Fiche de mathématiques
> >

Bac ES-L Obligatoire et spécialité

Amérique du Nord 2019

Partager :

5 points

exercice 1 Commun à tous les candidats

Bac ES-L obligatoire et spécialité Amérique du Nord 2019 : image 8

Bac ES-L obligatoire et spécialité Amérique du Nord 2019 : image 16

Bac ES-L obligatoire et spécialité Amérique du Nord 2019 : image 22

Bac ES-L obligatoire et spécialité Amérique du Nord 2019 : image 21


5 points

exercice 2 candidats de la série ES n'ayant pas suivi l'enseignement de spécialité et candidats de la série L

Bac ES-L obligatoire et spécialité Amérique du Nord 2019 : image 7

Bac ES-L obligatoire et spécialité Amérique du Nord 2019 : image 17

Bac ES-L obligatoire et spécialité Amérique du Nord 2019 : image 1

Bac ES-L obligatoire et spécialité Amérique du Nord 2019 : image 6


5 points

exercice 2 Candidats de la série ES ayant suivi l'enseignement de spécialité

Bac ES-L obligatoire et spécialité Amérique du Nord 2019 : image 23

Bac ES-L obligatoire et spécialité Amérique du Nord 2019 : image 24

Bac ES-L obligatoire et spécialité Amérique du Nord 2019 : image 25

Bac ES-L obligatoire et spécialité Amérique du Nord 2019 : image 26

Bac ES-L obligatoire et spécialité Amérique du Nord 2019 : image 27

Bac ES-L obligatoire et spécialité Amérique du Nord 2019 : image 28


4 points

exercice 3 Commun à tous les candidats

Bac ES-L obligatoire et spécialité Amérique du Nord 2019 : image 2

Bac ES-L obligatoire et spécialité Amérique du Nord 2019 : image 13

Bac ES-L obligatoire et spécialité Amérique du Nord 2019 : image 20


6 points

exercice 4 Commun à tous les candidats

Bac ES-L obligatoire et spécialité Amérique du Nord 2019 : image 3

Bac ES-L obligatoire et spécialité Amérique du Nord 2019 : image 11

Bac ES-L obligatoire et spécialité Amérique du Nord 2019 : image 10

Bac ES-L obligatoire et spécialité Amérique du Nord 2019 : image 4





Bac ES-L obligatoire et spécialité Amérique du Nord 2019

Partager :



5 points

exercice 1 : Commun à tous les candidats

Partie A

1.   Arbre pondéré décrivant la situation :
Bac ES-L obligatoire et spécialité Amérique du Nord 2019 : image 29


2.   La probabilité que Fabien commence par une séance de course à pied et enchaîne par une séance de natation est donnée par  P(C\cap N).

P(C\cap N)=P(C)\times P_C(N) \\\phantom{P(C\cap N)}=0,7\times0,4 \\\\\Longrightarrow\boxed{P(C\cap N)=0,28}

3.   En utilisant la formule des probabilités totales, nous obtenons :

P(N)= P(C\cap N)+P(V\cap N) \\\phantom{P(N)}=0,28+P(V)\times P_{V}(N)\ \\\phantom{P(N)}=0,28+0,3\times0,8 \\\phantom{P(N)}=0,28+0,24 \\\phantom{P(N)}=0,52 \\\\\Longrightarrow\boxed{P(N)=0,52}

4.   Sachant que Fabien n'a pas fait de séance de natation, la probabilité qu'il ait commencé son entrainement par une séance de vélo est donnée par  \overset{.}{P_{\overline{N}}(V).}

P_{\overline{N}}(V)=\dfrac{P(V\cap\overline{N})}{P(\overline{N})} \\\\\phantom{P_{\overline{N}}(V)}=\dfrac{P(V)\times P_V(\overline{N})}{1-P(N)} \\\\\phantom{P_{\overline{N}}(V)}=\dfrac{0,3\times0,2}{1-0,52} \\\\\phantom{P_{\overline{N}}(V)}=\dfrac{0,06}{0,48} =0,125\\\\\Longrightarrow\boxed{P_{\overline{N}}(V)=0,125}
Par conséquent, sachant que Fabien n'a pas fait de séance de natation, la probabilité qu'il ait commencé son entrainement par une séance de vélo est égale à 0,125.

