Bonjour, je suis en terminale Stmg et j'ai ce DM de maths à réaliser (pièce jointe) mais je ne comprends pas la première question. Merci par avance.
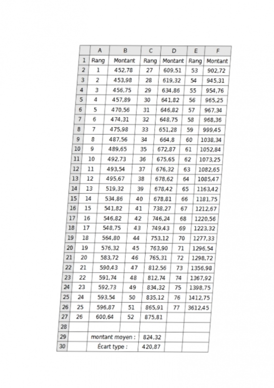
La feuille de calcul ci-contre donne les montants en euros des différentes factures établies par une entreprise artisanale au cours de l'année 2003, le montant moyen et l'écart type.Les montants sont rangés par ordre croissant.
1. On considère la série statistique des montants consignés dans la feuille de calcul.
a. Donner la médiane, le premier quartile et le troisième quartile decette série statistique.
b. Construire un diagramme en boite résumant cette série statistique en prenant pour valeurs extrêmes le minimum et le maximum. Placer le montant moyen sur ce diagramme.
c. Il y a une différence entre le montant moyen et la médiane. Donner une explication possible.

Il ne s'agit pas de "comprendre", mais de "connaître" le cours.
reprends ton cours, trouve la définition de la médiane et des quartiles.
C'est la première chose à faire.
Ensuite, montre comment tu appliques à la série qu'on te donne dans cet exercice.
Le site a rencontré un problème temporaire.
Merci de retenter l'opération plus tard
Vous devez être membre accéder à ce service...
Pas encore inscrit ?
1 compte par personne, multi-compte interdit !
Ou identifiez-vous :