}\in\mathbb{C} \text{ tels que : } z=x+iy \text{ , }z^{'}=a+ib ,  \text{ et }z^{''}=\alpha+i\beta \text{ avec } a,b,x,y,\alpha,\beta\in \mathbb{R}

Il suffit de vérifier que (z\ast z^{'})\ast z^{''} = z\ast(z^{'}\ast z^{''})

\begin{array}{cl}\text{ On a : }(z\ast z^{'})\ast z^{''}&=((x+iy)\ast (a+ib))\ast(\alpha+i\beta) \\\\&= (xa+(x^2b+a^2 y)i)\ast(\alpha+i\beta)  \\\\&= xa\alpha+i((xa)^{2}\beta+\alpha^{2}(x^2b+a^2y)) \\\\& =xa\alpha+i(x^2a^2\beta+\alpha^2x^2b+\alpha^2a^2y) \end{array}

\begin{array}{cl}\text{ Et  : }z\ast ( z^{'}\ast z^{''})&=(x+iy)\ast ((a+ib)\ast(\alpha+i\beta)) \\\\&=(x+iy)\ast(a\alpha+i(a^2\beta+\alpha^2b)) \\\\& =xa\alpha+i(x^2(a^2\beta+\alpha^2 b)+(a\alpha)^2y) \\\\& =xa\alpha+i(x^2a^2\beta+x^2\alpha^2 b+a^2\alpha^2 y) \end{array}

On en déduit que (z\ast z^{'})\ast z^{''} = z\ast(z^{'}\ast z^{''})

On conclut que:
\boxed{ \text{ La loi }\ast \text{ est associative dans } \mathbb{C}}


1-c) Notons z=x+iy \in \mathbb{C}^{*}
Comme \ast est commutative, il suffit de résoudre l'équation z\ast e=z d'inconnu e=p+iq \text{ ( avec }p,q\in\mathbb{R}\text{)}

\begin{array}{cl}\text{ On a : }z\ast e=z&\Longleftrightarrow (x+iy)\ast (p+iq)=x+iy \\\\& \Longleftrightarrow xp+i(x^2q+p^2y)=x+iy  \\\\ & \Longleftrightarrow xp=x \text{ et }x^2q+p^2y=y \\\\ & \Longleftrightarrow p=1 \text{ et }x^2q=0 \\\\ & \Longleftrightarrow p=1 \text{ et }q=0 \\\\ & \Longleftrightarrow e=1  \end{array}

Ensuite, pour z=0, on a z\ast e= 0\ast 1=0

Donc :
\boxed{\text{La loi } \ast \text{ admet }e=1 \text{ comme élément neutre }}


1-d) Soient z, z^{'}\in\mathbb{C} \text{ tels que : } z=x+iy \text{ et }z^{'}=a+ib \text{ avec } x\in\mathbb{R}^{*}\text{ et }y,a,b\in \mathbb{R}

\begin{array}{cl}\text{ On a : }z\ast z^{'}=e&\Longleftrightarrow (x+iy)\ast (a+ib)=1 \\\\& \Longleftrightarrow xp+i(x^2q+p^2y)=x+iy  \\\\ & \Longleftrightarrow xa=1 \text{ et }x^2b+a^2y=0 \\\\ & \Longleftrightarrow a=\dfrac{1}{x} \text{ et }b=-\dfrac{y}{x^4}  \end{array}

\boxed{\text{ Le symétrique de } z=x+iy \text{ par la loi }\ast \text{ est } z^{'}=\dfrac{1}{x} -i\dfrac{y}{x^4} }


2-a) On a E=\lbrace{ x+iy \text{ / } x\in\mathbb{R}^{*} _{+}\text{ , } y\in\mathbb{R}}\rbrace
Soient z,z^{'}\in E, notons z=x+iy \text{ et }z^{'}=a+ib , on a donc x>0 et  a>0
On e, tire directement que z\ast z^{'}=xa+(x^2b+a^2 y)i \in E car xa>0 et x^2b+a^2 y\in \mathbb{R}
Il s'ensuit :
\boxed{E\text{ est stable pour la loi } \ast }


2-b)
La loi \ast est associative.
La loi \ast est commutative.
L'élément neutre e=1\in E parce que 1>0
Tout élément z=x+iy \in E admet un symétrique z^{'}=\dfrac{1}{x} -i\dfrac{y}{x^4}\in E car, puisque x>0, alors \dfrac{1}{x}>0

On conclut que :
\boxed{ (E,\ast) \text{ est un groupe commutatif } }


3) On a G=\lbrace{ 1+iy \text{ / } y\in\mathbb{R}}\rbrace
Il est évident que G\subset E .
De plus, l'élément neutre  e=1 \in G
Soient z=1+iy \text{ et } z^{'}=1+ib \in G, et notons sym(z^{'}) le symétrique de z^{'} par \ast
On a donc :  sym(z^{'})=\dfrac{1}{1}-i\dfrac{b}{1^{4}}=1-ib
Il s'ensuit que z\ast sym(z^{'})= (1+iy)\ast(1-ib)=1+i(y-b)\in G

On conclut que :
\boxed{ (G,\ast) \text{ est un sous-groupe }  (E,\ast)}


4-a) On a \displaystyle F=\lbrace{ M(x,y)=\displaystyle{\begin{pmatrix}x&y\\0&x\end{pmatrix} \text{ / } x\in\mathbb{R}^{*}\text{ et }y \in \mathbb{R}\rbrace}
Soient M(x,y) et M(a,b)\in F
On a :
\begin{array}{cl}M(x,y)\times M(a,b)&=\begin{pmatrix}x&y\\0&x\end{pmatrix}\times \begin{pmatrix}a&b\\0&a\end{pmatrix}\\\\& =\begin{pmatrix}xa&xb+ya\\0&xa\end{pmatrix}\in F\end{array}
Car xa>0 et xb+ya\in\mathbb{R}
De même :
\begin{array}{cl}M(a,b)\times M(x,y)&= \begin{pmatrix}a&b\\0&a\end{pmatrix}\times\begin{pmatrix}x&y\\0&x\end{pmatrix}\\\\& =\begin{pmatrix}ax&ay+bx\\0&ax\end{pmatrix}\in F\end{array}
Il s'ensuit :
\boxed{F\text{ est stable pour la loi } \times \text{ dans }\mathcal{M}_{2}(\mathbb{R})}