Partie B

1.   La variable aléatoire T  suit la loi normale d'espérance mu = 2,5 et d'écart-type sigma = 0,25.
Nous savons que  \overset{.}{P(T>\mu)=0,5}  , soit que   \overset{.}{P(T>2,5)=0,5.}

Dès lors,

P(T>2,5)=P(2,5< T<3)+P(T\ge3)\Longleftrightarrow P(T\ge3)=P(T>2,5)-P(2,5< T<3) \\\phantom{P(T>2,5)=P(2,5< T<3)+P(T\ge3)}\Longleftrightarrow P(T\ge3)=0,5-P(2,5< T<3)

Or, par la calculatrice, nous obtenons : P(2,5< T<3)\approx0,47724986

\text{D'où }\  P(T\ge3)=0,5-P(2,5< T<3)\Longrightarrow P(T\ge3)\approx0,5-0,47724986 \\\phantom{\text{D'où }\  P(T\ge3)=0,5-P(2,5< T<3)}\Longrightarrow P(T\ge3)\approx0,02275014 \\\phantom{\text{D'où }\  P(T\ge3)=0,5-P(2,5< T<3)}\Longrightarrow\boxed{P(T\ge3)\approx0,023}

Interprétation : Pour effectuer les trois épreuves du parcours, le temps total est supérieur ou égal à 3 heures pour environ 2,3% des participants.

2.   Par la calculatrice, nous obtenons :  P(2\le T\le3)\approx0,954.
D'où la probabilité qu'une performance prise en hasard se situe entre 2 heures et 3 heures est environ égale à 0,954.

3.   Nous devons trouver la valeur de t   vérifiant la relation   P(T\le t)=0,75.
Par la calculatrice, nous obtenons   \overset{.}{P(T\le t)=0,75\Longrightarrow t\approx2,669.}

Or 2,669 h = 2 h + 0,669 h = 2 h + 0,669 multiplie 60 min environegal 2h 40 min. implique  \boxed{t\approx 2\text{h}\ 40\text{min}}
Interprétation : Le temps total pour effectuer les trois épreuves du parcours est inférieur ou égal à 2 h 40 min pour 75 % des participants.

Partie C

1.   Déterminons un intervalle de fluctuation asymptotique I60   au seuil de 95 % de la proportion de femmes dans un échantillon aléatoire de 60 fiches.

Les conditions d'utilisation de l'intervalle de fluctuation sont remplies.
En effet,

\left\lbrace\begin{array}l n=60\ge30 \\ p=0,5\Longrightarrow np=60\times0,5=30>5 \\n(1-p)= 60\times(1-0,5)= 60\times0,5=30>5 \end{array}

Donc un intervalle de fluctuation asymptotique I60   au seuil de 95% est :

I_{60}=\left[0,5-1,96\sqrt{\dfrac{0,5 (1-0,5)}{60}};0,5+1,96\sqrt{\dfrac{0,5 (1-0,5)}{60}}\right]\\\\\Longrightarrow\boxed{I_{60}\approx[0,373;0,627]}

2.   L'échantillon prélevé au hasard comprend 25 fiches correspondant à des femmes..
La fréquence observée des participants féminins est   \overset{.}{\boxed{f=\dfrac{25}{60}\approx0,417}}
Nous remarquons que   f\in I_{60}.
Par conséquent au risque de se tromper de 5%, ce constat ne remet pas en cause l'affirmation de l'organisateur.

5 points

exercice 2 : candidats de la série ES n'ayant pas suivi l'enseignement de
                                                             spécialité et candidats de la série L

Soit la suite (un  ) définie par  \left\lbrace\begin{matrix}u_0=280\ \ \ \ \ \ \ \ \ \ \ \\u_{n+1}=0,9u_n+42\end{matrix}\right.

1.   Le rang correspondant au mois de février est 1.

u_{1}=0,9u_0+42 \\\phantom{u_1}=0,9\times280+42 \\\\\Longrightarrow\boxed{u_1=294}
D'où, par ce système de location, 294 voitures ont été louées au mois de février.

