Fiche de mathématiques
> >

Bac général spécialité maths Amérique du Sud jour 2

Novembre 2024

Partager :


L'usage de la calculatrice avec mode examen actif est autorisé.

L'usage de la calculatrice sans mémoire,  \ll  type collège  \gg  est autorisé.
5 points

exercice 1

Voici la répartition des principaux groupes sanguins des habitants de France :

Bac général spécialité maths 2024 Amérique du Sud jour 2 : image 1


A+, O+, B+, A-, O-, AB+, B- et AB- sont les différents groupes sanguins combinés aux rhésus.
Par exemple : A + est le groupe sanguin A de rhésus +.
Une expérience aléatoire consiste à choisir une personne au hasard dans la population française et à déterminer son groupe sanguin et son rhésus.
Dans l'exercice, on adopte les notations du type :
A + est l'évènement « la personne est de groupe sanguin A et de rhésus + »
A- est l'évènement « la personne est de groupe sanguin A et de rhésus - »
A est l'évènement « la personne est de groupe sanguin A »
Les parties 1 et 2 sont indépendantes.

Partie 1

On note Rh + l'évènement « La personne est de rhésus positif ».

1. Justifier que la probabilité que la personne choisie soit de rhésus positif est égale à 0,849.

2. Démontrer à l'aide des données de l'énoncé que  P_{Rh+}(A)=0,450  à 0,001 près.

3. Une personne se souvient que son groupe sanguin est AB mais a oublié son rhésus.
Quelle est la probabilité que son rhésus soit négatif ? Arrondir le résultat à 0,001 près.

Partie 2

Dans cette partie, les résultats seront arrondis à 0, 001 près.

Un donneur universel de sang est une personne de groupe sanguin O et de rhésus négatif.
On rappelle que 6,5 % de la population française est de groupe O-.

1. On considère 50 personnes choisies au hasard dans la population française et on note  X  la variable aléatoire qui compte le nombre de donneurs universels.

 \white w   a. Déterminer la probabilité que 8 personnes soient des donneurs universels. Justifier votre réponse.

 \white w   b. On considère la fonction ci-dessous nommée proba d'argument k écrite en langage Python.

Bac général spécialité maths 2024 Amérique du Sud jour 2 : image 5


Cette fonction utilise la fonction binomiale d'argument  i\,,\,n\text{ et }p , créée pour l'occasion, qui renvoie la valeur de la probabilité  P (X = i )  dans le cas où  X  suit une loi binomiale de paramètres  n  et  p .

Déterminer la valeur numérique renvoyée par la fonction proba lorsqu'on saisit  \text{proba}(8)  dans la console Python. Interpréter ce résultat dans le contexte de l'exercice.

2. Quel est le nombre minimal de personnes à choisir au hasard dans la population française pour que la probabilité qu'au moins une des personnes choisies soit donneur universel, soit supérieure à 0, 999.

5 points

exercice 2

Cet exercice contient 5 affirmations.
Pour chaque affirmation, répondre par VRAI ou FAUX en justifiant la réponse.
Toute absence de justification ou justification incorrecte ne sera pas prise en compte dans la notation.

Partie 1

On considère la suite  (u_n)  définie par :  u_0=10 \text{ et pour tout entier naturel }n, u_{n+1}=\dfrac 13 u_n+2. 

Affirmation 1 : La suite  (u_n)  est décroissante minorée par 0.

Affirmation 2 :  \lim\limits_{n\to +\infty}u_n=0. 

Affirmation 3 : la suite  (v_n)  définie pour tout entier naturel  n  par  v_n=u_n-3  est géométrique.

Partie 2

On considère l'équation différentielle  (E)\,:\,y'=\dfrac 32 y+2  d'inconnue  y , fonction définie et dérivable sur  \textbf R. 

1. Affirmation 4 : Il existe une fonction constante solution de l'équation différentielle  (E). 

2. Dans un repère orthonormé  (O\,;\,\overrightarrow i\,,\,\overrightarrow j)  on note  \mathcal C_f  la courbe représentative de la fonction  f  solution de  (E)  telle que  f(0)=0. 

Affirmation 5 : La tangente au point d'abscisse 1 de  \mathcal C_f  a pour coefficient directeur  2\text e^{\frac 32}. 

5 points

exercice 3

Partie 1

On considère la fonction  f  définie sur l'ensemble des nombres réels  \textbf R  par :  f(x)=(x^2-4)\text e^{-x}. 

On admet que la fonction  f  est dérivable sur  \textbf R  et on note  f'  sa fonction dérivée.

1. Déterminer les limites de la fonction  f  en  -\infty  et en  +\infty. 

2. Justifier que pour tout réel  x\,,\,f'(x)=(-x^2+2x+4)\text e^{-x}. 

3. En déduire les variations de  f  sur  \textbf R. 

Partie 2

On considère la suite  (I_n)  définie pour tout entier naturel  n  par  I_n=\begin{aligned}\int_{-2}^{0}{x^n\text e^{-x}}\;\text dx\end{aligned}. 

1. Justifier que  I_0=\text e^2-1. 

2. En utilisant une intégration par partie, démontrer l'égalité :  I_{n+1}=(-2)^{n+1}\text e^2 +(n+1)I_n . 

3. En déduire les valeurs exactes de  I_1  et de  I_2. 

Partie 3

1. Déterminer le signe sur  \textbf R  de la fonction  f  définie dans la partie 1.

2. On a représenté ci-après la courbe  \mathcal C_f  de la fonction  f  dans un repère orthonormé  (O\,;\,\overrightarrow i\,,\,\overrightarrow j) .
Bac général spécialité maths 2024 Amérique du Sud jour 2 : image 3

Le domaine D du plan hachuré est délimité par la courbe  \mathcal C_f  , l'axe des abscisses et l'axe des ordonnées.

Calculer la valeur exacte, en unité d'aire, de l'aire  S  du domaine  D .

5 points

exercice 4

L'espace est muni d'un repère orthonormé  (O\,;\,\overrightarrow i\,,\,\overrightarrow j\,,\,\overrightarrow k). 

On considère les trois points  A(3 ; 0 ; 0), B(0 ; 2 ; 0)\text{ et }C(0 ; 0 ; 2) .

Bac général spécialité maths 2024 Amérique du Sud jour 2 : image 4


L'objectif de cet exercice est de démontrer la propriété suivante :

« Le carré de l'aire du triangle ABC est égal à la somme des carrés des aires des trois autres faces du tétraèdre OABC ».

Partie 1 : Distance du point  O   au plan  (ABC) 

1. Démontrer que le vecteur  \overrightarrow n (2 ; 3 ; 3)  est normal au plan  (ABC) .

2. Démontrer qu'une équation cartésienne du plan  (ABC)  est :  2x + 3y + 3z - 6 = 0. 

3. Donner une représentation paramétrique de la droite d passant par  O   et de vecteur directeur  \overrightarrow n  .

4. On note  H  le point d'intersection de la droite  d  et du plan  (ABC) . Déterminer les coordonnées du point  H. 

5. En déduire que la distance du point  O  au plan  (ABC)   est égale à  \dfrac{3\sqrt{22}}{11} .

Partie 2 : Démonstration de la propriété

1. Démontrer que le volume du tétraèdre  OABC  est égal à 2.

2. En déduire que l'aire du triangle  ABC  est égale à  \sqrt{22}. 

3. Démontrer que pour le tétraèdre  OABC , « le carré de l'aire du triangle ABC est égal à la somme des carrés des aires des trois autres faces du tétraèdre ».

On rappelle que le volume d'un tétraèdre est donné par  V=\dfrac 13 B\times h  où  B  est l'aire d'une base du tétraèdre et  h  est la hauteur relative à cette base.




Bac général spécialité maths 2024 Amérique du Sud jour 2

Partager :



5 points

exercice 1

Voici la répartition des principaux groupes sanguins des habitants de France :

Bac général spécialité maths 2024 Amérique du Sud jour 2 : image 8

Une expérience aléatoire consiste à choisir une personne au hasard dans la population française et à déterminer son groupe sanguin et son rhésus.

Partie 1

On note Rh + l'événement « La personne est de rhésus positif ».

