Fiche de mathématiques
> >

BACCALAURÉAT TECHNOLOGIQUE

Nouvelle Calédonie

SESSION 2020

MATHÉMATIQUES

Sciences et technologies de l'hôtellerie et de la restauration

DURÉE DE L'ÉPREUVE : 2 heures

COEFFICIENT : 3

Partager :
L'usage de calculatrice avec mode examen actif est autorisé,
l'usage de calculatrice sans mémoire, « type collège » est autorisé.


Le candidat doit traiter les 3 exercices.


Le candidat est invité à faire figurer toute trace de recherche, même incomplète ou non fructueuse, qu'il aura développée. Il est rappelé que la qualité de la rédaction, la clarté et la précision des raisonnements entreront pour une part importante dans l'appréciation des copies.

9 points

exercice 1

Les trois parties peuvent être traitées de manière indépendante.

Partie A

Une entreprise produit et commercialise des pizzas dans deux points de vente.
On dispose des informations suivantes :

{\white{w} }\bullet {\white{w}}60 % de la production est vendue dans le premier point de vente, le reste est vendu dans le second.
{\white{w} }\bullet {\white{w}}Dans le premier point de vente, 10 % des pizzas vendues sont des pizzas Margherita, 40 % des pizzas 4 fromages.
{\white{w}} \bullet {\white{w}}Dans le second, 20 % des pizzas vendues sont des pizzas Margherita, 35 % des pizzas 4 fromages.

On prélève au hasard une pizza à la sortie du laboratoire de production.
On considère les événements suivants :
{\white{w} }\bullet {\white{w}} V 1 : « la pizza sera vendue dans le premier point de vente »
{\white{w} }\bullet {\white{w}} V 2 : « la pizza sera vendue dans le second point de vente »
{\white{w} }\bullet {\white{w}}M : « la pizza est une pizza Margherita »
{\white{w} }\bullet {\white{w}} F : « la pizza est une pizza 4 fromages »
{\white{w} }\bullet {\white{w}} A : « la pizza n'est ni une pizza Margherita, ni une pizza 4 fromages »

1. Compléter l'arbre donné dans l'annexe 1, à rendre avec la copie.
2. Traduire par une phrase l'événement V_2\cap F, puis calculer sa probabilité.
3. Montrer que P (F ) = 0,38.
4. La pizza prélevée est une pizza 4 fromages. Quelle est la probabilité, arrondie à 0,01, que la pizza soit vendue dans le second point de vente ?


Partie B

Dans cette partie, les probabilités seront arrondies au millième.
Le laboratoire de cette entreprise produit des pizzas dont la masse, exprimée en grammes, peut être modélisée par une variable aléatoire X qui suit la loi normale d'espérance \mu=400 et d'écart-type \sigma=12.
1. Calculer P (388 infegal X infegal412) et interpréter le résultat.
2. On estime qu'une pizza est commercialisable si sa masse est supérieure à 380 g.
Déterminer la probabilité qu'une pizza choisie au hasard soit commercialisable.


Partie C

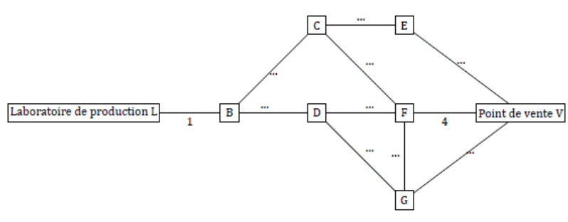
Après leur production, les pizzas doivent être livrées au point de vente V depuis le laboratoire de production L en passant par différents carrefours B, C, D, E, F et G.
Voici les différentes étapes possibles et le temps nécessaire pour les parcourir :
Bac STHR Nouvelle Calédonie 2020 : image 5

1. Compléter le graphe pondéré donné en annexe 1 à rendre avec la copie avec les données du tableau ci-dessus.
2. Déterminer le parcours le plus rapide entre le laboratoire de production L et le point de vente V. Quelle est alors la durée du parcours ?