2.   Soit la suite (vn  ) définie par  v_n=u_n-420\ \ \ (n\in\N)

2. a.   Montrons que la suite (vn  ) est géométrique.

v_{n+1}=u_{n+1}-420 \\\phantom{v_{n+1}}=(0,9\times u_n+42)-420 \\\phantom{v_{n+1}}=0,9\times u_n-378 \\\phantom{v_{n+1}}=0,9\times u_n-0,9\times 420 \\\phantom{v_{n+1}}=0,9\times (u_n-420) \\\phantom{v_{n+1}}=0,9\times v_n \\\\\Longrightarrow\boxed{v_{n+1}=0,9\times v_n} \\\\\text{N. B. :}\ v_0=u_0-420=280-420=-140\Longrightarrow\boxed{v_0=-140}
Par conséquent, la suite (vn  ) est une suite géométrique de raison q = 0,9 dont le premier terme est v0 = -140.

2. b.   Le terme général de la suite (vn  ) est donné par v_n=v_0\times q^n.
Donc \overset{.}{\boxed{v_n=-140\times 0,9^n}}}

\text{Or }\ v_n=u_n-420\Longleftrightarrow u_n=v_n+420 \\\phantom{\text{Or }\ v_n=u_n-420}\Longleftrightarrow\boxed{ u_n=-140\times0,9^n+420}

{\red{3.\ }}\ 0<0,9<1\Longrightarrow\lim\limits_{n\to+\infty}0,9^{n}=0\\\\\phantom{{\red{3.\ }}\ \ 0<0,9<1}\Longrightarrow\lim\limits_{n\to+\infty}(-140\times0,9^{n})=0 \\\\\phantom{{\red{3.\ }}\ \ 0<0,9<1}\Longrightarrow\lim\limits_{n\to+\infty}(-140\times0,9^{n}+420)=420 \\\\\phantom{{\red{3.\ }}\ \ 0<0,9<1}\Longrightarrow\boxed{\lim\limits_{n\to+\infty}u_n=420}
A très long terme, le nombre de voitures louées sera proche de 420.

4. a.   Algorithme complété :

                             \begin{array}{|c|}\hline N\longleftarrow0\ \ \ \ \ \ \ \ \ \ \ \ \ \ \ \ \ \ \ \ \\U\longleftarrow280\ \ \ \ \ \ \ \ \ \ \ \ \ \ \ \ \ \ \\\text{Tant que  }{\red{U\le380}}\ \ \text{faire} \\\ \ \ N\longleftarrow N+1\ \ \\\ \ \ \ \ \ \ \  \ \ U\longleftarrow {\red{0,9\times U+42}} \\\text{Fin Tant que}\ \ \ \ \ \ \ \ \ \ \ \ \ \  \\\hline\end{array}

4. b.   Après exécution de cet algorithme, la variable N  contient la valeur N  = 12.

4. c.   La commune devra augmenter le nombre de voitures le 12ième mois après le mois de janvier 2019, soit en janvier 2020.

5.   Résolvons dans N l'inéquation  -140\times0,9^n+420>380.

-140\times0,9^n+420>380\Longleftrightarrow-140\times0,9^n>-40 \\\\\phantom{-140\times0,9^n+420>380}\Longleftrightarrow0,9^n<\dfrac{-40}{-140} \\\\\phantom{-140\times0,9^n+420>380}\Longleftrightarrow0,9^n<\dfrac{2}{7} \\\\\phantom{-140\times0,9^n+420>380}\Longleftrightarrow\ln(0,9^n)<\ln(\dfrac{2}{7}) \\\\\phantom{-140\times0,9^n+420>380}\Longleftrightarrow n\times\ln(0,9)<\ln(\dfrac{2}{7}) \\\\\phantom{-140\times0,9^n+420>380}\Longleftrightarrow n>\dfrac{\ln(\dfrac{2}{7})}{\ln(0,9)}\\\phantom{-140\times0,9^n+420>380\Longleftrightarrow}\ \ \ \ \text{(Changement du sens de l'inégalité car }\ln(0,9)<0) \\\\\text{Or }\ \dfrac{\ln(\dfrac{2}{7})}{\ln(0,9)}\approx11,8
Puisque n   est un nombre entier, la plus petite valeur de n   vérifiant l'inéquation est n   = 12.
Nous retrouvons ainsi le résultat précédent.