1.  Nous devons justifier que la probabilité que la personne choisie soit de rhésus positif est égale à 0,849.

Additionnons les pourcentages des personnes possédant un rhésus positif.

Nous obtenons 38,2 + 36,5 + 7,7 + 2,5 = 84,9.
Dès lors, 84,9 % des habitants de France sont de rhésus positif.

Par conséquent, la probabilité que la personne choisie soit de rhésus positif est égale à 0,849.

2.  Nous devons démontrer à l'aide des données de l'énoncé que  \overset{ { \white{ . } } } { P_{Rh+}(A)=0,450 }  à 0,001 près.

{ \white{ xxi } }P_{Rh+}(A)=\dfrac{P(Rh+\cap\; A)}{P(Rh+)} \\\overset{ { \phantom{ . } } } { \phantom{ P_{Rh+}(A)} =\dfrac{P(A+)}{P(Rh+)} } \\\overset{ { \phantom{ . } } } { \phantom{ P_{Rh+}(A)} =\dfrac{0,382}{0,849} } \\\overset{ { \phantom{ . } } } { \phantom{ P_{Rh+}(A)} \approx 0,450} \\\\\Longrightarrow\quad\boxed{P_{Rh+}(A) \approx 0,450}

3.  Une personne se souvient que son groupe sanguin est AB mais a oublié son rhésus.
Déterminons la probabilité que son rhésus soit négatif.

Nous devons déterminer  \overset{ { \white{ . } } } {P_{AB}(Rh-) \,. } 

{ \white{ xxi } }P_{AB}(Rh-)=\dfrac{P(AB\cap\,Rh-)}{P(AB)} \\\overset{ { \phantom{ . } } } { \phantom{ P_{Rh+}(A)} =\dfrac{P(AB-)}{P(AB)} } \\\overset{ { \phantom{ . } } } { \phantom{ P_{Rh+}(A)} =\dfrac{0,004}{0,029}\quad(\text{car } P(AB)=P(AB+)+P(AB-)}\\\phantom{WWWWWWWWWWWWW}=0,025+0,004=0,029) \\\overset{ { \phantom{ . } } } { \phantom{ P_{Rh+}(A)} \approx 0,138} \\\\\Longrightarrow\quad\boxed{P_{AB}(Rh-)\approx 0,138}

Par conséquent, la probabilité qu'une personne soit de rhésus négatif sachant que le groupe sanguin est AB, est environ égale à 0,138.


Partie 2

Dans cette partie, les résultats seront arrondis à 0, 001 près.

Un donneur universel de sang est une personne de groupe sanguin O et de rhésus négatif.
On rappelle que 6,5 % de la population française est de groupe O-.

1.  On considère 50 personnes choisies au hasard dans la population française et on note  \overset{ { \white{ _. } } } { X }  la variable aléatoire qui compte le nombre de donneurs universels.

1. a)  Déterminons la probabilité que 8 personnes soient des donneurs universels.

Nous pouvons supposer que ce choix peut être assimilé à 50 tirages indépendants avec remise.

Lors de cette expérience, on répète 50 fois des épreuves identiques et indépendantes.
Chaque épreuve comporte deux issues :
Succès : « la personne choisie est un donneur universel » dont la probabilité est  \overset{ { \white{ . } } } { p=0,065. } 
Echec : « la personne choisie n'est pas un donneur universel » dont la probabilité est  \overset{ { \white{ . } } } {1-p=0,935. } 
La variable aléatoire  \overset{ { \white{ _. } } } { X }   compte le nombre de donneurs universels, soit le nombre de succès à la fin de la répétition des épreuves.
D'où la variable aléatoire  \overset{ { \white{ _. } } } { X }   suit une loi binomiale  \overset{ { \white{ . } } }{ \mathscr{ B }\left(50\,;\,0,065\right) } .
Cette loi est donnée par :  \boxed{ P(X=k)=\begin{pmatrix}50\\k\end{pmatrix}\times\left(0,065\right)^k\times\left(0,935\right)^{ 50-k } } 

« la probabilité que 8 personnes soient des donneurs universels »  peut se traduire par :  \overset{ { \white{ . } } } { P(X=8). } 

{ \white{ xxi } }P(X=8)=\begin{pmatrix}50\\8\end{pmatrix}\times\left(0,065\right)^8\times\left(0,935\right)^{ 50-8} \\\overset{ { \phantom{ . } } } { \phantom{  P(X=8)}=\begin{pmatrix}50\\8\end{pmatrix}\times\left(0,065\right)^8\times\left(0,935\right)^{ 42} } \\\overset{ { \phantom{ . } } } { \phantom{  P(X=8)}\approx0,010} \\\\\Longrightarrow\boxed{P(X=8)\approx0,010}

D'où la probabilité que 8 personnes soient des donneurs universels est environ égale à 0,010.

1. b)  On considère la fonction ci-dessous nommée proba d'argument k écrite en langage Python.

Bac général spécialité maths 2024 Amérique du Sud jour 2 : image 7

Nous devons déterminer la valeur numérique renvoyée par la fonction proba lorsqu'on saisit  \overset{ { \white{ . } } } { \text{proba}(8) }  dans la console Python et interpréter ce résultat dans le contexte de l'exercice.

Lorsqu'on saisit  \overset{ { \white{ _. } } } { \text{proba}(8) } , la valeur numérique renvoyée par la fonction proba est la valeur de  \overset{ { \white{ . } } } { P(X\le 8). } 

Par la calculatrice, nous obtenons :  \overset{ { \white{ . } } } {P(X\le 8)\approx 0,995456.  } 

Par conséquent, la valeur numérique renvoyée par la fonction proba lorsqu'on saisit  \overset{ { \white{ . } } } { \text{proba}(8) }  dans la console Python est 0,995.

Dans le cadre de l'exercice, cela signifie que dans un échantillon de 50 personnes, la probabilité qu'il y ait au plus 8 personnes étant du groupe O- est égale à 0,995.

2.  Nous devons déterminer quel est le nombre minimal de personnes à choisir au hasard dans la population française pour que la probabilité qu'au moins une des personnes choisies soit donneur universel, soit supérieure à 0, 999.

Lors de cette expérience, on répète  \overset{ { \white{ . } } } { n }  fois des épreuves identiques et indépendantes.
Chaque épreuve comporte deux issues :
Succès : « la personne est donneur universel » dont la probabilité est  \overset{ { \white{ . } } } { p=0,065. } 
Echec : « la personne n'est pas donneur universel » dont la probabilité est  \overset{ { \white{ . } } } {1-p=0,935. } 
Soit la variable aléatoire  \overset{ { \white{ _. } } } { Y }   comptant le nombre de personnes donneurs universels sur les  \overset{ { \white{ . } } } { n }  personnes, soit le nombre de succès à la fin de la répétition des épreuves.
D'où la variable aléatoire  \overset{ { \white{ _. } } } { Y }   suit une loi binomiale  \overset{ { \white{ . } } }{ \mathscr{ B }\left(n\,;\,0,065\right) } .
Cette loi est donnée par :  \boxed{ P(Y=k)=\begin{pmatrix}n\\k\end{pmatrix}\times\left(0,065\right)^k\times\left(0,935\right)^{ n-k } } 

« la probabilité qu'au moins une des personnes choisies soit donneur universel, soit supérieure à 0, 999 »  peut se traduire par :  \overset{ { \white{ . } } } { P(Y\ge 1)>0,999. } 

Nous obtenons ainsi :