4-b)

\begin{array}{rccl}\text{ On a }\varphi : & E & \longrightarrow& F\\  & z=x+iy & \mapsto & M(x^2,y)\end{array}

\bullet Soient z, z^{'}\in E \text{ tels que : } z=x+iy \text{ et }z^{'}=a+ib
On a :

\varphi(z\ast z^{'})=\varphi(xa+(x^2b+a^2 y)i)=M((xa)^{2},x^2b+a^2 y)

\varphi(z)\times \varphi(z^{'})=M(x^2,y)\times M(a^2,b)=\begin{pmatrix}x^2&y\\0&x^2\end{pmatrix}\times\begin{pmatrix}a^2&b\\0&a^2\end{pmatrix}=\begin{pmatrix}(xa)^2&x^2b+a^2y\\0&(xa)^2\end{pmatrix}=M((xa)^{2},x^2b+a^2 y)

D'où \varphi(z\ast z^{'})=\varphi(z)\times \varphi(z^{'}) \text{ (I)}


\bullet Soient M(a,b)\in F et z=x+iy\in E tels que a,x\in\mathbb{R}^{*}_{+} \text{ et } b,y\in\mathbb{R}

\varphi(z)=M(a,b)\Longleftrightarrow M(x^2,y)=M(a,b)\Longleftrightarrow  x^{2}=a\text{ et } y=b \Longleftrightarrow  x=\sqrt{a}\text{ et } y=b (puisque a,x\in\mathbb{R}^{*}_{+})

D'où \varphi \text{ est une bijection de }E\text{ vers }F \text{ (II)}

On déduit de \text{ (I) et (II) } :
\boxed{\varphi \text{ est un isomorphisme de } (E,\ast)\text{ vers } (F,\times)}


4-c) Directement :

 (E,\ast) \text{ est un groupe commutatif } (D'après 2-b))
\varphi \text{ est un isomorphisme de } (E,\ast)\text{ vers } (F,\times) (D'après 4-b))

On en déduit que :
\boxed{ (F,\times) \text{ est un groupe commutatif } }


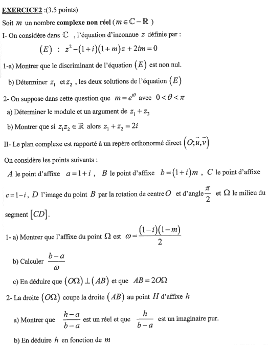
3,5 points

exercice 2


I- 1-a) Soit (E)\text{  : } z^2-(1+i)(1+m)z+2im=0 \text{ avec } m\in \mathbb{C}\backslash \mathbb{R}
Le discriminent \Delta de l'équation (E) est :

\begin{array}{cl}\Delta &=(1+i)^2(1+m)^2-8im  \\&=(1+2i-1)(1+m)^2-8im \\&=2i((1+m)^2-4m) ~~~~~~~\text{ (Remarquer que } (1+i)^2=2i\text{) } \\&=2i(1+2m+m^2-4m) \\&=2i(1-m)^2  \end{array}

Pour que \Delta soit nul, il faut que m=1 , ce qui est absurde puisque  m \in \mathbb{C}\backslash \mathbb{R}
Donc :
\boxed{ \Delta\neq 0 \text{ , } \forall m\in \mathbb{C}\backslash \mathbb{R} }


I-1-b) On a \Delta=2i(1-m)^2=(1+i)^2(1-m)^2 , c'est le carré de \sqrt{\Delta} = (1+i)(1-m)

L'équation (E) admet donc deux solutions complexes et conjuguées:

 \begin{matrix}  \begin{array}{cl}z_1 &=\dfrac{(1+i)(1+m)-(1+i)(1-m)}{2}\\\\&=m(1+i)\end{array} & & & &  \begin{array}{cl}z_2 &=\dfrac{(1+i)(1+m)+(1+i)(1-m)}{2}\\\\&=1+i\end{array} \end{matrix}

Conclusion :
\boxed{\text{ Les solutions de l'équation } (E) \text{ sont } z_1=m(1+i) \text{ et } z_2=1+i}


I-2-a) Comme z_1 et z_2 sont solutions de (E), alors (E) s'écrit : z^{2}-z(z_1+z_2)+z_1z_2=0
Par identification, on obtient directement et sans calcul:

 z_1+z_2=(1+i)(1+m) \text{ et } z_1z_2=-2im}

On écrit z_1+z_2 sous sa forme exponentielle pour en tirer le module et l'argument:

$$\displaystyle\begin{array}{cl}z_1+z_2 &=(1+i)(1+m) \\\\&=\left(\sqrt{2}\exp\left(i\dfrac{\pi}{4}\right)\right)\left(1+\exp(i\theta)\right) \\\\&=\sqrt{2}\exp\left(i\dfrac{\pi}{4}\right)\exp\left(i\dfrac{\theta}{2}\right)\left[\exp\left(-i\dfrac{\theta}{2}\right)+\exp\left(i\dfrac{\theta}{2}\right)\right] \\\\&=\sqrt{2}\exp\left[i\left(\dfrac{\pi}{4}+\dfrac{\theta}{2}\right)\right]\left(2\cos\left(\dfrac{\theta}{2}\right)\right) \\\\&=2\sqrt{2}\cos\left(\dfrac{\theta}{2}\right)\exp\left[i\left(\dfrac{\pi}{4}+\dfrac{\theta}{2}\right)\right]  \end{array}

Comme \theta\in ]0,\pi[ , donc 0<\dfrac{\theta}{2}<\dfrac{\pi}{2}

On en tire : \left \lbrace \begin{array}{cll} 0 <\cos\left(\dfrac{\theta}{2}\right)&&  \\ \dfrac{\pi}{4} <\dfrac{\pi}{4}+\dfrac{\theta}{2}<\dfrac{3\pi}{4} &\Longrightarrow& -\pi<\dfrac{\pi}{4}+\dfrac{\theta}{2}<\pi \\\end{array} \right.