5 points

exercice 2 : candidats de la série ES ayant suivi l'enseignement de
                                                             spécialité

Partie A

1.   Le mot abab   correspondant au chemin 12334 est reconnu par l'automate.
Le mot abc   ne se terminant pas par la lettre b   n'est pas reconnu par l'automate.
Le mot abbcbb   correspondant au chemin 1234234 est reconnu par l'automate.

2.   La matrice d'adjacence associée au graphe orienté est  M=\begin{pmatrix}0&2&1&0\\1&0&1&0\\0&0&1&1\\0&1&0&0\end{pmatrix}

3.   Le logiciel de calcul formel donne  M^4=\begin{pmatrix}5&3&10&5\\1&6&7&4\\1&3&4&2\\2&1&4&2\end{pmatrix}
Le coefficient m  1,4 de la matrice M  4 désigne le nombre d'arcs de longueur 4 d'origine 1 et d'extrémité 4.
Il représente donc le nombre de mots de 4 lettres reconnus par l'automate.
Puisque m 1,4 = 5, il y a 5 mots de 4 lettres reconnus par l'automate.

Ces mots sont :
 abab   correspondant au chemin 12334 (voir question 1)
 acbb   correspondant au chemin 12134
 bbab   correspondant au chemin 12334
 acbb   correspondant au chemin 12134
  bcbb  correspondant au chemin 12134

Partie B

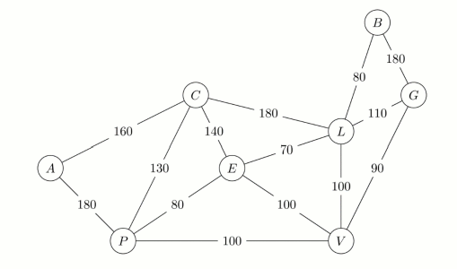
1. a.   Montrons que le graphe est connexe et qu'il admet une chaîne eulérienne.

Puisqu'il existe une chaîne entre n'importe quelle paire de sommets distincts du graphe, ce graphe est connexe.
Or un graphe connexe contient une chaîne eulérienne si et seulement si il possède 0 ou 2 sommets de degré impair.
Voici un tableau indiquant les degrés des sommets du graphe :

                       \begin{array}{|c|c|c|c|c|c|c|c|c|}\hline \text{Sommets}&A&B&C&E&G&L&P&V \\\hline \text{Degrés}&2&2&4&4&{\red{3}}&{\red{5}}&4&4\\\hline \end{array}

Comme il n'y a que deux sommets de degré impair (les sommets G et L), ce graphe connexe contient une chaîne eulérienne.
Par conséquent, le technicien peut parcourir l'ensemble du réseau en empruntant chaque route une et une seule fois.

1. b.   Le technicien doit commencer sa vérification par un sommet de degré impair, soit par Grenoble ou par Lyon.

2. a.   Utilisons l'algorithme de Dijkstra.

                       \begin{array}{|c|c|c|c|c|c|c|c|c|} \hline B&C&E&G&L&P&V&A& \text{Sommet sélectionné} \\\hline 0&\infty&\infty&\infty&\infty&\infty&\infty&\infty&B\\\hline\cellcolor{magenta}&\infty&\infty&180_B&80_B&\infty&\infty&\infty&L\\\hline\cellcolor{magenta}&260_L&150_L&180_B&\cellcolor{magenta}&\infty&180_L&\infty&E\\\hline\cellcolor{magenta}&260_L&\cellcolor{magenta}&180_B&\cellcolor{magenta}&230_E&180_L&\infty&G\\\hline\cellcolor{magenta}&260_L&\cellcolor{magenta}&\cellcolor{magenta}&\cellcolor{magenta}&230_E&180_L&\infty&V\\\hline\cellcolor{magenta}&260_L&\cellcolor{magenta}&\cellcolor{magenta}&\cellcolor{magenta}&230_E&\cellcolor{magenta}&\infty&P\\\hline\cellcolor{magenta}&260_L&\cellcolor{magenta}&\cellcolor{magenta}&\cellcolor{magenta}&\cellcolor{magenta}&\cellcolor{magenta}&410_P&C\\\hline\cellcolor{magenta}&\cellcolor{magenta}&\cellcolor{magenta}&\cellcolor{magenta}&\cellcolor{magenta}&\cellcolor{magenta}&\cellcolor{magenta}&410_P&A\\\hline \end{array}

