Inscription / Connexion Nouveau Sujet
Niveau première
Partager :

Détermination d'une fonction

Posté par
Lucefax
16-03-11 à 14:30

Bonjour à tous ! J'ai un exercice de DM que je ne comprends pas très bien, voici l'énnoncé :
a, b,c sont réels et f est la fonction définie sur -{1} par f(x)=(ax²+bx+c)/(x-1)²
C est la courbe représentative de f dans un répère d'origine 0

1) On dispose des renseignements suivants :
   • la droite d'équation y=1 est asymptote horizontale à C en +
   • la courbe C passe par le point 0
   • le coefficient directeur de la tangente T à C en 0 est égal à -2
   Déterminer les réels a, b et c.
2) Etudier les limites de f aux bornes de son ensemble de définition.
3) a. Pour x1, calculer f'(x)
   b. Dresser le tableau de variation de f

Merci d'avance pour votre aide

Posté par
Ted
re : Détermination d'une fonction 16-03-11 à 14:44

Bonjour,
si la droite déquation y=1 est une asymptote horizontale en + ça veut dire que la limite de f(x) quand x tend vers +=1, or la limite à l'infini d'un rapport de polynômes est la limite à l'infini du rapport des termes de plus haut degré, donc tu sais que lim quand x tend vers + de ax²/x²=1=a
la courbe passe par O (0,0) donc f(0)=0
f'(0)=-2 je te laisse continuer

Posté par
Lucefax
re : Détermination d'une fonction 16-03-11 à 14:48

Donc là ça me fait a=1 b=-2 et c=0 ?
(x²-2x)/(x-1)² ?

La 2, je dois calculer la limite en 1+, 1-, + et - ? Et pour la 3, je prends n'importe quel chiffre différent de 1 ?

Posté par
Ted
re : Détermination d'une fonction 16-03-11 à 14:55

ok
les limites sont celles que tu as données et pour la 3 on te donne le domaine de dérivabilité de la fonction donc tu calcules la dérivée de manière habituelle.

Posté par
Lucefax
re : Détermination d'une fonction 16-03-11 à 15:12

Je n'arrive pas à dériver ma fonction ...

Posté par
Ted
re : Détermination d'une fonction 16-03-11 à 15:15

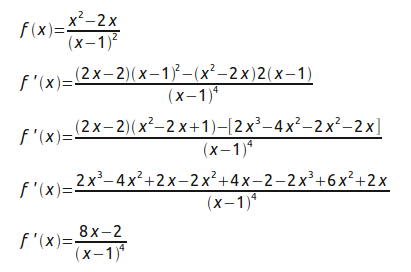
tu dois utiliser la dérivée de u(x)/v(x) qui est donnée par 5$\frac{u'(x)v(x)-u(x)v'(x)}{[v(x)]^2avec :
u(x)=x²-2x
v(x)=(x-1)² mets les détails de ton calcul que je puisse voir où ça coince...

Posté par
Lucefax
re : Détermination d'une fonction 16-03-11 à 15:21

C'est mon v'(x) que je n'arrive pas à avoir.
u'(x)=2x-2 et v'(x)=

Posté par
Lucefax
re : Détermination d'une fonction 16-03-11 à 15:22

2(x-1) ?

Posté par
Ted
re : Détermination d'une fonction 16-03-11 à 15:23

v(x) est de la forme u(x)n la dérivée est donnée par nu'(x)u(x)n-1 essaye maintenant tu vas y arriver ...

Posté par
Lucefax
re : Détermination d'une fonction 16-03-11 à 15:32

Donc ça me fait 2(2x-2)(x²-2x) = 2(2x3-4x²-2x²+4x)
                               = 4x3-8x²-4x²+4x
                               = 4x3-12x²+4x
?

Posté par
Ted
re : Détermination d'une fonction 16-03-11 à 15:47

je t'ai détaillé la détermination de la dérivée afin que tu puisses vérifier si tu y arrives ...
Détermination d\'une fonction

Posté par
Lucefax
re : Détermination d'une fonction 16-03-11 à 16:02

Merci bien, j'avais une erreur de signe.
Donc maintenant il faut que je prenne un chiffre quelconque et que je calcule, que je fasse puis je pourrai faire mon tableau

Posté par
Lucefax
re : Détermination d'une fonction 16-03-11 à 16:03

Mais à la première question, comment je fais pour prouver que b=-2. Je ne connais pas encore la valeur des réels donc je ne peux pas faire la dérivée (?)

