1337.5 = m 9975 + p
3562.5 = m 24450 + p
c'est ce que je t'expliquais dans ce post si on fait ligne 2 - ligne 1 on a :
3562.5-1337.5=(24450-9975)m
2225 = 14475 m
tu dois faire le total de cette dernière ligne chaque colonne est le carré du résidu pour(xi,yi) pour avoir la somme des carrés il faut donc faire le total de chaque résidus
D'accord merci beaucoup. Ensuite on me demande de dtermine une equation de la droite D de régréssion par la méthode des moindres carées et de la representer sur le graphique. Mon prof ma dit qu'il fallait que je trouve la droite de regresssion et j'ai trouver y = 0,15x-139,13 elle passe donc par (0;139,13)
Mais je ne sais pas comment la representer sur le graphique car l'échelle n'est pas adapter
si tu as réussi à placer ta droite (G1G2) tu dois aussi pouvoir placer ta droite des moindres carrés
Oui j'ai mit les points G1G2 mais comment je peut mettre la droite de regression? En passant par quels points?
elle a le même coefficient directeur que la droite G1G2 donc elle lui est parallèle et en plus tu connais sont ordonnée à l'origine (0,-139) il te reste donc à tracer la
à la droite (G1G2) passant par le point (0,-139)
Je dit des betises je n'ai pas tracer la droite G1G2 car mon échelle ne vas pas. Je vous envoi mon graphique.

tu as les deux points G1 et G2 donc si tu traces la droite qui passe par ces deux points tu as la droite (G1G2) 
tu places le point (0,-139) et tu trace la
à G1G2 qui passe par ce point, tu sais quand même tracer la
à une droite ?
D'accord. Et ensuite pour répondre a : La somme des résidus quadratique S' associé a la droite de régréssion D est S' = 35482,50. Laquelle des droites (G1G2) et D réaliser le meilleur ajustement affine, il suffit de regarder sur le graphique?
non tu compares la somme quadratique des résidus de la droite G1G2 avec celle donnée pour la droite des moindres carrés et tu retiens la droite d'ajustement pour laquelle cette somme est la plus petite...
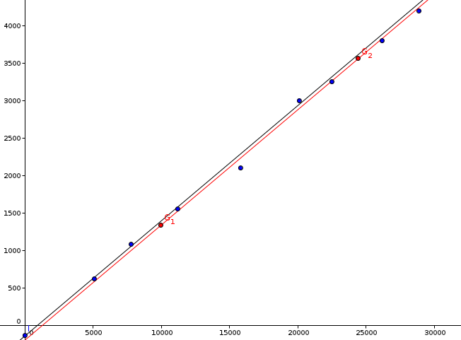
pour la droite d'ajustement j'obtiens le graphique suivant :
en rouge la droite (G1G2) et en noir la droite des moindre carrés
Vous devez être membre accéder à ce service...
Pas encore inscrit ?
1 compte par personne, multi-compte interdit !
Ou identifiez-vous :