Conclusion :
\boxed{|z_1+z_2|=2\sqrt{2}\cos \dfrac{\theta}{2} ~~\text{ et }~~ \arg(z_1+z_2)=\dfrac{\pi}{4}+\dfrac{\theta}{2}~~  [2\pi] }


I-2-b) On a vu à la question précédente que z_1z_2=-2im

Donc si z_1z_2=-2im \in \mathbb{R}, alors m est imaginaire pure (m\in i\mathbb{R})

Il existe donc un réel x tel que  m=ix

\begin{array}{cl}m=ix&\Longrightarrow \exp(i\theta)=ix \\\\&\Longrightarrow \left \lbrace \begin{array}{cll} |\exp(i\theta)|=|ix|&&  \\ \cos\theta+i\sin\theta=ix& \text{ avec } \theta \in ]0,\pi[& \\\end{array} \right. \\\\&\Longrightarrow \left \lbrace \begin{array}{cll} |x|=1&&  \\ \sin\theta=x& \text{ avec } \theta \in ]0,\pi[& \\\end{array} \right. \\\\&\Longrightarrow \left \lbrace \begin{array}{cll} x=1\text{ ou } x=-1&&  \\  x>0& \text{car }\sin \theta >0 \text{ pour }\theta\in ]0,\pi[& \\\end{array} \right \\\\&\Longrightarrow x=1 \\\\&\Longrightarrow m=i  \end{array}

Il s'ensuit que z_1+z_2=(1+i)(1+m) =(1+i)(1+i)=(1+i)^2=2i

Ce qui permet de conclure :
\boxed{ \text{ Si } z_1z_2\in \mathbb{R}\text{ , alors } z_1+z_2=2i}


II-1-a) \Omega est le milieu du segment [CD] , donc \omega=\dfrac{ c+d}{2}
D'autre part, le point D est l'image du point B par rotation de centre O et d'angle \theta=\dfrac{\theta}{2}, donc, si on note o l'affixe du point O, on a:

d-o=\exp(i\theta)(b-o)\Longleftrightarrow d=\exp\left(i\dfrac{\pi}{2}\right) \times (1+i)m\Longleftrightarrow d=i(1+i)m \Longleftrightarrow d=(i-1)m

On calcule \omega:

\omega=\dfrac{ c+d}{2}= \dfrac{(1-i)+(i-1)m}{2}=\dfrac{(1-i)(1-m)}{2}

D'où le résultat demandé :
\boxed{\omega=\dfrac{(1-i)(1-m)}{2}}


II-1-b) Directement :

\begin{array}{cl}\dfrac{b-a}{\omega}&=2\times\dfrac{(1+i)m-(1+m)}{(1-i)(1-m)}~~\text{ (On rappelle que }m\in\mathbb{C}\backslash \mathbb{R} \text{ donc } m\neq 1) \\\\&=2\times\dfrac{(1+i)(m-1)}{(1-i)(1-m)}  \\\\&=2\times\dfrac{i+1}{i-1} \\\\&=2\times\dfrac{(i+1)^2}{-2} \\\\&=-(i+1)^2 \\\\&=-2i  \end{array}

Résultat :
\boxed{\dfrac{b-a}{\omega}=-2i}


II-1-c) On rappelle qu'on note o l'affixe du point O

On a : \dfrac{b-a}{\omega}=-2i\Longrightarrow \dfrac{b-a}{\omega-o}=-2i\Longrightarrow \left \lbrace   \begin{array}{} (\overline{\overrightarrow{O\Omega},\overrightarrow{AB}})\equiv -\dfrac{\pi}{2} ~[2\pi] \\  AB=2O\Omega\\\end{array} \right
Alors :
\boxed{ (O\Omega)\perp (AB) \text{ et } AB=2O\Omega}


II-2-a) Les points A,B et H sont alignés, donc, on peut écrire : ~~~(\overline{\overrightarrow{AH},\overrightarrow{AB}})\equiv\pi~[\pi]\Longrightarrow  \arg\left(\dfrac{h-a}{b-a}\right)\equiv \pi~[\pi]

D'où :
\boxed{\dfrac{h-a}{b-a}\in\mathbb{R}}


D'autre part, on a (OH)\perp (AB), donc : ~~~(\overline{\overrightarrow{OH},\overrightarrow{AB}})\equiv\dfrac{\pi}{2}~[\pi]\Longrightarrow  \arg\left(\dfrac{h-o}{b-a}\right)\equiv \dfrac{\pi}{2}~[\pi]

D'où :
\boxed{\dfrac{h}{b-a}\in i\mathbb{R}}


II-2-b)

On a : \dfrac{h-a}{b-a}-\dfrac{h}{b-a}=-\dfrac{a}{b-a}\Longrightarrow \dfrac{h-a}{b-a}+i\dfrac{ih}{b-a}=\dfrac{1}{1-m}

On a alors : \textbf{Re}\left(\dfrac{1}{1-m}\right)=\dfrac{h-a}{b-a}\in \mathbb{R}  ~~~~\text{ et }~~~~ \textbf{Im}\left(\dfrac{1}{1-m}\right)=\dfrac{ih}{b-a}\in \mathbb{R} ~~~~\left(\text{ car }\dfrac{h}{b-a}\in i\mathbb{R}\right)

Donc, en appliquant la formule suivante : \textbf{Im} \left(\dfrac{1}{1-m}\right)=\dfrac{1}{2i}\left(\dfrac{1}{1-m}-\left(\overline{\dfrac{1}{1-m}}\right)\right)