{ \white{ xxi } }P(Y\ge 1)>0,999\quad\Longleftrightarrow\quad 1- P(Y=0)>0,999 \\\overset{ { \phantom{ . } } } { \phantom{ P(Y\ge 1)>0,999}\quad\Longleftrightarrow\quad  -P(Y=0)>-0,001} \\\overset{ { \phantom{ . } } } { \phantom{ P(Y\ge 1)>0,999}\quad\Longleftrightarrow\quad  P(Y=0)<0,001} \\\overset{ { \phantom{ . } } } { \phantom{ P(Y\ge 1)>0,999}\quad\Longleftrightarrow\quad  \begin{pmatrix}n\\0\end{pmatrix}\times\left(0,065\right)^0\times\left(0,935\right)^{ n-0 }<0,001} \\\overset{ { \phantom{ . } } } { \phantom{ P(Y\ge 1)>0,999}\quad\Longleftrightarrow\quad  1\times1\times0,935^{ n }<0,001}
{ \white{ P(Y\ge 1)>0,999WWWWWWWWWWW } } \phantom{ P(Y\ge 1)>0,999888}\quad\Longleftrightarrow\quad0,935^{ n }<0,001 \\\overset{ { \phantom{ . } } } { \phantom{ P(Y\ge 1)>0,999888}\quad\Longleftrightarrow\quad \ln 0,935^{ n }<\ln 0,001} \\\overset{ { \phantom{ . } } } { \phantom{ P(Y\ge 1)>0,999888}\quad\Longleftrightarrow\quad n\times \ln 0,935<\ln 0,001} \\\overset{ { \phantom{ . } } } { \phantom{ P(Y\ge 1)>0,999888}\quad\Longleftrightarrow\quad n >\dfrac{\ln 0,001}{ \ln 0,935}}\quad(\text{changement de sens de l'inégalité car } \ln 0,935<0) \\\\\text{Or }\quad\dfrac{\ln 0,001}{ \ln0,935}\approx 102,78.

Le plus petit nombre entier  \overset{ { \white{ . } } } { n }   vérifiant cette inégalité est  \overset{ { \white{ _. } } } { n=103. } 

Par conséquent, il faut au moins 103 personnes pour que la probabilité qu'au moins une des personnes choisies soit donneur universel, soit supérieure à 0, 999.


5 points

exercice 2

Partie 1

On considère la suite  \overset{ { \white{ . } } } { (u_n) }  définie par :  \overset{ { \white{ . } } } { u_0=10 }  et pour tout entier naturel  \overset{ { \white{ . } } } {n,\quad u_{n+1}=\dfrac 13 u_n+2.  } 

Affirmation 1 : La suite  \overset{ { \white{ . } } } { (u_n) }  est décroissante minorée par 0. -  Affirmation vraie.

Démontrons par récurrence que pour tout entier naturel  \overset{ { \white{ O. } } } { n, }  nous avons : \overset{ { \white{ . } } } {  0\le u_{n+1}\le u_n.  }

Initialisation  : Montrons que la propriété est vraie pour \overset{ { \white{ _. } } } { n=0 } , soit que   \overset{{\white{.}}}{0\le u_{1}\le u_0.}
C'est une évidence car  \overset{{\white{.}}}{\left\lbrace\begin{matrix}u_0=10\phantom{WWWWWWWxW}\\ \overset{ { \phantom{ . } } } {   u_1=\dfrac13\times10+2= \dfrac{16}{3}\approx5,3}\end{matrix}\right.}\quad\Longrightarrow\quad \boxed{0\le u_{1}\le u_0}
Donc l'initialisation est vraie.

Hérédité  : Montrons que si pour un nombre naturel \overset{ { \white{ . } } } { n } fixé, la propriété est vraie au rang \overset{ { \white{ . } } } { n } , alors elle est encore vraie au rang \overset{ { \white{ . } } } { (n+1). }
Montrons donc que si pour un nombre naturel \overset{ { \white{ . } } } { n }   fixé,   \overset{{\white{.}}}{ 0\le u_{n+1}\le u_n}  , alors   \overset{{\white{.}}}{0\le u_{n+2}\le u_{n+1} .}

En effet, pour tout entier naturel  \overset{ { \white{ O. } } } { n, }

{ \white{ xxi } }0\le u_{n+1}\le u_n\quad\Longrightarrow\quad  0\le \dfrac 13\,u_{n+1}\le \dfrac 13\,u_n  \\\overset{ { \phantom{ . } } } { \phantom{0\le u_{n+1}\le u_n }\quad\Longrightarrow\quad  2\le \dfrac 13\,u_{n+1}+2\le \dfrac 13\,u_n +2  } \\\overset{ { \white{ . } } } { \phantom{0\le u_{n+1}\le u_n }\quad\Longrightarrow\quad  2\le u_{n+2}\le u_{n+1}  }  \\\overset{ { \white{ . } } } { \phantom{0\le u_{n+1}\le u_n }\quad\Longrightarrow\quad  \boxed{0\le u_{n+2}\le u_{n+1}  }}

L'hérédité est vraie.

Puisque l'initialisation et l'hérédité sont vraies, nous avons montré par récurrence que pour tout entier naturel  \overset{ { \white{ O. } } } { n, }  nous avons :  \overset{ { \white{ . } } } { \boxed{0\le u_{n+1}\le u_n}\,. } 

Par conséquent, la suite  \overset{ { \white{ . } } } { (u_n) }  est décroissante minorée par 0.
L'affirmation 1 est donc vraie.


Affirmation 2 :  \overset{ { \white{ W. } } } { \lim\limits_{n\to +\infty}u_n=0.  } -  Affirmation fausse.

Nous savons par l'affirmation 1. que la suite  \overset{ { \white{ . } } } { (u_n) }  est décroissante et minorée par 0.
D'après le théorème de convergence monotone, nous en déduisons que la suite  \overset{ { \white{ . } } } { (u_n) }  est convergente.

Déterminons la limite de la suite  \overset{ { \white{ . } } } { (u_n). } 

Soit la fonction  \overset{ { \white{ . } } } { f }  définie sur  \overset{ { \white{ _. } } } { \R }  par  \overset{ { \white{ . } } } { f(x)=\dfrac 13\,x+2. } 

La fonction  \overset{ { \white{ . } } } { f }  est continue sur  \overset{ { \white{ _. } } } { \R. } 
La suite  \overset{ { \white{ . } } } { (u_n) }  est définie par la relation de récurrence :  \overset{ { \white{ . } } } { u_{n+1}=f(u_n). } 
Nous savons que la suite  \overset{ { \white{ . } } } { (u_n) }  est convergente vers une limite notée  \overset{{\white{_.}}}{\ell} .
Selon le théorème du point fixe, nous déduisons que  \overset{{\white{_.}}}{\ell}  vérifie la relation \overset{{\white{.}}}{\ell=f(\ell).}

Dès lors,  \overset{ { \white{ . } } } { \ell }  est solution de l'équation  \overset{ { \white{ . } } } { x=f(x). } 
Résolvons l'équation  \overset{ { \white{ . } } } { x=f(x) }  dans  \overset{ { \white{ . } } } { \R. } 

{ \white{ xxi } }x=f(x)\quad\Longleftrightarrow\quad x=\dfrac13\,x+2 \\\overset{ { \phantom{ . } } } { \phantom{ x=f(x)} \quad\Longleftrightarrow\quad \dfrac23\,x=2} \\\overset{ { \phantom{ . } } } { \phantom{ x=f(x)} \quad\Longleftrightarrow\quad x=2\times\dfrac32} \\\overset{ { \phantom{ . } } } { \phantom{ x=f(x)} \quad\Longleftrightarrow\quad \boxed{x=3}}

Par conséquent,  \overset{ { \white{ . } } } {\boxed{\lim\limits_{n\to+\infty}u_n=3}}
L'affirmation 2 est donc fausse.


Affirmation 3 : La suite  \overset{ { \white{ . } } } { (v_n)  }  définie pour tout entier  \overset{ { \white{ . } } } { n  }  par  \overset{ { \white{ . } } } { v_n=u_n-3  }  est géométrique. -  Affirmation vraie.

{ \white{ xxi } }v_{n+1}=u_{n+1}-3 \\ \overset{ { \phantom{ . } } } { \phantom{v_{n+1}}=\left(\dfrac13\,u_n+2\right)-3} \\ \overset{ { \phantom{ . } } } { \phantom{v_{n+1}}=\dfrac13\,u_n-1} \\ \overset{ { \phantom{ . } } } { \phantom{v_{n+1}}=\dfrac13\,u_n-\dfrac13\times3} \\ \overset{ { \phantom{ . } } } { \phantom{v_{n+1}}=\dfrac13\,(u_n-3)} \\ \overset{ { \phantom{ . } } } { \phantom{v_{n+1}}=\dfrac13\,v_n} \\\\\Longrightarrow\boxed{v_{n+1}=\dfrac13\,v_n} \\\\\underline{ \text{Remarque}}:v_0=u_0-3=10-3\Longrightarrow\boxed{v_0=7}

Par conséquent, la suite  \overset{ { \white{ . } } } { (v_n)  } est une suite géométrique de raison  \overset{ { \white{ . } } } { \dfrac 13 }  dont le premier terme est  \overset{ { \white{ . } } } { v_0=7. } 
L'affirmation 3 est donc vraie.


