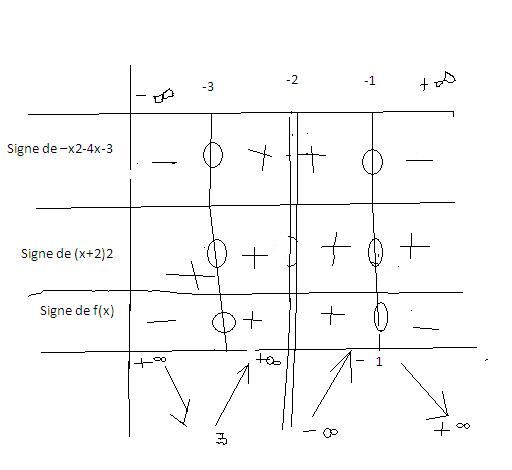
non entre -2 et -1 c'est toujours positif le trinôme !
Et le carré toujours postif !!!!
Il y a des valeurs à chaque début et fin de flèches !!!!!!!!!
Il manque à changer les 2 moins en + puis changer la flèche puis completer le début et la fin de chaque flèche.
Tu as la fonction donc tu calculs les images pour -1 et -3.
Puis tu complètes avec le travail précedent:

Trinôme signe de a en dehor des racines !!!
Les 0 redéscende en f '(x) ! et il n'y en à pas sur la valeur interdite !
non ces horibles signe de a en dehor des racines a = -1 donc - en dehor des racines donc - à gauche de -3 et à droite de -1. !!!
f(-3) n'est pas égal à 0 ni f(-1) !! il faut s'aider des limites pours les valeurs aux bords des flèches.
les colones s'arrétent après f '(x) sauf la valeur interdite ! Tu n'as jamais vu ni fait un tableau de signe ?
Si j'ai déjà fait des tableau de signes,mais là je suis fatiguée et je ne comprends rien de ce que vous me dites !!!

C'est exact il manque plus que les 0 qui descendents en f '(x) puis il suffit de faire les flèches de variations et de mettre des valeurs aux bords.
non - = descend et inversement.
Si f '(x) est négatif sur l'intervalle I alors f(x) est décroissante sur I et ivnersement.
oui sauf les valeurs aux bord des flèches, il faut completer avec la calculette et les limites déjà calculer.
non t'as pris f '(x) ! alors que c'est la ligne f(x) il faut donc reprendre la formule de f(x). tu dois trouver 3 et 2.
non les limites en plus l'infini = - l'infini et inversement !!! GRR
Mais tu as bien travailler tiens:

Bonjour à tous les deux,
après avoir pataugé lamentablement hier, je suis revenu faire ce pb pour moi puis ensuite regarder vos échanges (instructifs!) . Bravo à Teacher qui ne donne pas les réponses toutes cuites!!
Juste 1 remarque :
Il me semble que f(-1)=-1 comme indiqué par grafity .
A+
Vous devez être membre accéder à ce service...
Pas encore inscrit ?
1 compte par personne, multi-compte interdit !
Ou identifiez-vous :