On obtient : \dfrac{ih}{b-a}=\dfrac{1}{2i}\left(\dfrac{1}{1-m}-\dfrac{1}{1-\overline{m}}\right)\Longrightarrow h=-\dfrac{b-a}{2}\left(\dfrac{1}{1-m}-\dfrac{1}{1-\overline{m}}\right)\Longrightarrow h=-\dfrac{(1+i)(m-1)}{2}\left(\dfrac{1}{1-m}-\dfrac{1}{1-\overline{m}}\right)\Longrightarrow h=\dfrac{1+i}{2}\left(1-\dfrac{1-m}{1-\overline{m}}\right)

(On rappelle que \overline{m}\neq 1 et m\neq 1 car m\in\mathbb{C}\backslash \mathbb{R} )

Conclusion :
\boxed{h=\dfrac{1+i}{2}\left(\dfrac{m-\overline{m}}{1-\overline{m}}\right)}


3 points

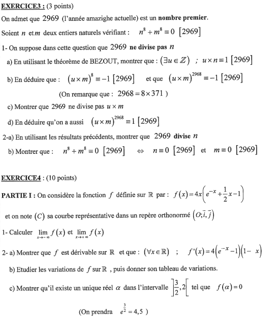
exercice 3


1-a) Puisqu'on suppose que 2969 ne divise pas n et que 2969 est premier, alors : 2969 \wedge n=1
Donc, d'après le théorème de Bezout : \exists(u,v)\in\mathbb{Z}^2\text{  : } 2969v+un=1
Doù :
\boxed{ un\equiv 1[2969]}


1-b) On a n^8+m^8\equiv 0[2969]
Donc : (un)^8+(um)^8\equiv 0[2969]
Il s'ensuit que (um)^8\equiv -(un)^8 [2969]
Or, (un)^8\equiv 1[2969]
D'où :
\boxed{(um)^8\equiv -1[2969]}

De plus, on a 8\times 371=2968, donc : (um)^{8\times 371} \equiv (-1)^{371} [2969]
Ou encore :
\boxed{(um)^{2968}\equiv -1[2969]}


1-c) On a (um)^{2968}\equiv -1[2969]
Donc : \exists k\in\mathbb{Z} \text{  : } (um)^{2968}=-1+2969k
En posant \mu =-(um)^{2967} \text{ et } \nu=k
\exists \mu, \nu\in\mathbb{Z}\text{  : } (um)\mu+2969\nu=1
Donc, d'après le théorème de Bezout : 2969\wedge um=1
On en déduit :
\boxed{ 2969 \text{ ne divise pas } um}


1-d) On a 2969\wedge um=1 \text{ et } 2969 \text{ premier }, donc d'après le théorème de Fermat : (um)^{2969-1}\equiv 1[2969]
D'où le résultat :
\boxed{ (um)^{2968}\equiv 1[2969]}


2-a) On a trouvé dans 1-b) que (um)^{2968}\equiv -1[2969] , et dans 1-d) (um)^{2968}\equiv 1[2969].
Ce qui est absurde, donc l'hypothèse de l'exercice est fausse, et donc sa négation juste.
Conclusion :
\boxed{ 2969 \text{ divise bien } n }


2-b)
\boxed{\Longleftarrow}} Si n\equiv 0[2969] \text{ et } m\equiv 0[2969]
Alors directement n^8+m^8\equiv 0[2969]

\boxed{\Longrightarrow}} On avait vu, d'après les questions précédentes, que : n^8+m^8\equiv 0[2969] \Longrightarrow 2969/n
Donc, de la même manière, en inversant n et m, on obtient n^8+m^8\equiv 0[2969] \Longrightarrow 2969/m
Il s'ensuit que n^8+m^8\equiv 0[2969] \Longrightarrow n\equiv 0[2969] \text{ et }m\equiv 0[2969]

Conclusion :
\boxed{n^8+m^8\equiv 0[2969] \Longleftrightarrow n\equiv 0[2969] \text{ et }m\equiv 0[2969]}


10 points

exercice 4

Partie I

Soit f la fonction définie sur \mathbb{R} par : f(x)=4x\left(e^{-x}+\dfrac{1}{2}x-1\right)

1-
\bullet \text{ Calcul de }\displaystyle\lim_{x\to-\infty} f(x)\text{  : }
On a , pour tout réel x\text{  : } f(x)=4x\left(e^{-x}+\dfrac{1}{2}x-1\right)=4xe^{-x}\left(1+\dfrac{xe^{x}}{2}-e^{x}\right)
Puisque \displaystyle\lim_{x\to-\infty}xe^{x}=0 \text{ et } \lim_{x\to-\infty}e^{x}=0 , alors \displaystyle\lim_{x\to-\infty}1+\dfrac{xe^{x}}{2}-e^{x}= 1

De plus, \displaystyle\lim_{x\to-\infty}e^{-x}=\lim_{t\to+\infty}e^{t}=+ \infty , donc \displaystyle\lim_{x\to-\infty}xe^{-x}=- \infty
On en déduit que :
\boxed{\displaystyle\lim_{x\to-\infty}f(x)=- \infty }


\bullet \text{ Calcul de }\displaystyle\lim_{x\to+\infty} f(x)\text{  : }
On a \displaystyle\lim_{x\to+\infty}e^{-x}=\lim_{t\to-\infty}e^{t}=0  , alors \displaystyle\lim_{x\to+\infty}e^{-x}+\dfrac{1}{2}x-1= +\infty
Et comme on a bien évidemment  \displaystyle\lim_{x\to+\infty}4x=+\infty
On déduit que :
\boxed{\displaystyle\lim_{x\to+\infty}f(x)=+\infty }