Partie 2

On considère l'équation différentielle  \overset{ { \white{ . } } } { (E):\,y'=\dfrac 32 y+2 }  d'inconnue  \overset{ { \white{ . } } } { y\,, }  fonction définie et dérivable sur  \overset{ { \white{ . } } } {\R.  } 

1.  Affirmation 4 : Il existe une fonction constante solution de l'équation différentielle  \overset{ { \white{ . } } } { (E). }  -  Affirmation vraie.

Soit  \overset{ { \white{ . } } } { g }  la fonction définie sur  \overset{ { \white{ _. } } } {\R  }  par  \overset{ { \white{ . } } } { g(x)=k\quad(k\in\R). } 
La fonction constante g est solution de l'équation  \overset{ { \white{ . } } } { (E)  }  si  \overset{ { \white{ . } } } { g'(x)=\dfrac 32\, g(x)+2 } 

\text{Or }\quad g'(x)=\dfrac 32\, g(x)+2\quad\Longleftrightarrow\quad k'=\dfrac 32\, k+2 \\\overset{ { \phantom{ . } } } { \phantom{ \text{Or }\quad f'(x)=\dfrac 32\, f(x)+2} \quad\Longleftrightarrow\quad 0=\dfrac 32\, k+2} \\\overset{ { \phantom{ . } } } { \phantom{ \text{Or }\quad f'(x)=\dfrac 32\, f(x)+2} \quad\Longleftrightarrow\quad \dfrac 32\, k=-2} \\\overset{ { \phantom{ . } } } { \phantom{ \text{Or }\quad f'(x)=\dfrac 32\, f(x)+2} \quad\Longleftrightarrow\quad  k=-2\times\dfrac 23} \\\overset{ { \phantom{ . } } } { \phantom{ \text{Or }\quad f'(x)=\dfrac 32\, f(x)+2} \quad\Longleftrightarrow\quad  \boxed{k=-\dfrac 43}}

Par conséquent, il existe une fonction constante solution de l'équation différentielle  \overset{ { \white{ . } } } { (E) } , à savoir la fonction  \overset{ { \white{ . } } } { g }  définie sur  \overset{ { \white{ _. } } } {\R  }  par  \overset{ { \white{ . } } } { g(x)=-\dfrac 43. } 
L'affirmation 4 est donc vraie.


2.  Dans un repère orthonormé  \overset{ { \white{ _. } } } {(O\,;\,\overrightarrow i\,,\,\overrightarrow j)\,,  }  on note  \overset{ { \white{ . } } } { \mathcal C_f }  la courbe représentative de la fonction  \overset{ { \white{ . } } } { f }  solution de  \overset{ { \white{ . } } } { (E) }  telle que  \overset{ { \white{ . } } } { f(0)=0. } 

Affirmation 5 : La tangente au point d'abscisse 1 de  \overset{ { \white{ . } } } { \mathcal C_f   } a pour coefficient directeur  \underset{ { \white{'' } } } {  2\text e^{\frac 32}. }  -  Affirmation vraie.

Le coefficient directeur de la tangente au point d'abscisse 1 de  \overset{ { \white{ . } } } { \mathcal C_f   } se détermine par  \overset{ { \white{ . } } } { \boxed{f'(1)}\,. }  Rappelons l'équation différentielle  \overset{ { \white{ . } } } { (E)\,:\,y'=\dfrac 32 y+2. }

  La solution générale d'une équation différentielle de la forme  \overset{{\white{.}}}{y'=ay+b}  est  y=k\,\text{e}^{at}-\dfrac{b}{a}\ \ \ \ \ (k\in\R).

Dans ce cas,  \overset{ { \white{ . } } } { a=\dfrac 32 }   et  \overset{ { \white{ . } } } { b=2. } 
Il s'ensuit que  \overset{ { \white{ . } } } { -\dfrac b a =-\dfrac{2}{\frac 32} =-\dfrac{4}{3}.} 

D'où la solution générale de l'équation  \overset{ { \white{ . } } } { (E)}  s'écrit  \boxed{y(x)=k\,\text{e}^{\frac 32x}-\dfrac 43\ (k\in\R)}

Déterminons l'expression algébrique de la fonction  \overset{ { \white{ . } } } { f }  solution de  \overset{ { \white{ . } } } { (E) }  telle que  \overset{ { \white{ . } } } { f(0)=0. } 

{ \white{ xxi } }f(0)=0\quad\Longleftrightarrow\quad k\,\text{e}^{\frac 32\times0}-\dfrac 43=0 \\\overset{ { \phantom{ . } } } { \phantom{  f(0)=210}\quad\Longleftrightarrow\quad k-\dfrac 4 3=0 } \\\overset{ { \phantom{ . } } } { \phantom{  f(0)=210}\quad\Longleftrightarrow\quad \boxed{k=\dfrac 43 }}

Par conséquent, la fonction  \overset{ { \white{ . } } } { f }  est définie par  \overset{ { \white{ . } } } { \boxed{f(x)=\dfrac 43\,\,\text{e}^{\frac 32x}-\dfrac 43}\,. } 

Dès lors, nous obtenons :

{ \white{ xxi } }f'(x)=\dfrac 43\times\dfrac 32\,\text{e}^{\frac 32x}-0\quad\Longrightarrow\quad f'(x)=2\,\text{e}^{\frac 32x} \\\overset{ { \phantom{ . } } } { \phantom{  f'(x)=\dfrac 43\times\dfrac 32\,\text{e}^{\frac 32x}-0}\quad\Longrightarrow\quad \boxed{f'(1)=2\,\text{e}^{\frac 32}}}

Par conséquent, la tangente au point d'abscisse 1 de  \overset{ { \white{ . } } } { \mathcal C_f   } a pour coefficient directeur  \underset{ { \white{ } } } {  2\text e^{\frac 32}. } 
L'affirmation 5 est donc vraie.


5 points

exercice 3

Partie 1

On considère la fonction  \overset{ { \white{ . } } } { f }  définie sur l'ensemble des nombres réels  \overset{ { \white{ _. } } } {\R  }  par :  \overset{ { \white{ . } } } { f(x)=(x^2-4)\text e^{-x}. } 

On admet que la fonction  \overset{ { \white{ . } } } { f }  est dérivable sur  \overset{ { \white{ _. } } } {\R . } 

1.  Nous devons déterminer les limites de la fonction  \overset{ { \white{ . } } } { f }  en  \overset{ { \white{ . } } } { -\infty }  et en  \overset{ { \white{ . } } } { +\infty . } 

\overset{ { \white{ . } } }{\bullet}{\white{x}} Calculons  \overset{ { \white{P . } } } { \lim\limits_{x\to -\infty}f(x). }

{ \white{ xxi } }\left\lbrace\begin{matrix}\lim\limits_{x\to -\infty}(x^2-4)=+\infty\phantom{WWWW}\\\lim\limits_{x\to -\infty}\text e^{-x}=\lim\limits_{X\to +\infty}\text e^{X}=+\infty\end{matrix}\right.\quad\Longrightarrow\quad \lim\limits_{x\to -\infty}(x^2-4)\,\text e^{-x}=+\infty  \\\overset{ { \phantom{ . } } } { \phantom{ \left\lbrace\begin{matrix}\lim\limits_{x\to -\infty}(x^2-4)=+\infty\phantom{WWWW}\\\lim\limits_{x\to -\infty}\text e^{-x}=\lim\limits_{X\to +\infty}\text e^{X}=+\infty\end{matrix}\right.}\quad\Longrightarrow\quad \boxed{\lim\limits_{x\to -\infty}f(x)=+\infty}   }