D'où en effectuant le trajet B - L - E - P - A, le technicien parcourra le moins de kilomètres possibles,
soit 410 km.


2. b.   Si la route entre Le Puy-en-Velay et Aurillac est fermée, le technicien devra emprunter le trajet B - C - A dont la longueur s'élève à 420 km.

4 points

exercice 3 : Commun à tous les candidats

{\red{\text{1. }}{\blue{\mathbf{Réponse\ A.\ environ\ 0,972}}}

La variable aléatoire X   suit la loi binomiale de paramètres n   = 10 et p  = 0,3.

\text{D'où }\ P(X\ge1)=1-P(X=0) \\\phantom{\text{D'où }\ P(X\ge1)}=1-\begin{pmatrix}10\\0\end{pmatrix}\times0,3^0\times0,7^{10-0} \\\phantom{\text{D'où }\ P(X\ge1)}=1-1\times1\times 0,7^{10} \\\phantom{\text{D'où }\ P(X\ge1)}=1-0,7^{10} \\\phantom{\text{D'où }\ P(X\ge1)}\approx1-0,028 \\\phantom{\text{D'où }\ P(X\ge1)}\approx0,972\\\\\Longrightarrow\boxed{P(X\ge1)\approx0,972}

{\red{\text{2. }}{\blue{\mathbf{Réponse\ B.\ }\dfrac{1}{3}}}

La variable aléatoire T   suit la loi uniforme sur l'intervalle [10 ; 40].

\text{D'où }\ P(15\le T\le25)=\dfrac{25-15}{40-10}=\dfrac{10}{30}=\dfrac{1}{3} \\\\\Longrightarrow\boxed{P(15\le T\le25)=\dfrac{1}{3}}

{\red{\text{3. }}{\blue{\mathbf{Réponse\ D.\ 32,15}}}

1 + 1,2 + 1,22 + 1,22 + ... +1,210 est la somme S   des 11 premiers termes d'une suite géométrique de
raison q   = 1,2 et dont le premier terme est 1.

S=\text{premier terme}\times\dfrac{1 - \text{raison}^{\text{nombre de termes}}}{1-\text{raison}} \\\\\phantom{S}=1\times\dfrac{1-1,2^{11}}{1-1,2}\approx32,15 \\\\\Longrightarrow\boxed{1+1,2+1,2^2+1,2^3+...+1,2^{10}\approx32,15}

{\red{\text{4. }}{\blue{\mathbf{Réponse\ D.\ }g\ \mathbf{est\  convexe\  sur\  [e ; 10]}}}

Etudions le signe de la dérivée seconde g"   sur l'intervalle [0,1 ; 10].

g(x)=x^2(2\ln(x)-5)+2\Longrightarrow g'(x)={\red{[x^2(2\ln(x)-5)]'}}+2' \\\phantom{g(x)=x^2(2\ln(x)-5)+2\Longrightarrow g'(x)}={\red{(x^2)'\times(2\ln(x)-5)+x^2\times[(2\ln(x)-5)]'}}+0 \\\phantom{g(x)=x^2(2\ln(x)-5)+2\Longrightarrow g'(x)}=2x(2\ln(x)-5)+x^2\times\dfrac{2}{x} \\\phantom{g(x)=x^2(2\ln(x)-5)+2\Longrightarrow g'(x)}=2x(2\ln(x)-5)+2x \\\phantom{g(x)=x^2(2\ln(x)-5)+2\Longrightarrow g'(x)}=2x(2\ln(x)-5+1) \\\phantom{g(x)=x^2(2\ln(x)-5)+2\Longrightarrow g'(x)}=2x(2\ln(x)-4) \\\phantom{g(x)=x^2(2\ln(x)-5)+2\Longrightarrow g'(x)}=4x(\ln(x)-2)

