Inscription / Connexion Nouveau Sujet
Niveau terminale
Partager :

equa diff simple

Posté par
Roger44
18-03-12 à 01:25

Bonjour

Est-ce que quelqu'un aurait la gentillesse d'intégrer la formule suivante :
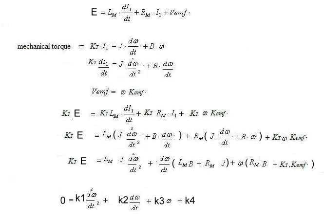
0 = k1 d2y/dx2 + k2 dy/dx + k3 y +k4
x et y >=0
quand x=0, y =0 et y augmente rapidement puis plafond. Ca devrait représenter la montée en vitesse d'un moteur à courant continu à aimants permanents

Je vous remercie

Posté par
Roger44
re : equa diff simple 18-03-12 à 02:40

Suite à une demande j'ai mis plus de détail sur l'image jointe.

equa diff simple

Posté par
Pierre_D
re : equa diff simple 18-03-12 à 19:45

Bonjour Roger,

C'est un problème bien classique dont la solution est la suivante :

- si  \small k_2^2-4k_1k_3>0 :   \small\boxed{ y=-\dfrac{k_4}{k_3} + C_1\,e^{\alpha x}+C_2\,e^{\beta x}}      où  \small \alpha\text{ et }\beta  sont les solutions réelles de  \small k_1t^2+k_2t+k_3=0 ,  et  \small C_1\text{ et }C_2  deux constantes réelles quelconques

- si  \small k_2^2-4k_1k_3=0 :   \small\boxed{ y=-\dfrac{k_4}{k_3} + (C_1\,x+C_2)\,e^{\alpha x}}      où  \small \alpha  est la solution réelle double de  \small k_1t^2+k_2t+k_3=0 ,  et  \small C_1\text{ et }C_2  deux constantes réelles quelconques

- si  \small k_2^2-4k_1k_3<0 :   \small\boxed{ y=-\dfrac{k_4}{k_3} + \big(C_1\,\cos(px)+C_2\sin(px)\big)\,e^{m x}}      où  \small m+ip\text{  et  }m-ip  sont les solutions complexes conjuguées de  \small k_1t^2+k_2t+k_3=0
 \\ ,  et  \small C_1\text{ et }C_2  deux constantes réelles quelconques

Posté par
Pierre_D
re : equa diff simple 19-03-12 à 12:37

NB : j'ai supposé qu'on travaillait dans : k1, k2, k3, k4, x, y réels

Posté par
Roger44
re : equa diff simple 19-03-12 à 20:36

Merci, et oui, tous des réels.

J'ai une difficulté avec le résultat, c'est le signe négatif devant k4/k3, mais je vais d'abord regarder de près mon énoncé

Posté par
Roger44
re : equa diff simple 19-03-12 à 20:51

je continue, à priori :
lorsque ce moteur électrique atteind sa vitesse max, dw/dt = 0 et aussi dI/dt =0 donc w = k4/k3

Posté par
Roger44
re : equa diff simple 26-03-12 à 16:17

Bonjour

Pourriez-vous regarder ce lien vers un site en anglais à l'origine de mon besoin de résoudre l'équation differentielle pour le démazrrage d'un moteur électrique :

http://www.electro-tech-online.com/electronic-projects-design-ideas-reviews/125754-half-bridge-hexfet-motor-drive-circuitry-2.html

et où il reste un pb pour le 2e boundary condition, trouvée mais de façon peu convaincante.

merci

Posté par
Roger44
re : equa diff simple 03-04-12 à 06:39

Bonjour
C'est la 1ère des trois solutions. Pour trouver les deux constants C1 et C2:

y(x=0) = 0 donc C1+C2 = -k4/k3

y>0 donc C1 < -k4/k3 * (exp(bx) -1)/(exp(ax)-exp(bx))

Je cherche une expression pour la valeur lim vers zéro (mais mon-zéro) de C1. En attendant de l'inspiration ou de l'aide, je le calcule à x=0,000001 et j'obtiens,pour a=14,733 et b=311,934 par exemple,   C1=-210,836  et donc C2=-14,733, et ces valeurs donne le même résultat qu'un simulateur logiciel.

Posté par
Roger44
re : equa diff simple 23-04-12 à 13:04

Bonjour
L'Hôpital donne b/(a-b)  pour lim vers zéro de   (exp(bx) -1)/(exp(ax)-exp(bx))

Posté par
Pierre_D
re : equa diff simple 23-04-12 à 14:23

Rebonjour Roger,

Avec la première solution (cas  \small k_2^2-4k_1k_3>0 ) , la condition initiale  y(0)=0  conduit à  \small C_1+C_2=\dfrac{k_4}{k_3}    ( et non  \small-\dfrac{k_4}{k_3} ).
Je ne comprends pas bien quelle est ta deuxième condition à respecter ; porte-t-elle sur la valeur de y'(0) ? ... Peux-tu l'expliciter clairement ?

NB : je me demande s'il n'y a pas dans ton esprit une ambiguïté sur le signe de k4 ; l'équa. diff. que tu as soumise est :
\small k_1y''+k_2y'+k_3y+k_4=0  , contrairement à la forme plus habituelle :  \small p_1y''+p_2y'+p_3y=p_4

Posté par
Pierre_D
re : equa diff simple 18-01-13 à 23:29

De rien, Roger



Vous devez être membre accéder à ce service...

Pas encore inscrit ?

1 compte par personne, multi-compte interdit !

Ou identifiez-vous :


Rester sur la page

Inscription gratuite

Fiches en rapport

parmi 1760 fiches de maths

Désolé, votre version d'Internet Explorer est plus que périmée ! Merci de le mettre à jour ou de télécharger Firefox ou Google Chrome pour utiliser le site. Votre ordinateur vous remerciera !