6 points

exercice 2

Les membres du C. V. L. (Conseil de la Vie Lycéenne) d'un lycée ont lancé une campagne de sensibilisation visant à réduire le gaspillage alimentaire.

1. Après une semaine de sensibilisation, on a constaté que la masse moyenne de déchets par repas est passée de 131 g à 124 g.
Calculer le taux d'évolution, exprimé en pourcentage, correspondant à cette baisse. Le résultat sera arrondi à 0,01 %.
2. On suppose que pour les semaines qui suivent la masse moyenne de déchets par repas diminue de 5,3 % par semaine. On note u n la masse moyenne de déchets par repas, exprimée en grammes, où n représente le nombre de semaines écoulées après cette semaine de campagne de sensibilisation. On a ainsi : u 0 = 124.
a. Calculer u 1 .
On arrondira le résultat à l'unité.
b. Justifier que (u n ) est une suite géométrique dont on précisera la raison.
c. Pour tout entier naturel n exprimer u n en fonction de n.
d. Selon ce modèle combien de semaines faudra-t-il, après cette semaine de campagne de sensibilisation, pour que la masse moyenne de déchets de ce lycée soit inférieure à 100 g ?
e. Recopier et compléter l'algorithme ci-dessous pour que la valeur de N à la fin de son exécution soit égale au résultat trouvé à la question 2.d.
Bac STHR Nouvelle Calédonie 2020 : image 1


5 points

exercice 3

On considère la fonction f définie sur l'intervalle [0 ; 25]. On note C sa courbe représentative dans le plan muni d'un repère orthogonal.
Bac STHR Nouvelle Calédonie 2020 : image 4

1. Avec la précision permise par le graphique :
a. lire f(11) ;
b. résoudre l'équation f(x) = 0.

2. La fonction f est définie sur l'intervalle [0 ; 25] par f(x) = - 1,5x² + 45x- 215.
a. On note f ' la fonction dérivée de la fonction f.
Calculer f ' (x) pour tout réel x appartenant à l'intervalle [0; 25].
b. Déterminer le signe de f ' sur l'intervalle [0; 25]. En déduire le tableau de variations de la fonction f sur [0 ; 25].
c. En déduire le maximum de la fonction f sur l'intervalle [0 ; 25]. Pour quelle valeur de x est-il atteint ?

ANNEXES A RENDRE AVEC LA COPIE


Annexe 1 : exercice 1
Bac STHR Nouvelle Calédonie 2020 : image 3


Annexe 2 : exercice 1
Bac STHR Nouvelle Calédonie 2020 : image 2





Bac STHR Nouvelle Calédonie 2020

Partager :



9 points

exercice 1

Partie A

1.  Une entreprise produit et commercialise des pizzas dans deux points de vente.
On dispose des informations suivantes :

{\white{w} }\bullet {\white{w}}60 % de la production est vendue dans le premier point de vente, le reste est vendu dans le second.
{\white{w} }\bullet {\white{w}}Dans le premier point de vente, 10 % des pizzas vendues sont des pizzas Margherita, 40 % des pizzas 4 fromages.
{\white{w}} \bullet {\white{w}}Dans le second, 20 % des pizzas vendues sont des pizzas Margherita, 35 % des pizzas 4 fromages.

Arbre pondéré traduisant la situation.

Bac STHR Nouvelle Calédonie 2020 : image 6


2.  L'événement  V_2\cap F  peut se traduire par : "la pizza sera vendue dans le second point de vente et sera une pizza Margherita"

P(V_2\cap F)=P(V_2)\times P_{V_2}(F) \\\phantom{P(V_2\cap F)}=0,4\times 0,35 \\\phantom{P(V_2\cap F)}=0,14 \\\\\Longrightarrow\boxed{P(V_2\cap F)=0,14}

3.  Nous devons déterminer P (F ).
Les événements  V_1 et  V_2  forment une partition de l'univers.
En utilisant la formule des probabilités totales, nous obtenons :