2-a) La fonction définie sur \R par x\mapsto e^{-x}+\frac{1}{2}x-1 est dérivable sur \R comme somme des deux fonctions usuelles dérivables sur \R : la fonction polynomiale x\mapsto \dfrac{1}{2}x-1 et la fonction exponentielle x\mapsto e^{-x}.
Or, puisque la fonction polynomiale x\mapsto 4x est dérivable sur \R, alors

\boxed{f \text{ est dérivable sur } \mathbb{R} \text{ comme étant produit de fonctions dérivables sur } \mathbb{R}}
.
On a alors \forall x\in\mathbb{R}:

\begin{array}{cl}f'(x)&=\left[4x\left(e^{-x}+\dfrac{1}{2}x-1\right)\right]' \\\\&=4\left(e^{-x}+\dfrac{1}{2}x-1\right)+4x\left(e^{-x}+\dfrac{1}{2}x-1\right)'  \\\\&=4\left(e^{-x}+\dfrac{1}{2}x-1\right)+4x\left(-e^{-x}+\dfrac{1}{2}\right) \\\\&=4\left(e^{-x}+\dfrac{1}{2}x-1-xe^{-x}+\dfrac{1}{2}x\right)\\\\&=4\left(e^{-x}(1-x)+x-1\right)\\\\&=4(e^{-x}-1)(1-x) \end{array}

\boxed{\forall x\in\R\text{  : } f'(x)=4(e^{-x}-1)(1-x)}


2-b) Traçons le tableau de signes de f'(x) :

On a:

\bullet e^{-x}-1\leq 0 \iff e^{-x}\leq 1 \iff -x\leq 0 \iff x\geq 0

\bullet e^{-x}-1\geq 0 \iff x\leq 0

D'où :

\begin{tabvar}{|C|CCCCCCCCC|}    \hline x                & -\infty&             ~    &   &0    ~                       &                            & ~ &1      ~           &  &+\infty \\\hline e^{-x}-1&               &+           ~   &   &   \barre{0}   ~     &                           &-~&  \barre{}     ~             &- & \\\hline 1-x          &                &+            ~   &    &           \barre{}~ &                            &+~&\barre{0}~&-& \\\hline f'(x)          &                &+            ~   &    &           \barre{0}~ &                            &-~&\barre{0}~&+& \\\hline\end{tabvar}

On en tire que f est croissante sur ]-\infty, 0]\cup [1,+\infty[ et décroissante sur [0,1]

Le tableau de variations :

\begin{tabvar}{|C|CCCCCCCCC|}    \hline x                           & -\infty&             ~      &   &0    ~                           &                            & ~                  &1      ~           &  &+\infty \\\hline f'(x)                     &                &+            ~   &     &           \barre{0}~ &                            &-~                &\barre{0}~&+& \\\hline   f&\niveau{1}{3} -\infty& \croit        & &        0                             &                            &\decroit  &\frac{4-2e}{e}                &\croit &+\infty \\\hline\end{tabvar}

Puisque f(1)=4\left(e^{-1}-\dfrac{1}{2}\right)=\dfrac{4-2e}{e}

2-c) On a  \left[\dfrac{3}{2},2\right] \subset [1,+\infty[
Donc f est continue et strictement croissante sur  \left[\dfrac{3}{2},2\right]
De plus  ~ ~ f\left(\dfrac{3}{2}\right) = 6\left(e^{-3/2}-\dfrac{1}{4}\right)\approx 6\left(\dfrac{1}{4,5}-\dfrac{1}{4}\right) <0  \left[\dfrac{3}{2},2\right]~ ~ ~ ~\text{   et    } ~ ~ ~ ~f(2)=8e^{-2}>0
Alors f\left(\dfrac{3}{2}\right) f(2)<0.
Donc d'après le théorème des valeurs intermédiaires :
\boxed{ \exists !  ~\alpha \in \left]\dfrac{3}{2},2\right[ \text{  tel que } f(\alpha)=0 }


2-d) On a :

\begin{array}{cl}f(\alpha)=0&\iff 4\alpha\left(e^{-\alpha}+\dfrac{1}{2}\alpha-1\right)=0 \\\\&\iff \alpha=0 \text{ ou } e^{-\alpha}=1-\dfrac{1}{2}\alpha \\\\&\Longrightarrow  e^{-\alpha}=1-\dfrac{\alpha}{2} \text{ car } \alpha> \dfrac{3}{2}\end{array}

\boxed{ e^{-\alpha}=1-\dfrac{\alpha}{2} }


3-a) f' est continue et dérivable sur \R comme produit des fonctions usuelles x\mapsto e^{-x}-1 et x\mapsto 4(1-x) continues et dérivables sur \R
Donc en particulier:

\bullet  f' \text{ est continue sur }[0,1]
\bullet  f' \text{ est dérivable sur }]0,1[
\bullet \text{ De plus, on avait vu que }f'(0)=f'(1)=0

Donc, d'après le théorème de Rolle
\boxed{ \exists x_0 \in ]0,1[ \text{ tel que } f''(x_0)=0 }


3-b) D'après 3-a), f' est dérivable sur \R, alors :

\forall x\in\mathbb{R}:

\begin{array}{cl}f''(x)&=\left[4(e^{-x}-1)(1-x) \right]'  \\\\&=4\left[\left(e^{-x}-1)'(1-x)-\left(e^{-x}-1)\right]   \\\\&=4\left(-e^{-x}(1-x)-e^{-x}+1\right) \\\\&=4\left(e^{-x}(x-2)+1\right) \end{array}

La fonction x\mapsto e^{-x}(x-2) est dérivable sur \R comme produit des fonctions x\mapsto e^{-x} et x\mapsto x-2 dérivables sur \R , il s'ensuit que f'' est dérivable sur \R comme somme et produit de fonctions dérivables sur \R

Soit x un réel de [0,1] différent de x_0
Donc, en particulier, f'' est dérivable et donc continue sur l'intervalle ouvert de bornes x et x_0 qu'on notera I

Par conséquent, d'après le théorème des accroissements finis : \exists c \in I \text{  : } f^{(3)}(c)=\dfrac{ f''(x)-f''(x_0)}{x-x_0}=\dfrac{ f''(x)}{x-x_0} ~~~(\text{ puisque } f''(x_0)=0 )

Il nous reste à trouver l'expression de f^{(3)}(c) pour conclure.