g'(x)=4x(\ln(x)-2)\Longrightarrow g''(x)=(4x)'\times(\ln(x)-2)+4x\times(\ln(x)-2)' \\\phantom{g'(x)=4x(\ln(x)-2)\Longrightarrow g''(x)}=4\times(\ln(x)-2)+4x\times\dfrac{1}{x} \\\phantom{g'(x)=4x(\ln(x)-2)\Longrightarrow g''(x)}=4(\ln(x)-2)+4 \\\phantom{g'(x)=4x(\ln(x)-2)\Longrightarrow g''(x)}=4\ln(x)-8+4 \\\phantom{g'(x)=4x(\ln(x)-2)\Longrightarrow g''(x)}=4\ln(x)-4 \\\phantom{g'(x)=4x(\ln(x)-2)\Longrightarrow g''(x)}=4(\ln(x)-1) \\\\\Longrightarrow\boxed{g''(x)=4(\ln(x)-1)}
Puisque 4 > 0, le signe de la dérivée seconde g" est le signe de ln(x  ) - 1.

\left.\begin{matrix}\ln(x)-1=0\Longleftrightarrow\ln(x)=1\ \ \ \\\phantom{...........}\Longleftrightarrow x=\text{e}\end{matrix}\right| \left.\begin{matrix}\ln(x)-1<0\Longleftrightarrow\ln(x)<1\ \ \ \\\phantom{...........}\Longleftrightarrow x<\text{e}\end{matrix}\right| \left.\begin{matrix}\ln(x)-1>0\Longleftrightarrow\ln(x)>1\ \ \ \\\phantom{...........}\Longleftrightarrow x>\text{e}\end{matrix}

D'où le signe de la dérivée seconde sur l'intervalle [0,1 ; 10] :

                 \begin{array}{|c|cc|c|cc|}\hline &&&&&\\x&0,1&&\text{e}&&10\\&&&&&\\\hline&&&&&\\ g''(x)&&-&0&+&\\&&&&&\\\hline&&&&&\\ &&g\ \text{est concave  }\ \ \ &g(\text{e})=-3\text{e}^2+2&\ \ \ \ {\red{g\ \text{est convexe}}}&\\&&&&&\\\hline \end{array}

Par conséquent, g   est convexe sur l'intervalle [e ; 10].

6 points

exercice 4 : Commun à tous les candidats

Partie A - Lectures graphiques

1.   Par lecture graphique, nous obtenons f  (0) = -11.

f'  (0) est le coefficient directeur de la tangente à la courbe Cf   au point d'abscisse 0, soit le coefficient directeur de la droite (AB).

\text{Donc } f'(0)=\dfrac{y_B-y_A}{x_B-x_A}=\dfrac{0-(-11)}{5-0}=\dfrac{11}{5}=2,2 \\\\\Longrightarrow\boxed{f'(0)=2,2}

f'  (11) est le coefficient directeur de la tangente à la courbe Cf   au point C.
Or cette tangente est parallèle à l'axe des abscisses.
Par conséquent, f'  (11) = 0.

2.   Si la fonction F   est croissante sur [0 ; 11], alors sa dérivée F'   est positive sur [0 ; 11].
Or par définition de fonction primitive, nous savons que F' = f  .
D'où si la fonction F   était croissante sur [0 ; 11], alors f serait positive sur [0 ; 11], ce qui n'est pas le cas puisque la fonction f   est négative sur [0 ; 2].
Par conséquent, l'affirmation "La fonction f est croissante sur [0 ; 11]"   est fausse.