Posté par
Ted
re : Détermination d'une fonction 16-03-11 à 16:08

je te cite :

Citation :
Donc là ça me fait a=1 b=-2 et c=0 ?
donc tu as bien trouvé b ou tu l'as fait au pif et c'est tombé juste par hasard ?

Posté par
Lucefax
re : Détermination d'une fonction 16-03-11 à 16:13

J'ai compris pour a=1 et c=0 il me restait b et -2 mais j'ai pas compris pourquoi il est égal à -2

Posté par
Ted
re : Détermination d'une fonction 16-03-11 à 16:32

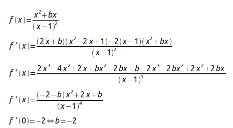
je comprends comment tu as pu le trouver alors c'est à partir de f'(0)=-2
on avait déjà a=1 et c=0 donc f s'écrit :
Détermination d\'une fonction

Posté par
Lucefax
re : Détermination d'une fonction 16-03-11 à 16:38

Aaah ! Je comprends mieux maintenant

Posté par
Lucefax
re : Détermination d'une fonction 16-03-11 à 16:40

Merci beaucoup pour votre aide !

Posté par
Ted
re : Détermination d'une fonction 16-03-11 à 16:42

il te reste le tableau de variations ...

Posté par
Lucefax
re : Détermination d'une fonction 16-03-11 à 16:58

Et j'ai du mal ... Je viens de le faire et c'est pas encore tout à fait ça. J'ai trouvé =4 et comme racine j'ai 0 et 1/4. C'est ça ?

Posté par
Lucefax
re : Détermination d'une fonction 16-03-11 à 17:13

Posté par
Ted
re : Détermination d'une fonction 16-03-11 à 17:23

mais pourquoi te rends tu les choses aussi difficiles...
pour faire le tableau de variations tu dois étudier le signe de la dérivée :
- le dénominateur est une expression à une puissance paire donc toujours strictement positif.
le signe de la dérivée ne dépendra que du numérateur qui est 2x-2 tu dois donc étudier 2x-2 et pas besoin de




(je viens de voir qu'il y a une erreur dans mon message de 15:47 : la dérivée est 2x-2 au numérateur car à la troisième ligne : on a -[2x3-4x²-2x²+4x])

Posté par
Lucefax
re : Détermination d'une fonction 16-03-11 à 17:31

Donc là ça me fait :
2x-2=0
x=1
Et dans mon tableau j'aurai donc valeur interdite en 1 pour ma dérivée et pour ma fonction j'obtiens decroissante sur ]-;1] et croissante sur [1;+[ (?)

Posté par
Lucefax
re : Détermination d'une fonction 16-03-11 à 17:44

Posté par
Lucefax
re : Détermination d'une fonction 16-03-11 à 18:03

Ou alors 0 pour ma dérivée et valeur interdite pour f(x) ..

Posté par
Ted
re : Détermination d'une fonction 16-03-11 à 18:28

ta première réponse est correcte

Posté par
Lucefax
re : Détermination d'une fonction 16-03-11 à 18:33

Merci beaucoup pour votre aide..

Posté par
Ted
re : Détermination d'une fonction 16-03-11 à 18:38

Posté par
Ted
re : Détermination d'une fonction 16-03-11 à 18:43

petit bonus :
Détermination d\'une fonction

Posté par
Lucefax
re : Détermination d'une fonction 16-03-11 à 18:46

=) J'avais à peu près ça. Merci pour ce petit bonus !



Vous devez être membre accéder à ce service...

Pas encore inscrit ?

1 compte par personne, multi-compte interdit !

Ou identifiez-vous :


Rester sur la page

Inscription gratuite

Fiches en rapport

parmi 1768 fiches de maths

Désolé, votre version d'Internet Explorer est plus que périmée ! Merci de le mettre à jour ou de télécharger Firefox ou Google Chrome pour utiliser le site. Votre ordinateur vous remerciera !