Bonjour à tous,
PARTIE A :
On considère la fonction f définie sur R, par f(x) = e^x+x+1. 1)
1. Étudier le sens de variation f (j'ai trouvé la fonction est croissante)
2. On admet que l'équation f(x)=0 admet une solution et une seule, alpha,
Déterminer un encadrement d'amplitude 10-^2 de alpha. en regardant la méthode que j'ai écrit 3) en déduire le signe de f(x) sur R (-1,28<alpha<-1,27)
3. En déduire le signe de f(x) sur R (je suis bloqué ici j'ai fait un tableau de variation mais cela me semble incorrect)
Je vous remercie
Excusez moi, j'ai un peu mélangé les questions, voici ces questions dans l'ordre
PARTIE A :
On considère la fonction f définie sur R, par f(x) = e^x+x+1.
1. Étudier le sens de variation f (j'ai trouvé la fonction est croissante)
2. On admet que l'équation f(x)=0 admet une solution et une seule, alpha,
Déterminer un encadrement d'amplitude 10-^2 de alpha. (je l'ai fait avec la calculatrice et j'ai trouvé -1,28<alpha<-1,27)
3. En déduire le signe de f(x) sur R (je suis bloqué ici j'ai fait un tableau de variation mais cela me semble incorrect)
Je vous remercie
x -infini. -1,28. -1,27 +infini
f. décroissante. croissante
f(x) - - +
donc sur -infini;-1,27, la fonction est négative
et sur -1,27:+infini, la fonction est positive.
Non pour le tableau, il ne faut qu'une flèche allant de à
Sur la flèche, vous pouvez mettre un 0 avec sur la barre des valeurs .
Vous avez bien dit que la fonction était strictement croissante, car la dérivée est strictement positive.
Ensuite, vous pouvez mettre une ligne concernant cette fois, f
un signe avant
, 0 pour
et + après
Il n'y a qu'une valeur pour laquelle , c'est
Traduction en image de ce que je disais à part que la flèche est unique. Ce que je ne peux faire avec le logiciel

donc :
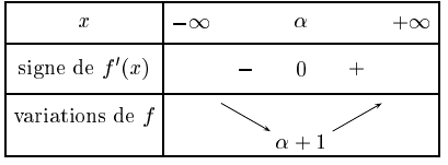
x -infini. alpha. +infini
f'(x) croissante
f(x) - +
donc sur -infini;-1,27, la fonction est négative f(x)<0
sur -1,27:+infini, la fonction est positive f(x)>0
Pas de valeurs approchées, il faut garder
pour être sure de comprendre, le signe avant alpha est négatif car x = -1,28 = -0,002 qui est négatif ?
Oui avant ,
est strictement négatif.
Comme vous le montrez, si on prend on n'a pas 0
Il existe donc des valeurs pour lesquelles est encore
strictement négatif.
C'est pourquoi, on ne peut prendre une valeur approchée.
Si vous avez besoin d'aide pour la partie B, il ne faut pas hésiter.
N'ouvrez pas un autre fil puisqu'il s'agit du même problème.
PARTIE B :
On considère la fonction f définie sur R par f(x)= (xe^x)/(e^x+1) et (C) sa courbe représentative dans un repère orthonormé.
1) Justifier que la fonction f est bien dérivable sur R (j'ai dérivé la fonction f =u/v et v = e^x+1=e^x mais pour le u je sais pas ? cela semble facile mais je n'arrive pas à trouver )
2) a. Montrer que, pour tout x appartient à R, on a f'(x) = (e^x f(x))/((e^x+1)^2) (la fonction n'est pas nommé f mais pun autre mais je ne sais pas comment le mettre ici donc j'ai remplacé par f)
b. Étudier les variations de la fonction f sur R
3) Montrer que f(alpha) = alpha + 1 et en déduire un encadrement de f(aplha) à 10^-2
4) Soit T l tangente à (C) au point d'abscisse 0. Donner une équation de T.
PS :
Je vous remercie.
Merci beaucoup.
Pour montrer que la fonction est dérivable il faut que le dénominateur soit positif ?
Non, cela n'a rien à voir
f dérivable sur comme quotient, produit de fonctions dérivables sur
il faut cependant préciser que la fonction est définie sur tout l'ensemble de définition
Oui, mais la dérivée de la fonction est 1.
Rien, car le produit de 2 fonctions dérivables sur I est dérivable sur I
La fonction n'est jamais nulle sur
.
Le quotient de deux fonctions dérivables sur I est dérivable sur I
est dérivable sur I
(1*e^x+xe^x-xe^x*e^x)/((e^x+1)^2)
e^x est strictement positif et la fonction exponentielle est strictement positif donc le dénominateur e^x+1 est non nul. C'est tout ?
Pour le 2
a. On doit obtenir la fonction (xe^x)/(e^x + 1) ?
b. On commence par étudier le signe puis on fait u tableau de variation et on calcule l'image ?