\overset{ { \white{ . } } }{\bullet}{\white{x}} Calculons  \overset{ { \white{P . } } } { \lim\limits_{x\to +\infty}f(x). }

{ \white{ xxi } }f(x)=(x^2-4)\,\text e^{-x}=\dfrac{x^2-4}{\text e^x}\quad\Longrightarrow\quad \boxed{f(x)=\dfrac{x^2}{\text e^x}-\dfrac{4}{\text e^x}} \\\\\left\lbrace\begin{matrix}\lim\limits_{x\to+\infty}\dfrac{x^2}{\text e^x}=0\quad(\text{croissances comparées})\\\lim\limits_{x\to+\infty}\text e^x=+\infty\quad\Longrightarrow\lim\limits_{x\to+\infty}\dfrac{4}{\text e^x}=0\end{matrix}\right.\quad\Longrightarrow\quad \lim\limits_{x\to+\infty}\left(\dfrac{x^2}{\text e^x}-\dfrac{4}{\text e^x}\right)=0 \\\overset{ { \phantom{ . } } } { \phantom{  \left\lbrace\begin{matrix}\lim\limits_{x\to+\infty}\dfrac{x^2}{\text e^x}=0\quad(\text{croissances comparées})\\\lim\limits_{x\to+\infty}\text e^x=+\infty\quad\Longrightarrow\lim\limits_{x\to+\infty}\dfrac{4}{\text e^x}=0\end{matrix}\right.}\quad\Longrightarrow\quad\boxed{ \lim\limits_{x\to+\infty}f(x)=0 }}


2.  Nous devons justifier que pour tout réel  \overset{ { \white{ . } } } { x\,,\,f'(x)=(-x^2+2x+4)\,\text e^{-x}.  } 

Pour tout réel  \overset{ { \white{ . } } } { x\,, } 

{ \white{ xxi } }f'(x)=(x^2-4)'\times\,\text e^{-x}+(x^2-4)\times(\text e^{-x})' \\\overset{ { \phantom{ . } } } { \phantom{   f'(x)}=2x\times\text e^{-x}+(x^2-4)\times(-\text e^{-x})} \\\overset{ { \phantom{ . } } } { \phantom{   f'(x)}=2x\,\text e^{-x}-(x^2-4)\,\text e^{-x}} \\\overset{ { \phantom{ . } } } { \phantom{   f'(x)}=(2x-x^2+4)\,\text e^{-x}} \\\\\Longrightarrow\quad\boxed{\forall\,x\in\R,\quad f'(x)=(-x^2+2x+4)\,\text e^{-x}}

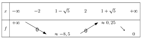
3.  Nous devons en déduire les variations de  \overset{ { \white{ . } } } {f  }  sur  \overset{ { \white{ _. } } } { \R. } 

Puisque l'exponentielle est strictement positive sur  \overset{ { \white{ _. } } } { \R, }  le signe de  \overset{ { \white{ . } } } { f'(x) }  est le signe du trinôme du second degré  \overset{ { \white{ . } } } { (-x^2+2x+4). } 

Discriminant du trinôme :  \overset{ { \white{ . } } } { \Delta=2^2-4\times(-1)\times4=4+16=20>0 } 

Racines du trinôme :

{ \white{ xxi } }x_1= \dfrac{-2-\sqrt{20}}{-2}= \dfrac{2+2\sqrt 5}{2}=\dfrac{2(1+\sqrt 5)}{2}=1+\sqrt5\quad\Longrightarrow\quad \boxed{x_1=1+\sqrt 5} \\\\x_2= \dfrac{-2+\sqrt{20}}{-2}= \dfrac{2-2\sqrt 5}{2}=\dfrac{2(1-\sqrt 5)}{2}=1-\sqrt5\quad\Longrightarrow\quad \boxed{x_2=1-\sqrt 5}

Tableau de signes de  \overset{ { \white{ . } } } {-x^2+2x+4 : } 

{ \white{ WWWWWWW} }\begin{array}{|c|ccccccc|}\hline &&&&&&&&x&-\infty&&1-\sqrt 5&&1+\sqrt 5&&+\infty &&&&&&&& \\\hline &&&&&&&\\-x^2+2x+4&&-&0&+&0&-&\\&&&&&&&\\\hline \end{array}

Nous en déduisons le tableau de variations de  \overset{ { \white{ . } } } {f  }  sur  \overset{ { \white{ _. } } } { \R. } 

{ \white{ WWWWWWW} }\begin{array}{|c|ccccccc|}\hline &&&&&&&&x&-\infty&&1-\sqrt 5&&1+\sqrt 5&&+\infty &&&&&&&& \\\hline &&&&&&&\\f'(x)&&-&0&+&0&-&\\&&&&&&&\\\hline &+\infty&&&&\approx0,25&&\\f &&\searrow&&\nearrow&&\searrow& \\&&&\approx-8,5&&&&0\\\hline \end{array}


Partie 2

On considère la suite  \overset{ { \white{ . } } } { (I_n) }  définie pour tout entier naturel  \overset{ { \white{. } } } { n }  par  \overset{ { \white{ . } } } { I_n=\begin{aligned}\int_{-2}^{0}{x^n\text e^{-x}}\;\text dx\end{aligned}.}

1.  Nous devons justifier que  \overset{ { \white{ _. } } } { I_0=\text e^2-1.  } 

{ \white{ xxi } }I_0=\displaystyle\int_{-2}^0 x^0\,\text e^{-x}\text dx \\\overset{ { \phantom{ . } } } { \phantom{I_0 } =\displaystyle\int_{-2}^0 \,\text e^{-x}\text dx } \\\overset{ { \phantom{ . } } } { \phantom{I_0 } =\Big[-\text e^{-x}\Big]_{-2}^0 } \\\overset{ { \phantom{ . } } } { \phantom{I_0 } =(-\text e^{0})-(-\text e^{-(-2)}) } \\\overset{ { \phantom{ . } } } { \phantom{I_0 } =-1+\text e^{2} } \\\\\Longrightarrow\quad\boxed{I_0=\text e^{2}-1 }

2.  En utilisant une intégration par parties, nous devons démontrer l'égalité :  \overset{ { \white{ . } } } { I_{n+1}=(-2)^{n+1}\text e^2 +(n+1)I_n .   } 

Calculons  \overset{ { \white{ . } } } {  I_{n+1}=\displaystyle\int_{-2}^{0}{x^{n+1}\,\text e^{-x}}\;\text dx. } 

\underline{\text{Formule de l'intégrale par parties}}\ :\ {\blue{\displaystyle\int_{-2}^{0}u(x)v'(x)\,\text{d}x=\Big[u(x)v(x)\Big]_{-2}^{0}- \displaystyle\int_{-2}^{0}u'(x)v(x)\,\text{d}x}}.  \\ \\ \left\lbrace\begin{matrix}u(x)=x^{n+1}\quad\Longrightarrow\quad u'(x)=(n+1)\,x^n \\\\v'(x)=\text e^{-x}\phantom{}\quad\Longrightarrow\quad v(x)=-\text e^{-x}\phantom{Ww}\end{matrix}\right.