P(F)=P(V_1\cap F)+P(V_2\cap F) \\\phantom{P(F)}=P(V_1)\times P_{V_1}(F)+0,14 \\\phantom{P(F)}=0,6\times0,4+0,14 \\\phantom{P(F)}=0,24+0,14\\\phantom{P(F)}=0,38 \\\\\Longrightarrow\boxed{P(F)=0,38}

4.  Nous devons déterminer  P_F(V_2).

P_F(V_2)=\dfrac{P(V_2\cap F)}{P(F)}=\dfrac{0,14}{0,38}\Longrightarrow\boxed{P_F(V_2)\approx0,37}
Par conséquent, sachant que la pizza prélevée est une pizza 4 formages, la probabilité qu'elle soit vendue dans le second point de vente est environ égale à 0,37 (valeur arrondie au centième).

Partie B

Le laboratoire de cette entreprise produit des pizzas dont la masse, exprimée en grammes, peut être modélisée par une variable aléatoire X  qui suit la loi normale d'espérance mu = 400 et d'écart-type sigma = 12.

1.  Nous devons calculer  \overset{{\white{.}}}{P(388\le X\le 412)}.
A l'aide de la calculatrice, nous obtenons :  \overset{{\white{.}}}{P(388\le X\le 412)\approx0,68268949.}
Si le résultat est arrondi au millième, nous obtenons :  \overset{{\white{.}}}{\boxed{P(388\le X\le 412)\approx0,683}.}
Cela signifie qu'environ 68,3 % des pizzas produites par cette entreprise ont une masse comprise entre 388 g et 412 g.

2.  Nous devons déterminer  P(X\ge380)
A l'aide de la calculatrice, nous obtenons :  \overset{{\white{.}}}{P(X\ge380)\approx0,95220964.}
Par conséquent, la probabilité qu'une pizza choisie au hasard soit commercialisable est environ égale à 0,952.

Partie C

Après leur production, les pizzas doivent être livrées au point de vente V  depuis le laboratoire de production L  en passant par différents carrefours B, C, D, E, F  et G .

1.  Graphe pondéré représentant les différentes étapes possibles et le temps nécessaire pour les parcourir.

Bac STHR Nouvelle Calédonie 2020 : image 7


2.  Déterminons le parcours le plus rapide entre le laboratoire de production L  et le point de vente V .

Quatre trajets différents sont possibles pour aller de L  à V .
\overset{{\white{.}}}{{\white{w} }\bullet {\white{w}}L-B-C-E-V.}{\white{www}}Durée de ce trajet : 1 + 5 + 4 + 9 = 19 minutes.
\overset{{\white{.}}}{{\white{w} }\bullet {\white{w}}L-B-C-F-V.}{\white{www}}Durée de ce trajet : 1 + 5 + 6 + 4 = 16 minutes.
\overset{{\white{.}}}{{\white{w} }\bullet {\white{w}}L-B-D-F-V.}{\white{www}}Durée de ce trajet : 1 + 4 + 9 + 4 = 18 minutes.
\overset{{\white{.}}}{{\white{w} }\bullet {\white{w}}L-B-D-G-V.}{\white{www}}Durée de ce trajet : 1 + 4 + 7 + 6 = 18 minutes.

D'où, le parcours le plus rapide entre le laboratoire de production et le point de vente est : L - B - C - F - V.
La durée du parcours est de 16 minutes.

6 points

exercice 2

1.  Après une semaine de sensibilisation, on a constaté que la masse moyenne de déchets par repas est passée de 131 g à 124 g.

Le taux d'évolution, exprimé en pourcentage, entre deux valeurs est donné par la formule :  
\overset{{\white{.}}}{\dfrac{\text{valeur finale - valeur initiale}}{\text{valeur initiale}}\times100}.


Dès lors, le taux d'évolution correspondant à cette baisse est égal à :  \dfrac{124-131}{131}\times100=\dfrac{-7}{131}\times100\approx-5,3435
soit à environ -5,34 %.