On vient de voir que f'' est dérivable sur \R, alors :

\forall x\in\mathbb{R}:

\begin{array}{cl}f^{(3)}(x)&=\left[4\left(e^{-x}(x-2)+1\right) \right]'  \\\\&=4\left[e^{-x}(x-2)]'   \\\\&=4\left(-e^{-x}(x-2)+e^{-x}\right) \\\\&=4e^{-x}(3-x) \end{array}

D'où : f^{(3)}(c)=4e^{-c}(3-c)

Puisque 4e^{-c}>0, le signe de f^{(3)}(c) est celui de 3-c

On sait que c\in I\subset [0,1] car les deux bornes x et x_0 de l'intervalle I appartiennent à [0,1]

Il s'ensuit que c<3 et donc f^{(3)}(c)>0
Ce qui permet de conclure :
 \boxed{ \forall x\in [0,1] \text{ tel que } x\neq x_0 \text{  : } \dfrac{ f''(x)}{x-x_0} >0}


Remarque: On s'est contenté dans cette question de noter l'intervalle ouvert de bornes x et x_0 par I car on ne connait pas laquelle des deux bornes x et x_0 est la plus grande. On pouvait cependant utiliser l'écriture fastidieuse I=]\min(x,x_0),\max(x,x_0)[

3-c)
On a d'après 3-a) f''(x_0)=0 et d'après 3-b) \forall x\in [0,1]\backslash\lbrace{ x_0\rbrace} \text{  : }  \dfrac{ f''(x)}{x-x_0} >0
Donc:
\bullet \text{ Si }0\leq x<x_0 \leq 1 \text{  : } \dfrac{ f''(x)}{x-x_0} >0\Longrightarrow f''(x)<0
\bullet \text{ Si }0\leq x_0<x \leq 1 \text{  : } \dfrac{ f''(x)}{x-x_0} >0\Longrightarrow f''(x)>0

C'est-à-dire que f'' s'annule en x_0 et change de signe au voisinage de ce dernier.

Donc :
\boxed{ I(x_0, f(x_0)) \text{ est bien un point d'inflexion de la courbe } (C)}


4-a)

\bullet \text{ Au voisinage de } -\infty

On a \displaystyle\lim_{x\to-\infty}f(x)=- \infty , il faut donc calculer \displaystyle\lim_{x\to-\infty}\dfrac{f(x)}{x}
On a , pour tout réel x au voisinage de  -\infty \text{ (donc non nul)  : } \dfrac{f(x)}{x}=4\left(e^{-x}+\dfrac{1}{2}x-1\right)=4e^{-x}\left(1+\dfrac{1}{2}xe^{x}-e^{x}\right)
Puisque \displaystyle\lim_{x\to-\infty}e^x=0 , \displaystyle\lim_{x\to-\infty}xe^x=0 et \displaystyle\lim_{x\to-\infty}e^{-x}=\lim_{t\to+\infty}e^{t}=+\infty

Alors : \displaystyle\lim_{x\to-\infty}\dfrac{f(x)}{x}=\lim_{x\to-\infty}4e^{-x}\left(1+\dfrac{1}{2}xe^{x}-e^{x}\right)=+\infty(1+0+0)=+\infty
Interprétation géométrique:

 \boxed{ (C) \text{ admet une branche parabolique de direction l'axe des ordonnées au vosinage de }-\infty }


\bullet \text{ Au voisinage de } +\infty

On a \displaystyle\lim_{x\to+\infty}f(x)=+\infty , il faut donc calculer \displaystyle\lim_{x\to+\infty}\dfrac{f(x)}{x}
On a , pour tout réel x au voisinage de  +\infty \text{ (donc non nul)  : } \dfrac{f(x)}{x}=4\left(e^{-x}+\dfrac{1}{2}x-1\right)
Puisque \displaystyle\lim_{x\to+\infty}e^{-x}=\lim_{t\to-\infty}e^{t}=0 et \displaystyle\lim_{x\to+\infty}\dfrac{1}{2}x-1=+\infty

Alors : \displaystyle\lim_{x\to+\infty}\dfrac{f(x)}{x}=\lim_{x\to+\infty}4\left(e^{-x}+\dfrac{1}{2}x-1\right)=4(0+\infty)=+\infty
Interprétation géométrique:

 \boxed{ (C) \text{ admet une branche parabolique de direction l'axe des ordonnées au vosinage de }+\infty }


4-b) La représentation graphique (C) :

Bac (A et B) Maroc 2019 : image 6


5-a) D'après le graphique, la courbe (C) est en-dessous de l'axe des abscisses dans l'intervalle ]-\infty, \alpha] , donc directement :

\boxed{\forall x\in ]-\infty, \alpha]\text{  : }f(x)\leq 0 }


5-b) \text{ Calculons }\displaystyle\int_{0}^{\alpha} f(x) \text{ d}x

\displaystyle\int_{0}^{\alpha} f(x) \text{ d}x=\displaystyle\int_{0}^{\alpha} 4x\left(e^{-x}+\dfrac{1}{2}x-1\right) \text{ d}x=\displaystyle 4\int_{0}^{\alpha} xe^{-x}+\dfrac{1}{2}x^2-x \text{ d}x=\displaystyle 4\underbrace{\int_{0}^{\alpha} xe^{-x}\text{ d}x}_{I_1}+4\underbrace{\int_{0}^{\alpha} \dfrac{1}{2}x^2-x \text{ d}x}_{I_2}

On a directement I_2&=\displaystyle\int_{0}^{\alpha} \dfrac{1}{2}x^2-x \text{ d}x=\displaystyle \left[\dfrac{1}{6}x^{3}-\dfrac{1}{2}x^{2}\right]_{0}^{\alpha}=\dfrac{\alpha^{3}}{6}-\dfrac{\alpha^2}{2}

Calculons \displaystyle I_1=\int_{0}^{\alpha} xe^{-x}\text{ d}x, procédons par intégration par parties:

On pose : \left\lbrace\begin{array}l u(x)=x \\ v^{'}(x)=e^{-x} \end{array} \text{ donc  : }\left\lbrace\begin{array}l u^{'}(x)=1 \\ v(x)=-e^{-x} \end{array}

u\,,v\,,u'\,,v' sont toutes quatre continues sur \R et donc sur [0, \alpha].