Partie B - Etude d'une fonction


Soit  f(x)=(x^2-11)\,\text{e}^{-0,2x}\ \ \ \ \ (x\in[0\,;30])

1.   La fonction f   est dérivable sur [0 ; 30] comme produit de deux fonctions dérivables sur [0 ; 30].

f'(x)=(x^2-11)'\times\text{e}^{-0,2x}+(x^2-11)\times(\text{e}^{-0,2x})' \\\\\phantom{f'(x)}=2x\times\text{e}^{-0,2x}+(x^2-11)\times(-0,2x)'\,\text{e}^{-0,2x} \\\\\phantom{f'(x)}=2x\times\text{e}^{-0,2x}+(x^2-11)\times(-0,2)\,\text{e}^{-0,2x} \\\\\phantom{f'(x)}=(2x-0,2x^2+2,2)\,\text{e}^{-0,2x} \\\\\Longrightarrow\boxed{f'(x)=(-0,2x^2+2x+2,2)\,\text{e}^{-0,2x}}

2.   Puisque l'exponentielle est strictement positive sur R  et a fortiori sur [0 ; 30], le signe de la dérivée f'  (x  ) sera le signe du polynôme du second degré  -0,2x^2+2x+2,2.

Le discriminant deltamaj = 22 - 4 multiplie (-0,2)multiplie2,2 = 5,76 > 0.
Puisque le discriminant du trinôme est strictement positif, ce trinôme admet deux racines distinctes :

x_1=\dfrac{-2-\sqrt{5,76}}{2\times(-0,2)}=\dfrac{-2-2,4}{-0,4}=\dfrac{-4,4}{-0,4}=11\Longrightarrow\boxed{x_1=11\in[0\,;30]} \\\\x_2=\dfrac{-2+\sqrt{5,76}}{2\times(-0,2)}=\dfrac{-2+2,4}{-0,4}=\dfrac{0,4}{-0,4}=-1\Longrightarrow\boxed{x_2=-1\notin[0\,;30]}

Le signe du coefficient de x² étant négatif, le polynôme du second degré   -0,2x^2+2x+2,2   est négatif à l'extérieur des racines et positif entre les racines.

D'où le tableau de signes de    -0,2x^2+2x+2,2   sur R :

                   \begin{array}{|c|ccccccc|}\hline x&-\infty&&-1&&11&&+\infty \\\hline -0,2x^2+2x+2,2&&-&0&+&0&-&\\\hline \end{array}

Puisque x appartient [0 ; 30], nous obtenons le tableau de signes de   -0,2x^2+2x+2,2 dans l'intervalle [0 ; 30] :

                   \begin{array}{|c|ccccc|}\hline x&0&&11&&30\\\hline -0,2x^2+2x+2&&+&0&-&\\\hline \end{array}

Nous en déduisons le tableau de signes de f' (x ) et les variations de la fonction f .

                   \begin{array}{|c|ccccc|}\hline &&&&&\\ x&0&&11&&30\\&&&&&\\\hline &&&&&\\ f'(x)&&+&0&-&\\&&&&&\\\hline &&&110\,\text{e}^{-2,2}\approx12,2&& \\ f(x)&&\nearrow&&\searrow& \\ &-11&&&&889\,\text{e}^{-6}\approx2,2\\\hline \end{array}

3.  La fonction f   est continue et strictement croissante sur [0 ; 11].
f  (0) = -11 < 0 et f  (11) environegal 12,2 > 0.
Donc 0 est compris entre f  (0) et f  (11).
D'après le corollaire du théorème des valeurs intermédiaires, l'équation f (x ) = 0 admet une unique solution alpha appartenant à l'intervalle [0 ; 11].

Par le tableur de la calculatrice, nous obtenons  \boxed{\alpha\approx3,32}

Remarque : Nous aurions pu trouver cette valeur de alpha en résolvant dans l'intervalle [0 ; 11] l'équation f  (x  ) = 0.

f(x)=0\Longleftrightarrow(x^2-11)\,\text{e}^{-0,2x}=0 \\\phantom{f(x)=0}\Longleftrightarrow x^2-11=0\ \ \ \ (\text{car }\text{e}^{-0,2x}\neq0) \\\phantom{f(x)=0}\Longleftrightarrow x^2=11 \\\phantom{f(x)=0}\Longleftrightarrow x=-\sqrt{11}\approx-3,32\notin[0\,;11] \\\phantom{f(x)=0\Longleftrightarrow}\text{ou }\ x=\sqrt{11}\approx3,32\in[0\,;11]

Par conséquent, dans l'intervalle [0 ; 11], l'équation f (x ) = 0 admet une unique solution alpha environegal 3,32.