2.  On suppose que pour les semaines qui suivent la masse moyenne de déchets par repas diminue de 5,3 % par semaine.
On note un  la masse moyenne de déchets par repas, exprimée en grammes, où n  représente le nombre de semaines écoulées après cette semaine de campagne de sensibilisation.
On a ainsi : u 0 = 124.

2. a)  Le coefficient multiplicateur correspondant à une diminution de 5,34 % est égal à 1 - 0,0534 = 0,9466.

\text{D'où }\ u_1=0,9466\times u_0 \\\phantom{\text{D'où }\ u_1}=0,9466\times 124 \\\phantom{\text{D'où }\ u_1}=117,3784. \\\\\Longrightarrow\boxed{u_1=117}\ (\text{valeur arrondie à l'unité})

2. b)  Le coefficient multiplicateur correspondant à une diminution de 5,34 % est égal à 1 - 0,0534 = 0,9466.
La masse moyenne de déchets par repas (n  + 1) semaines après la semaine de campagne de sensibilisation est égal à la masse moyenne de déchets par repas n  semaines après la semaine de campagne de sensibilisation multipliée par 0,9466, soit  \overset{{\white{.}}}{\boxed{u_{n+1}=0,9466\times u_n}}
Par conséquent, la suite (un ) est une suite géométrique de raison q  = 0,9466 dont le premier terme est u 0 = 124.

2.  c)  Le terme général de la suite (un ) est  \overset{{\white{.}}}{u_n=u_0\times q^{n}}.
Donc, pour tout entier naturel n  ,  \overset{{\white{w}}}{\boxed{u_n=124\times\left(0,9466\right)^{n}}}

2. d)  Déterminer combien de semaines seront nécessaires après cette semaine de campagne de sensibilisation, pour que la masse moyenne de déchets de ce lycée soit inférieure à 100 g revient à déterminer le plus petit entier naturel n  vérifiant l'inéquation  \overset{{\white{.}}}{u_n<100.}

u_n<100\Longleftrightarrow124\times\left(0,9466\right)^{n}<100  \\\\\phantom{u_n<100}\Longleftrightarrow\left(0,9466\right)^{n}<\dfrac{100}{124}  \\\\\phantom{u_n<100}\Longleftrightarrow\left(0,9466\right)^{n}<\dfrac{25}{31}  \\\\\phantom{u_n<100}\Longleftrightarrow\ln\left(0,9466\right)^{n}<\ln\left(\dfrac{25}{31}\right)  \\\\\phantom{u_n<100}\Longleftrightarrow  n\times\ln(0,9466)<\ln\left(\dfrac{25}{31}\right)  \\\\\phantom{u_n<100}\Longleftrightarrow n>\dfrac{\ln\left(\dfrac{25}{31}\right) }{\ln(0,9466)}\ [\text{changement se sens de l'inégalité car }\ln(0,9466)<0] \\\\\text{Or }\ \dfrac{\ln\left(\dfrac{25}{31}\right) }{\ln(0,9466)}\approx3,92
Donc, le plus petit entier naturel n  vérifiant l'inéquation  \overset{{\white{.}}}{u_n<100}  est n = 4.
Par conséquent, selon de modèle, la masse moyenne de déchets de ce lycée soit inférieure à 100 g après 4 semaines au-delà de la semaine de campagne de sensibilisation.

2. e)  Algorithme complété.

{\white{www}}\begin{array}{|c|}\hline N\longleftarrow0\ \ \ \ \ \ \ \ \ \ \ \ \ \ \ \ \ \ \ \ \ \ \ \\U\longleftarrow124\ \ \ \ \ \ \ \ \ \ \ \ \ \ \ \ \ \ \ \ \\\text{Tant que }U\,{\red{\ge100}}\ \ \text{faire}\ \ \ \ \\N\longleftarrow N+1\\\ \ \ \ \ \ \ \ U\longleftarrow\,{\red{0,9466\times U}}\\\text{Fin Tant que}\ \ \ \ \ \ \ \ \ \ \ \ \ \ \ \ \\\hline\end{array}

5 points

exercice 3

On considère la fonction f  définie sur l'intervalle [0 ; 25]. On note C  sa courbe représentative dans le plan muni d'un repère orthogonal.