\text{Dès lors }\;\overset{ { \white{ . } } } { I_{n+1}=\Big[-x^{n+1}\,\text e^{-x}\Big]_{-2}^{0}-\displaystyle\int_{-2}^{0}(n+1)\,x^n\times(-\text{e}^{-x})\,\text{d}x} \\\overset{ { \white{ . } } } {\phantom{WWWWwW}=\Big[x^{n+1}\,\text e^{-x}\Big]_{0}^{-2}+(n+1)\displaystyle\int_{-2}^{0}x^n\,\text{e}^{-x}\,\text{d}x}  \\\overset{ { \phantom{ . } } } {\phantom{WWWWwW}=\Big((-2)^{n+1}\,\text e^{-(-2)}-0\Big)+(n+1)\,I_n} \\\overset{ { \phantom{ . } } } {\phantom{WWWWwW}=(-2)^{n+1}\,\text e^{2}+(n+1)\,I_n} \\\\\Longrightarrow\quad\boxed{I_{n+1}=(-2)^{n+1}\,\text e^{2}+(n+1)\,I_n}

3.  Nous devons en déduire les valeurs exactes de  \overset{ { \white{ . } } } { I_1 }  et de  \overset{ { \white{ . } } } {  I_2.} 

Nous savons par la question 1 que  \overset{ { \white{ _. } } } { \boxed{I_0=\text e^2-1}\,.  } 

En utilisant l'égalité de la question précédente avec successivement  \overset{ { \white{ . } } } { n=0 }  et  \overset{ { \white{ . } } } { n=1 } , nous obtenons :

{ \white{ xxi } }I_{1}=(-2)^{0+1}\,\text e^2 +(0+1)I_0 \quad\quad(n=0) \\\overset{ { \phantom{ . } } } { \phantom{ I_{1} } =(-2)\,\text e^2 +I_0  } \\\overset{ { \phantom{ . } } } { \phantom{ I_{1} } =-2\,\text e^2 +\text e^2-1  } \\\overset{ { \phantom{ . } } } { \phantom{ I_{1} } =-\,\text e^2 -1  } \\\\\Longrightarrow\quad\boxed{ I_{1}=-\,\text e^2 -1  }

{ \white{ xxi } }I_{2}=(-2)^{1+1}\,\text e^2 +(1+1)I_1  \quad\quad(n=1) \\\overset{ { \phantom{ . } } } { \phantom{ I_{2} } =(-2)^2\,\text e^2 +2\,I_1 } \\\overset{ { \phantom{ . } } } { \phantom{ I_{2} } =4\,\text e^2 +2(-\text e^2-1)  } \\\overset{ { \phantom{ . } } } { \phantom{ I_{2} } =4\,\text e^2 -2\,\text e^2-2  } \\\overset{ { \phantom{ . } } } { \phantom{ I_{2} } =2\,\text e^2 -2  } \\\\\Longrightarrow\quad\boxed{ I_{2}=2\,\text e^2 -2  }


Partie 3

1.  Nous devons déterminer le signe sur  \overset{ { \white{ _. } } } { \R }  de la fonction  \overset{ { \white{ . } } } { f }  définie dans la partie 1.

Résolvons dans  \overset{ { \white{ _. } } } { \R }  l'équation  \overset{ { \white{ . } } } { f(x)=0 } 

{ \white{ xxi } }f(x)=0\quad\Longleftrightarrow\quad (x^2-4)\,\text e^{-x}=0 \\\overset{ { \phantom{ . } } } { \phantom{ f(x)=0 }\quad\Longleftrightarrow\quad x^2-4=0\quad\text{(car }\text e^{-x}\neq 0\quad\forall\,x\in\R) } \\\overset{ { \phantom{ . } } } { \phantom{ f(x)=0 }\quad\Longleftrightarrow\quad x^2=4} \\\overset{ { \phantom{ . } } } { \phantom{ f(x)=0 }\quad\Longleftrightarrow\quad x=2\quad\text{ou}\quad x=-2}

D'où l'ensemble des solutions de l'équation  \overset{ { \white{ . } } } { f(x)=0 }  est  \overset{ { \white{ . } } } {\boxed{ S=\lbrace -2\;;\;2\rbrace }} 

Complétons alors le tableau de variations de  \overset{ { \white{ . } } } {f  }  sur  \overset{ { \white{ _. } } } { \R. } 

Bac général spécialité maths 2024 Amérique du Sud jour 2 : image 9


Nous pouvons en déduire le signe sur  \overset{ { \white{ _. } } } { \R }  de la fonction  \overset{ { \white{ . } } } { f. } 

 { \white{ WWWWW} }\begin{array}{|c|ccccccccccc|}\hline &&&&&&&&&&&&x&-\infty&&-2&&&&2&&&&+\infty &&&&&&&&&&&& \\\hline &&&&&&&&&&&\\f(x) &&+&0&&-&&0&&+&&0 \\&&&&&&&&&&&\\\hline \end{array}

2.  Le domaine  \overset{ { \white{ _. } } } { D }  du plan hachuré est délimité par la courbe  \overset{ { \white{ . } } } { \mathcal C_f\,, }  l'axe des abscisses et l'axe des ordonnées.

Bac général spécialité maths 2024 Amérique du Sud jour 2 : image 6

Nous devons calculer la valeur exacte, en unité d'aire, de l'aire  \overset{ { \white{ _. } } } {S  }  du domaine  \overset{ { \white{ _. } } } { D } .

Par le tableau de signes de la fonction  \overset{ { \white{ . } } } { f, }  nous observons que pour tout  \overset{ { \white{ . } } } { x\in[-2\,;\;0],\quad f(x)\le0. } 

Dès lors,

{ \white{ xxi } }S=-\displaystyle\int_{-2}^0 f(x)\text dx \\\overset{ { \phantom{ . } } } { \phantom{ S} =-\displaystyle\int_{-2}^0 (x^2-4)\,\text e^{-x}\text dx } \\\overset{ { \phantom{ . } } } { \phantom{ S} =-\displaystyle\int_{-2}^0 x^2\,\text e^{-x}\text dx +\displaystyle\int_{-2}^0 4\,\text e^{-x}\text dx } \\\overset{ { \phantom{ . } } } { \phantom{ S} =-\displaystyle\int_{-2}^0 x^2\,\text e^{-x}\text dx +4\displaystyle\int_{-2}^0 \text e^{-x}\text dx } \\\overset{ { \phantom{ . } } } { \phantom{ S} =-I_2 +4I_0 }

{ \white{ xxi } }\\\overset{ { \phantom{ . } } } { \phantom{ S} =-(2\,\text e^2-2)+4(\text e^2-1) } \\\overset{ { \phantom{ . } } } { \phantom{ S} =-2\,\text e^2+2+4\,\text e^2-4 } \\\overset{ { \phantom{ . } } } { \phantom{ S} =2\,\text e^2-2 } \\\\\Longrightarrow\quad\boxed{S=2\,\text e^2-2 \approx12,78\,\text{u.a.}}


5 points

exercice 4

L'espace est muni d'un repère orthonormé  \overset{ { \white{ _. } } } {  (O\,;\,\overrightarrow i\,,\,\overrightarrow j\,,\,\overrightarrow k).  }

On considère les trois points  \overset{ { \white{ . } } } { A(3 ; 0 ; 0), B(0 ; 2 ; 0) }  et  \overset{ { \white{ . } } } { C(0 ; 0 ; 2) . } 

Partie 1 : Distance du point  \overset{ { \white{ . } } } { O }  au plan  \overset{ { \white{ . } } } { (ABC) } 

1.  Démontrons que le vecteur  \overset{ { \white{ . } } } {\overrightarrow n\begin{pmatrix} 2\\3 \\ 3 \end{pmatrix}}  est normal au plan  \overset{ { \white{ . } } } { (ABC) . } 

\overset{ { \white{ . } } }{\bullet}{\white{x}}Les points  \overset{ { \white{ . } } } {  A, B \text{ et } C }  ne sont pas alignés.
Ils déterminent donc le plan  \overset{ { \white{ . } } } {ABC).  } 

\overset{ { \white{ . } } }{\bullet}{\white{x}}Vérifions si le vecteur  \overset{ { \white{ . } } } { \overrightarrow n\begin{pmatrix} 2\\3 \\ 3 \end{pmatrix} }  est orthogonal aux deux vecteurs   { \overrightarrow{AB} }  et   { \overrightarrow{AC}. } 

\left\lbrace\begin{matrix}A(3 ; 0 ; 0)\\ B(0 ; 2 ; 0)\end{matrix}\right\quad\Longrightarrow\quad\overrightarrow {AB}\begin{pmatrix}0-3\\ 2-0\\0-0\end{pmatrix}\quad\Longrightarrow\quad\boxed{\overrightarrow {AB}\begin{pmatrix}-3\\ 2\\0\end{pmatrix}} \\\\\left\lbrace\begin{matrix}A(3 ; 0 ; 0)\\ C(0 ; 0 ;2)\end{matrix}\right\quad\Longrightarrow\quad\overrightarrow {AC}\begin{pmatrix}0-3\\ 0-0\\2-0\end{pmatrix}\quad\Longrightarrow\quad\boxed{\overrightarrow {AC}\begin{pmatrix}-3\\ 0\\2\end{pmatrix}}