4.   D'après le logiciel de calcul formel, une primitive de la fonction f   sur [0 ; 30] est la fonction F   définie
sur [0 ; 30] par  \overset{.}{F(x)=(-5x^2-50x-195)\, \text{e}^{-0,2x}}

\text{D'où }\ \int\limits_{10}^{20}f(x)\,dx=\left[\overset{}{F(x)}\right]\limits_{10}^{20}=\left[\overset{}{(-5x^2-50x-195)\, \text{e}^{-0,2x}}\right]\limits_{10}^{20} \\\phantom{\text{D'où }\ \int\limits_{10}^{20}f(x)\,dx}=(-5\times20^2-50\times20-195)\, \text{e}^{-0,2\times20}-(-5\times10^2-50\times10-195)\, \text{e}^{-0,2\times10} \\\phantom{\text{D'où }\ \int\limits_{10}^{20}f(x)\,dx}=-3195\, \text{e}^{-4}+1195\, \text{e}^{-2} \\\\\Longrightarrow\boxed{\int\limits_{10}^{20}f(x)\,dx=1195\, \text{e}^{-2}-3195\, \text{e}^{-4}\approx103,21}

Partie C - Application économique



1.   f(15)=(15^2-11)\,\text{e}^{-0,2\times15}=214\,\text{e}^{-3}\approx10,65.
Donc, lorsque le prix unitaire est fixé à 15 euros, la demande du produit s'élève à 1 065 000 objets (au millier d'objets près).

2.   En utilisant le résultat de la question 4.-Partie B, nous déduisons que la valeur moyenne de la fonction f dans l'intervalle [10 ; 20] est :

\mu=\dfrac{1}{20-10}\,\int\limits_{10}^{20}f(x)\,dx=\dfrac{1}{10}\,\int\limits_{10}^{20}f(x)\,dx \\\\\phantom{\mu}\approx\dfrac{1}{10}\times103,21\\\\\phantom{\mu}\approx10,32

Par conséquent, lorsque le prix unitaire varie entre 10 et 20 euros, la demande moyenne du produit s'élève à 1 032 000 objets (au millier d'objets près).

{\red{3.\ }}\ E(15)=\dfrac{f'(15)}{f(15)}\times15 \\\\\phantom{{\red{3.\ }}\ E(15)}=\dfrac{(2\times15-0,2\times15^2+2,2)\,\text{e}^{-0,2\times15}}{214\,\text{e}^{-3}}\times15 \\\\\phantom{{\red{3.\ }}\ E(15)}=\dfrac{-12,8\,\text{e}^{-3}}{214\,\text{e}^{-3}}\times15 \\\\\phantom{{\red{3.\ }}\ E(15)}=\dfrac{-96}{107} \\\\\Longrightarrow\boxed{E(15)=\dfrac{-96}{107}\approx-0,9}

Interprétation du résultat : Une augmentation de 1% du prix de l'objet engendre une baisse de la demande d'environ 0,9%.
Publié le
ceci n'est qu'un extrait
Pour visualiser la totalité des cours vous devez vous inscrire / connecter (GRATUIT)
Inscription Gratuite se connecter
Merci à
Hiphigenie
/
malou Webmaster
pour avoir contribué à l'élaboration de cette fiche


Vous devez être membre accéder à ce service...

Pas encore inscrit ?

1 compte par personne, multi-compte interdit !

Ou identifiez-vous :


Rester sur la page

Inscription gratuite

Fiches en rapport

parmi 1768 fiches de maths

Désolé, votre version d'Internet Explorer est plus que périmée ! Merci de le mettre à jour ou de télécharger Firefox ou Google Chrome pour utiliser le site. Votre ordinateur vous remerciera !