Bac STHR Nouvelle Calédonie 2020 : image 8

1. a)  Avec la précision permise par le graphique, nous lisons que f(11) environegal 100.

1. b)  Les solutions de l'équation f (x ) = 0 sont les abscisses des points d'intersection de la courbe C  avec l'axe des abscisses.
Donc l'ensemble S des solutions de l'équation f (x ) = 0 est  \overset{{\white{.}}}{\boxed{S=\lbrace 6\,;\,24\rbrace.}}

2.  La fonction f  est définie sur l'intervalle [0 ; 25] par  f(x) = -1,5x^2+45x-215.

2. a)  La fonction f  est dérivable sur l'intervalle [0 ; 25] en tant que fonction polynôme.

f'(x) = -1,5(x^2)'+45x'-215' \\\phantom{f'(x) }= -1,5\times2x+45\times1-0 \\\\\Longrightarrow\boxed{f'(x)= -3x+45}

 {\red{2.\ \text{b) }}}\ -3x+45>0\Longleftrightarrow3x<45 \\\phantom{ {\red{2.\ \text{b) }}}\ -3x+45>0}\Longleftrightarrow x<15 \\\\\phantom{ {\red{2.\ \text{b) }}}\ }-3x+45=0\Longleftrightarrow 3x=45 \\\phantom{ {\red{2.\ \text{b) }}}\ -3x+45>0}\Longleftrightarrow x=15 \\\\\phantom{ {\red{2.\ \text{b) }}}\ }-3x+45<0\Longleftrightarrow 3x>45 \\\phantom{ {\red{2.\ \text{b) }}}\ -3x+45>0}\Longleftrightarrow x>15 \\\\\text{D'où }\ \boxed{\left\lbrace\begin{matrix}f'(x)>0\Longleftrightarrow x<15\\f'(x)=0\Longleftrightarrow x=15\\f'(x)<0\Longleftrightarrow x>15\end{matrix}\right.}

D'où le tableau de variations de la fonction f  :

\underline{\text{Calculs préliminaires}}:\bullet\ f(0)=-1,5\times0^2+45\times0-215=-215\\\phantom{\underline{\text{Calculs préliminaires}}:}\bullet\ f(15)=-1,5\times15^2+45\times15-215=122,5\\\phantom{\underline{\text{Calculs préliminaires}}:}\bullet\ f(25)=-1,5\times25^2+45\times255-215=-27,5\\\\\phantom{wwwwwwwwww}\begin{array}{|c|ccccc|}\hline&&&&&& x&0&&15&&25&&&&&&  \\\hline &&&&&&  f'(x)&&+&0&-&\\&&&&&\\\hline &&&122,5&&\\   f(x)&&\nearrow&&\searrow&\\&-215&&&&-27,5\\\hline \end{array}

2. c)  Nous déduisons du tableau de variations de la fonction f  que f  admet un maximum égal à 122,5.
Ce maximum est atteint pour x  = 15.
Publié le
ceci n'est qu'un extrait
Pour visualiser la totalité des cours vous devez vous inscrire / connecter (GRATUIT)
Inscription Gratuite se connecter
Merci à
Hiphigenie
/
malou Webmaster
pour avoir contribué à l'élaboration de cette fiche


Vous devez être membre accéder à ce service...

Pas encore inscrit ?

1 compte par personne, multi-compte interdit !

Ou identifiez-vous :


Rester sur la page

Inscription gratuite

Fiches en rapport

parmi 1768 fiches de maths

Désolé, votre version d'Internet Explorer est plus que périmée ! Merci de le mettre à jour ou de télécharger Firefox ou Google Chrome pour utiliser le site. Votre ordinateur vous remerciera !