{ \white{ xxi } }\overset{ { \white{ . } } }{\bullet\bullet}{\white{x}}\vec n\cdot\overrightarrow {AB} =2\times (-3)+3\times2+3\times0\\\phantom{WWWxW}=-6+6+0\\\phantom{WWWxW}=0 \\\\\Longrightarrow\quad \boxed{\vec n\perp\overrightarrow {AB}}

{ \white{ xxi } }\overset{ { \white{ . } } }{\bullet\bullet}{\white{x}}\vec n\cdot\overrightarrow {AC} =2\times (-3)+3\times0+3\times2\\\phantom{WWWxW}=-6+0+6\\\phantom{WWWxW}=0 \\\\\Longrightarrow\quad \boxed{\vec n\perp\overrightarrow {AC}}

Le vecteur  \overset{ { \white{ . } } } { \overrightarrow n }  est donc orthogonal aux deux vecteurs non colinéaires   { \overrightarrow{AB} }  et   { \overrightarrow{AC}. } 
Par conséquent, le vecteur  \overset{ { \white{ . } } } { \overrightarrow n\begin{pmatrix} 2\\3 \\ 3 \end{pmatrix} }  est normal au plan  \overset{ { \white{ . } } } {  (ABC).  } 


2.  Démontrons qu'une équation cartésienne du plan  \overset{ { \white{ . } } } { (ABC) }  est :  \overset{ { \white{ . } } } { 2x + 3y + 3z - 6 = 0.  } 

Nous avons montré que le vecteur  \overset{ { \white{ . } } } { \vec n\begin{pmatrix}2\\3\\3\end{pmatrix} }  est un vecteur normal au plan  \overset{ { \white{ . } } } {(ABC).  } 
D'où l'équation du plan  \overset{ { \white{ . } } } {(ABC) }  est de la forme  \overset{ { \white{ . } } } {2x+3y+3z+d=0 }  où  \overset{ { \white{ _. } } } {d }  est un nombre réel.

Nous savons que  \overset{ { \white{ . } } } {A(3\;;\;0\;;\;0) }  appartient à ce plan.
Donc  \overset{ { \white{ . } } } {2\times3+3\times0+3\times0+d=0, }  soit  \overset{ { \white{ _. } } } {d=-6. } 

Par conséquent, une équation cartésienne du plan  \overset{ { \white{ . } } } {(ABC) }  est  \overset{ { \white{ . } } } {\boxed{2x+3y+3z-6=0}\,. } 

3.  Nous devons donner une représentation paramétrique de la droite  \overset{ { \white{ . } } } { d }  passant par  \overset{ { \white{ . } } } { O }  et de vecteur directeur  \overset{ { \white{ . } } } { \overrightarrow n  . } 
La droite  \overset{ { \white{ . } } } { d }  est dirigée par le vecteur  \overset{ { \white{ . } } }{ \overrightarrow{ n }\begin{pmatrix}{\red{2 } }\\ {\red{ 3 } }\\ {\red{ 3 } }\end{pmatrix} .}
La droite  \overset{ { \white{ . } } } { d }  passe par le point  \overset{ { \white{ . } } }{ O({ \blue{ 0 } }\,;\,{ \blue{ 0 } }\,;\,{ \blue{ 0 } }). }
D'où une représentation paramétrique de la droite  \overset{ { \white{ _. } } } { d }  est donnée par :

 \left\lbrace\begin{array}l x={ \blue{0 } }+{ \red{ 2 } }\times t\\y={ \blue{ 0 } }+{ \red{ 3 } }\times t\\z={ \blue{ 0 } }+{ \red{ 3} }\times t \end{array}\quad(t\in\mathbb{ R }) , { \white{ xx } }soit  \boxed{ d:\left\lbrace\begin{matrix} x&=&2t&\\y&=&3t\\z&=&3t\end{array}\quad (t\in\R) }

4.  On note  \overset{ { \white{ _. } } } {H }  le point d'intersection de la droite  \overset{ { \white{ _. } } } { d }  et du plan  \overset{ { \white{ . } } } { (ABC)\,. } 
Nous devons déterminer les coordonnées du point  \overset{ { \white{ _. } } } { H\,. } 

Résolvons le système composé par une représentation paramétrique de  \overset{ { \white{ _. } } } { d }  et par une équation du plan  \overset{ { \white{ _. } } } { (ABC). }

  \left\lbrace\begin{matrix} x=2t \phantom{WWWWWW}\\ y=3t \phantom{WWWWWW} \\ z=3t\phantom{WWWWWW} \\ 2x+3y+3z-6=0 \end{matrix}\right. \quad\Longleftrightarrow\quad \left\lbrace\begin{matrix} x=2t \phantom{WWWWWW}\\ y=3t \phantom{WWWWWW} \\ z=3t\phantom{WWWWWW} \\2\times2t+3\times3t+3\times3t-6=0 \end{matrix}\right.  \\\overset{ { \phantom{ . } } } { \phantom{   \left\lbrace\begin{matrix} x=-t+3 \\ y=t+2  \\ z=t+1 \\ x+5y-2z+3=0 \end{matrix}\right. }\quad\Longleftrightarrow\quad \left\lbrace\begin{matrix} x=2t \phantom{WWWWWW}\\ y=3t \phantom{WWWWWW} \\ z=3t\phantom{WWWWWW} \\ 4t+9t+9t-6=0 \end{matrix}\right.  } \\\overset{ { \phantom{ . } } } { \phantom{   \left\lbrace\begin{matrix} x=-t+3 \\ y=t+2  \\ z=2t+1 \\ x+5y-2z+3=0 \end{matrix}\right. }\quad\Longleftrightarrow\quad \left\lbrace\begin{matrix}  x=2t \phantom{WW}\\ y=3t \phantom{WW} \\ z=3t\phantom{WW} \\ 22t-6=0\end{matrix}\right.  }

 \\\overset{ { \phantom{ . } } } { \phantom{   \left\lbrace\begin{matrix} x=-t+3 \\ y=t+2  \\ z=2t+1 \\ x+5y-2z+3=0 \end{matrix}\right. }\quad\Longleftrightarrow\quad \left\lbrace\begin{matrix}  x=2t \phantom{WW}\\ y=3t \phantom{WW} \\ z=3t\phantom{WW} \\ t=\dfrac{6}{22}=\dfrac{3}{11}\end{matrix}\right.  } \\\overset{ { \phantom{ . } } } { \phantom{   \left\lbrace\begin{matrix} x=-t+3 \\ y=t+2  \\ z=2t+1 \\ x+5y-2z+3=0 \end{matrix}\right. }\quad\Longleftrightarrow\quad \left\lbrace\begin{matrix}  x= 2\times \dfrac{3}{11} \\ y=\overset{ { \phantom{ . } } } {3\times\dfrac{3}{11}} \\ \overset{ { \phantom{ . } } } {z=3\times \dfrac{3}{11}} \\ t=\dfrac{3}{11}\phantom{Wx}\end{matrix}\right.  } \\\\\Longrightarrow\quad\boxed{ \left\lbrace\begin{matrix}  x= \dfrac{6}{11} \\ y=\overset{ { \phantom{ . } } } {\dfrac{9}{11}} \\ \overset{ { \phantom{ . } } } {z=\dfrac{9}{11}}\end{matrix}\right. }

Par conséquent, les coordonnées du point  \overset{ { \white{ _. } } } { H }  sont :  \overset{ { \white{ . } } } { \left(\dfrac{6}{11}\;;\;\dfrac{9}{11}\;;\;\dfrac{9}{11}\right)\,. } 

5.  Nous devons calculer la distance du point  \overset{ { \white{ _. } } } {O }  au plan  \overset{ { \white{ . } } } { (ABC), }  soit la distance  \overset{ { \white{ . } } } { OH. } 