3) il faut montrer que f(alpha)-(aplha+1)=0 et il faut utiliser la calculatrice ?
4) utiliser l'équation de la tangente. Calculer l'image ?
1) Justifier que la fonction est bien dérivable sur
( Les fonctions sont dérivables sur
) si vous voulez
Pour tout
Il en résulte est dérivable sur
comme produit et quotient de fonctions dérivables sur
Question 2 voir 17 : 39
à simplifier pour trouver :
signe : ne pas oublier la partie A
puis variations
question 3 : Vous ne pouvez pas utiliser la calculatrice avec
Question 4
1. f'=u'v-uv'/v^2 = ((e^x+xe^x)(e^x+1)-(xe^x)*e^x)/((e^x+1)^2) = (e^2x+e^x+xe^x)/((e^x+1)^2). Or la fonction exponentielle est strictement positive sur R et les fonctions x-->e^x, x-->x sont dérivables. Donc e^x>0 et e^x+1>0 sont positives et donc la fonction est dérivable sur R.
2. a. à simplifier = la même chose que la 1 (e^2x+e^x+xe^x)/((e^x+1)^2). Dans la première partie la fonction f = e^x+x+1, cela ne correspond pas au résultat. OU je me suis trompé dans le calcul.
b. Je reprends le tableau de signe de la partie A puis je dois calculer l'image afin d'ajouter les variations ?
3. Il faut déja montrer que f(alpha)-(alpha+1)=0 Je ne comprends pas du tout
Peu nous chaut que la fonction soit strictement positive ou strictement négative, il importe que le dénominateur soit non nul.
Dérivable par ce qu'elle est définie à partir de fonctions dérivables sur : Produit ou quotient.
avec
et
Calculez
est donc du signe de
sur
etc
Il y a des incohérences dans votre texte. Il faut appeler g la fonction définie dans la partie A.
or, on sait que
Excusez-moi je ne comprends pas pour le signe.
Merci pour le 2 a.
Pour le b. Je reprends le signe de la fonction g de la partie A afin de faire le tableau de variation ?
Vous refaites les calculs et vous pourrez vérifier
Au numérateur, on reconnaît la fonction définie par
; Dans la partie A, on a étudié son signe, Cf. la dernière ligne du tableau.
Le dénominateur et sont strictement positifs ; Le signe de
est bien celui de
.
Merci je comprends mieux.
Pour le b. J'ai fait : Pour étudier les variations de la fonction, on étudie le signe de f'(x)
F'(x) = (e^xg(x))/((e^x+1)^2). Or e^x>0 donc f'(x)>0 et donc la fonction f est strictement croissante sur R. Est ce correct
Pour le 3, on me dit de montrer que f(aplha)-(aplha+1)=0 je ne vois pas pas ce qu'il faut faire ?
On avait écrit, dernière ligne du tableau hier 14 : 25
signe de f g
sur un signe
donc négatif
et sur un signe
donc positif
Par conséquent, on ne peut pas dire que pour tout
La fonction n'est pas monotone sur
La courbe, pour que vous puissiez le constater.
J'ai commencé à calculer
Pour le 3, f(alpha)= (alpha*e^alpha)/(e^aplha+1) or g(x) = 0, d'où e^alpha+aplha+1=0 <=> alpha+1=e^aplha donc f(aplha) = aplha+1 je suis coincé ici
Pour la 2b. Étude de variations : sur -infini;alpha, la fonction est décroissante et sur alpha:+infini la fonction est décroissante ?
Lorsque vous remplissez un tableau de variation, n'indiquez-vous pas les images des valeurs rencontrées ?
F(alpha)= (alpha(-alpha-1)/(-alpha-1+1) = -(-alpha-1)= alpha+1
Donc f(alpha) = alpha+1.
En déduire l'encadrement de f(alpha)
-1,28<alpha<-1,27, donc -2,28 <aplha+1<-2,27
hekla
On peut bien revenir pour compléter le tableau. C'est un résumé donc on
peut revenir pour le compléter
Que voulez-vous d'autre ?
On a montré à la question que
en ajoutant 1 aux membres des inégalités
Vous avez d'ailleurs bien fait de poser la question, je ne m'étais pas aperçu que vous aviez effectué
pour la dernière question, déterminer l'équation de T :
y=f'(a)(x-a)+f(a)
y=f'(0)(x-0)+f(0)
f(0)=(0e^0)/(e^0+1)=1
f'(0)=(e^0g(0))/((e^0+1)^2)=1
donc y=1x+1 ou x+1
Maintenant, on est bien d'accord
Rappel l'équation de la tangente en à la courbe représentative de
est :
soit ici
Des erreurs dans les reports.
Vous devez être membre accéder à ce service...
Pas encore inscrit ?
1 compte par personne, multi-compte interdit !
Ou identifiez-vous :