Intégration par parties :

\begin{array}{ccccccl}  \\I_1 &=& \displaystyle\int_{0}^{\alpha} xe^{-x}\text{ d}x &=& \displaystyle\left[-xe^{-x}\right]_0^{\alpha} - \displaystyle\int_{0}^{\alpha}(-e^{-x}) \text{ d}x \\\\ &=&  \displaystyle\left[-xe^{-x}\right]_0^{\alpha}- \left[e^{-x}\right]_0^{\alpha}  &=& \displaystyle\left[e^{-x}(x+1)\right]_{\alpha}^{0} \\\\&=&\displaystyle 1-\blue{e^{-\alpha}}\black (\alpha+1) &=& 1-\blue{\left(1-\dfrac{\alpha}{2}\right)}\black (\alpha+1) \\\\&=& 1-\left(\alpha + 1-\dfrac{\alpha^2}{2}-\dfrac{\alpha}{2}\right) &=&\dfrac{\alpha^2}{2}-\dfrac{\alpha}{2}  \\              \end{array}


On en déduit : \displaystyle\int_{0}^{\alpha} f(x) \text{ d}x=4I_1+4I_2=4\left(\dfrac{\alpha^2}{2}-\dfrac{\alpha}{2}\right) +4\left(\dfrac{\alpha^{3}}{6}-\dfrac{\alpha^2}{2}\right)=\dfrac{2\alpha^{3}}{3}-2\alpha

En facotrisant, on trouve :
\boxed{\displaystyle\int_{0}^{\alpha} f(x) \text{ d}x=\dfrac{2}{3}\alpha(\alpha^2-3)}


Déduction :

\forall x\in [0,\alpha]\text{ : } f(x)\leq 0 \Longrightarrow \displaystyle \displaystyle\int_{0}^{\alpha} f(x) \text{ d}x\leq 0 \Longrightarrow \dfrac{2}{3}\alpha(\alpha^2-3)\leq 0 \displaystyle \underbrace{\Longrightarrow}_{\text{ car }\alpha >\frac{3}{2}>0 } \alpha^2-3\leq 0  \Longrightarrow |\alpha|\leq \sqrt{3}

Donc -\sqrt{3}\leq \alpha \leq \sqrt{3}, or, on sait que \alpha >\dfrac{3}{2}, donc :
\boxed{ \dfrac{3}{2}<\alpha \leq \sqrt{3}}


5-c) On sait que f est continue sur [0,\alpha], donc l'aire délimitée par la courbe (C), l'axe des abscisses (y=0), l'axe des ordonnées (x=0) et la droite d'équation x=\alpha s'exprime en unité d'aire (U.A.) par : \mathcal{A}={\displaystyle\int_{0}^{\alpha}| f(x)| \text{ d}x

Et puisque \forall x\in [0,\alpha]\text{ : } f(x)\leq 0

Alors \mathcal{A}=\displaystyle\int_{0}^{\alpha}| f(x)| \text{ d}x=-\displaystyle\int_{0}^{\alpha} f(x) \text{ d}x=-\dfrac{2}{3}\alpha(\alpha^2-3) \text{ U.A.}

Enfin 1U.A.=||\overrightarrow{i}||||\overrightarrow{j}||=1\times 1= 1\text{ cm}^2

Donc
 \boxed{ \text{ L'aire demandée s'écrit en cm}^{2}\text{ en fonction de } \alpha \text{  : }\mathcal{A}= \dfrac{2}{3}\alpha(3-\alpha^2) \text{ cm}^{2}}

Partie II


Soit \displaystyle (u_n)_{n\in\mathbb{N}} la suite numérique définie par : \left \lbrace \begin{array}{cll}u_0<\alpha &   \\\forall n\in\N\text{  : }& u_{n+1}=f(u_n)+u_n\\\end{array} \right

1-a) Montrons par récurrence que \forall n\in\mathbb{N}\text{  : }u_n<\alpha

Initialisation: Pour n=0\text{  : }u_0<\alpha, donc la propriété est vraie au rang n=0

Hérédité : Soit n un entier naturel tel que u_n<\alpha

Puisque  u_n<\alpha, alors d'après I-5-a), f(u_n)\leq 0

Il s'ensuit que f(u_n)+u_n\leq u_n<\alpha et donc u_{n+1}<\alpha

Donc la propriété est vraie au rang n+1

Conclusion: On conclut par récurrence que :
\boxed{\forall n\in\mathbb{N}\text{  : }u_n<\alpha}


1-b) On a pour tout n\in\mathbb{N} \text{  : }u_{n+1}-u_{n}=f(u_n)

Et puisque \forall n\in\mathbb{N}\text{  : } u_n<\alpha, alors d'après I-5-a), \forall n\in\mathbb{N}\text{  : } f(u_n)\leq 0

On en tire que  \forall n\in\mathbb{N}\text{  : } u_{n+1}-u_{n}\leq 0

Conclusion :
\boxed{(u_n)_{n\in\mathbb{N}} \text{ est une suite décroissante}}


2-a) On suppose que 0<u_0<\alpha, et soit g la fonction définie sur \R par : g(x)=e^{-x}+\dfrac{1}{2}x-\dfrac{3}{4}