Nous avons :  \overset{ { \white{ . } } } { \left\lbrace\begin{matrix}O(0\;;\;0\;;\;0)\phantom{WW}\\\overset{ { \phantom{ . } } } {  H\left(\dfrac{6}{11}\;;\;\dfrac{9}{11}\;;\;\dfrac{9}{11}\right)}\end{matrix}\right.\quad\Longrightarrow\quad\boxed{\overrightarrow {OH}\begin{pmatrix}\dfrac{6}{11}\\ \overset{ { \phantom{ . } } } { \dfrac{9}{11}}\\\overset{ { \phantom{ . } } } { \dfrac{9}{11}}\end{pmatrix}} } 

Dès lors,

{ \white{ xxi } }OH=\sqrt{\left(\dfrac{6}{11}\right)^2+\left(\dfrac{9}{11}\right)^2+\left(\dfrac{9}{11}\right)^2} \\  \overset{ { \phantom{ . } } } { \phantom{OH}=\sqrt{\dfrac{36}{121}+\dfrac{81}{121}+\dfrac{81}{121}}} \\  \overset{ { \phantom{ . } } } { \phantom{OH}=\sqrt{\dfrac{198}{121}}} \\  \overset{ { \phantom{ . } } } { \phantom{OH}=\dfrac{\sqrt{198}}{11}=\dfrac{\sqrt{9\times22}}{11}} \\\\\Longrightarrow\quad\boxed{OH=\dfrac{3\sqrt{22}}{11}}
Par conséquent, la distance du point  \overset{ { \white{ _. } } } {O }  au plan  \overset{ { \white{ . } } } { (ABC) }  est égale à   \overset{ { \white{ . } } } { \boxed{\dfrac{3\sqrt{22}}{11}}\,. } 


Partie 2 : Démonstration de la propriété :

{ \white{  xxi} }« Le carré de l'aire du triangle ABC est égal à la somme des carrés des aires des trois autres faces du tétraèdre OABC ».

1.  Démontrons que le volume du tétraèdre  \overset{ { \white{ _. } } } {OABC  }  est égal à  \overset{ { \white{ . } } } { 2. } 

Considérons que le tétraèdre  \overset{ { \white{ _. } } } {OABC  }  admet comme base le triangle rectangle  \overset{ { \white{ _. } } } {OAB  }  et admet  \overset{ { \white{ _. } } } {OC  }  comme hauteur.

Dans ce cas le volume du tétraèdre  \overset{ { \white{ _. } } } {OABC  }  se calcule par :  \overset{ { \white{ . } } } { \dfrac{\text{aire}(OAB)\times OC}{3}. } 

Nous savons que  \overset{ { \white{ . } } } { \left\lbrace\begin{matrix}OA=3\\OB=2\\OC=2\end{matrix}\right.. } 

Dès lors,

{ \white{ xxi } }\text{aire}(OAB)=\dfrac{OA\times OB}{2} \\\overset{ { \phantom{ . } } } { \phantom{\text{aire}(OAB) } =\dfrac{3\times 2}{2} } \\\overset{ { \phantom{ . } } } { \phantom{\text{aire}(OAB) } =3 } \\\\\Longrightarrow\quad\boxed{\text{aire}(OAB)=3}

Par conséquent, le volume du tétraèdre  \overset{ { \white{ _. } } } {OABC  }  est égal à :  \overset{ { \white{ . } } } { \dfrac{3\times2}{3}=2. } 

2.  Nous devons en déduire que l'aire du triangle  \overset{ { \white{ _. } } } { ABC }  est égale à  \overset{ { \white{ _. } } } { \sqrt{22}.  } 

Considérons que le tétraèdre  \overset{ { \white{ _. } } } {OABC  }  admet comme base le triangle  \overset{ { \white{ _. } } } {ABC  }  et admet  \overset{ { \white{ _. } } } {OH  }  comme hauteur.

Dans ce cas le volume du tétraèdre  \overset{ { \white{ _. } } } {OABC  }  se calcule par :  \overset{ { \white{ . } } } { \dfrac{\text{aire}(ABC)\times OH}{3}. } 
Or nous savons que le volume est égal à 2 et que  \overset{ { \white{  } } } {OH=\dfrac{3\sqrt{22}}{11} . } 

Nous obtenons ainsi :

{ \white{ xxi } } \dfrac{\text{aire}(ABC)\times \dfrac{3\sqrt{22}}{11}}{3}=2 \quad\Longleftrightarrow\quad  {\text{aire}(ABC)\times \dfrac{3\sqrt{22}}{11}}=6 \\\overset{ { \phantom{ . } } } { \phantom{\dfrac{\text{aire}(ABC)\times \dfrac{3\sqrt{22}}{11}}{3}=2  } \quad\Longleftrightarrow\quad  {\text{aire}(ABC)}=\dfrac{6\times11}{3\sqrt{22}}  } \\\overset{ { \phantom{ . } } } { \phantom{\dfrac{\text{aire}(ABC)\times \dfrac{3\sqrt{22}}{11}}{3}=2  } \quad\Longleftrightarrow\quad  {\text{aire}(ABC)}=\dfrac{22}{\sqrt{22}}  } \\\overset{ { \phantom{ . } } } { \phantom{\dfrac{\text{aire}(ABC)\times \dfrac{3\sqrt{22}}{11}}{3}=2  } \quad\Longleftrightarrow\quad  \boxed{\text{aire}(ABC)=\sqrt{22}}  }

3.  Démontrons que pour le tétraèdre  \overset{ { \white{ . } } } { OABC\,, }  « le carré de l'aire du triangle  \overset{ { \white{ . } } } { ABC }  est égal à la somme des carrés des aires des trois autres faces du tétraèdre ».

Calculons les carrés des aires dont il est question dans la propriété.

{\bullet}{\phantom{x}}\text{aire}(ABC)=\sqrt{22}\quad\Longrightarrow\quad\boxed{[\text{aire}(ABC)]^2=22} \\\\ {\bullet}{\phantom{x}}\text{aire}(OAB)=3\quad\Longrightarrow\quad\boxed{[\text{aire}(OAB)]^2=9} \\\\ {\bullet}{\phantom{x}}\text{aire}(OAC)=\dfrac{OA\times OC}{2} =\dfrac{3\times 2}{2} =3\quad\Longrightarrow\quad\boxed{[\text{aire}(OAC)]^2=9} \\\\ {\bullet}{\phantom{x}}\text{aire}(OBC)=\dfrac{OB\times OC}{2} =\dfrac{2\times 2}{2} =2\quad\Longrightarrow\quad\boxed{[\text{aire}(OBC)]^2=4}

Dès lors,

\left\lbrace\begin{matrix}[\text{aire}(ABC)]^2=22\\ \overset{ { \phantom{ . } } } { [\text{aire}(OAB)]^2=9}\\\overset{ { \phantom{ . } } } {  [\text{aire}(OAC)]^2=9}\\\overset{ { \phantom{ . } } } {  [\text{aire}(OBC)]^2=4}\\\overset{ { \phantom{ . } } } {  22=9+9+4}\end{matrix}\right.\quad\Longrightarrow\quad \boxed{[\text{aire}(ABC)]^2=[\text{aire}(OAB)]^2+[\text{aire}(OAC)]^2+[\text{aire}(OBC)]^2}

Par conséquent, pour le tétraèdre  \overset{ { \white{ . } } } { OABC\,, }  « le carré de l'aire du triangle  \overset{ { \white{ . } } } { ABC }  est égal à la somme des carrés des aires des trois autres faces du tétraèdre ».



Merci à Hiphigenie et Malou pour avoir contribué à l'élaboration de cette fiche
Publié le
ceci n'est qu'un extrait
Pour visualiser la totalité des cours vous devez vous inscrire / connecter (GRATUIT)
Inscription Gratuite se connecter
Merci à
Hiphigenie
/
malou Webmaster
pour avoir contribué à l'élaboration de cette fiche


Vous devez être membre accéder à ce service...

Pas encore inscrit ?

1 compte par personne, multi-compte interdit !

Ou identifiez-vous :


Rester sur la page

Inscription gratuite

Fiches en rapport

parmi 1768 fiches de maths

Désolé, votre version d'Internet Explorer est plus que périmée ! Merci de le mettre à jour ou de télécharger Firefox ou Google Chrome pour utiliser le site. Votre ordinateur vous remerciera !