La fonction g est dérivable sur \R comme somme de fonctions dérivables sur \R

Donc \forall x\in\mathbb{R} \text{  : }g'(x)=\left(e^{-x}+\dfrac{1}{2}x-\dfrac{3}{4}\right)'=-e^{-x}+\dfrac{1}{2}
On a :

\bullet g'(x)\leq 0 \iff e^{-x}\geq  \dfrac{1}{2} \iff -x\geq -\ln 2 \iff x\leq \ln 2
\bullet g'(x)\geq 0 \iff e^{-x}\leq  \dfrac{1}{2} \iff -x\leq -\ln 2 \iff x\geq \ln 2
Le tableau de variations:

\begin{tabvar}{|C|CCCCCCC|}    \hline x                                                       &       -\infty          &                   ~      &      &                 \ln 2    ~                 &          &            ~              &  +\infty  \\\hline                                                                                                    g'(x)                                          &                                &          -          ~   &       &           \barre{0}~                &          &       +        ~         &  \\\hline                                                                              \niveau{2}{3}                       g                  &                                 & \decroit        &       &       g(\ln 2)          ~                &           &              \croit    & \\\hline\end{tabvar}

D'où  \forall x\in\R\text{  : } g(x)\geq g(\ln 2)=\dfrac{\ln 2}{2}-\dfrac{1}{4}

Or pusique  \ln 2\approx 0,69 >\dfrac{1}{2} , donc g(\ln 2)=\dfrac{\ln 2}{2}-\dfrac{1}{4} >0

On en déduit
\boxed{\forall x\in \R\text{  : } g(x)>0}


2-b) On remarque que \forall x\in\mathbb{R}\text{  : }f(x)+x=4xg(x)

En effet : \forall x\in\R\text{  : }4xg(x)=4x\left(e^{-x}+\dfrac{1}{2}x-\dfrac{3}{4}\right)=4x\left(e^{-x}+\dfrac{1}{2}x-1+\dfrac{1}{4}\right)=4x\left(e^{-x}+\dfrac{1}{2}x-1\right)+\dfrac{4x}{4}=f(x)+x

Montrons par récurrence que  \forall n\in\mathbb{N}\text{  : }0\leq u_n

Initialisation : Pour n=0\text{  : }0\leq u_0, donc la propriété est vraie au rang n=0

Hérédité : Soit n un entier naturel tel que 0\leq u_n

On a u_{n+1}=f(u_n)+u_n =4u_ng(u_n), et puisque \forall x\in\R\text{  : }g(x)>0, donc g(u_n)>0

On en déduit que 4u_ng(u_n)\geq 0 et donc u_{n+1}\geq 0

Donc la propriété est vraie au rang n+1

Conclusion : On conclut par récurrence que :
\boxed{ \forall n\in\mathbb{N}\text{  : }u_n\geq 0}


2-c) D'après 1-b), (u_n)_{n\in\N} est décroissante.

Et d'après 2-b) (u_n)_{n\in\N} est minorée par 0 puisque \forall n\in \N\text{  : }u_n\geq 0

On en déduit que :
\boxed{ (u_n)_{n\in\N} \text{ est convergente }}


2-d) On a x\mapsto f(x)+x est continue sur [0,\alpha] en tant que somme de fonctions continues sur cet intervalle.

Et pour tout entier naturel n , u_{n+1}=f(u_n)+u_n.

Alors \lim u_{n+1}=\lim f(u_n)+u_n \iff l=f(l)+l\iff f(l)=0

Et d'après l'étude de la fonction f : f(l)=0 \iff l=0 \text{ ou }l=\alpha

Or, on sait, d'après les résultats précédents que : \forall n\in\N\text{  : }0\leq u_n\leq u_0<\alpha

Donc \lim u_n=l\leq u_0<\alpha

D'où:
 \boxed{\lim u_n=0}


3-a) On a \forall n\in\N\text{  : }u_{n+1}-u_{n}=f(u_n)

Comme (u_n)_{n\in\N} est décroissante, donc u_n\leq u_0<0

Or, on sait que f est croissante sur ]-\infty, 0[, donc : \forall n\in\N\text{  : }f(u_n)\leq f(u_0)

Ce qui permet de conclure :
\boxed{\forall n\in\N\text{  : }u_{n+1}-u_n \leq f(u_0)}


3-b)Montrons par récurrence que \forall n\in\mathbb{N}\text{  : }u_n\leq u_0+nf(u_0)

Initialisation : Pour n=0\text{  : }u_0\leq u_0, donc la propriété est vraie au rang n=0

Hérédité: Soit n un entier naturel tel que u_n\leq u_0+nf(u_0)

On a, d'après la question précédente : u_{n+1} \leq u_n+f(u_0), donc u_{n+1} \leq u_0+nf(u_0)+f(u_0)=u_0+u_{n+1}f(u_0)

Donc la propriété est vraie au rang n+1

Conclusion : On conclut par récurrence que :

\boxed{ \forall n\in\mathbb{N}\text{  : }u_n\leq u_0+nf(u_0)}


3-c) On a u_0<0 et f est croissante sur ]-\infty, 0], donc : f(u_0)<f(0)=0

D'où \lim u_n=\lim ( u_0+nf(u_0))=\lim nf(u_0)=-\infty

\boxed{\lim u_n=-\infty}
Publié le
ceci n'est qu'un extrait
Pour visualiser la totalité des cours vous devez vous inscrire / connecter (GRATUIT)
Inscription Gratuite se connecter
Merci à
Panter Correcteur
pour avoir contribué à l'élaboration de cette fiche


Vous devez être membre accéder à ce service...

Pas encore inscrit ?

1 compte par personne, multi-compte interdit !

Ou identifiez-vous :


Rester sur la page

Inscription gratuite

Fiches en rapport

parmi 1768 fiches de maths

Désolé, votre version d'Internet Explorer est plus que périmée ! Merci de le mettre à jour ou de télécharger Firefox ou Google Chrome pour utiliser le site. Votre ordinateur vous remerciera !