Inscription / Connexion Nouveau Sujet
Niveau sixième
Partager :

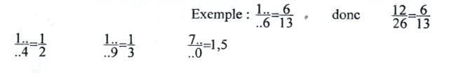
fractions

Posté par
HONORINE97
22-04-11 à 20:59

bonsoir
dans chaque égalité il manque un meme chiffre.Trouve le et explique comment tu as fait.

mes reponses:
je ne sais pas comment expliquer comment j ai fait j ai utilise la calculatrice mais je peux ecrire autre chose peu etre aider moi pour l explication svp et dites moi si les fractions sont correct?

fractions

fractions

Posté par
plumemeteore
re : fractions 22-04-11 à 21:27

Bonsoir Honorine.

Premier exemple
Un nombre terminé par 4 donne un nombre terminé par 2 ou par 7 quand on le divise par 2.
Le numérateur est donc 12 ou 17.
Il y a deux solutions : 12/24 et 17/34.

Deuxième exemple
Bien : un nombre terminé par 9 donne un nombre terminé par 3 quand on le divisé par 3.

Troisième exemple : bien.
Le numérateur est compris entre 70 et 79. Il vaut 1,5 fois le dénominateur.
Le dénominateur est compris entre 70/1,5 et 79/1,5 et se termine par 0. Il ne peut être que 50.
Et le numérateur est 50*1.5 = 75.

Posté par
HONORINE97
fractions 22-04-11 à 22:06

donc mes resultats sont correct mais la question me dit d expliquer comment j ai fait pour trouve ou j ecris ce que tu m as explique ou autre chose s il y a ?

Posté par
HONORINE97
fractions 23-04-11 à 16:46

quelqu un pourrait me dire ce que je peux ecrire pour expliquer comment fait on pour trouver les chiffres manquants?? Car je ne sais pas comment l expliquer moi j ai utilise la calculatrice mais est ce qu il y a un autre moyen pour l'expliquer

Posté par
plumemeteore
re : fractions 23-04-11 à 17:23

Bonjour Honorine.
Je t'ai donné des explications.
On pourrait aussi dire que
dans le premier exemple, le numérateur est compris entre 10 et 19; le dénominateur, qui est le double du numérateur, est compris entre 20 et 38; le dénominateur a pour chiffre des unités 4; c'est donc 24 ou 34

dans le deuxième exemple, le numérateur est compris entre 10 et 19; le dénominateur, qui est le triple du numérateur, est compris entre 30 et 57; son chiffre des unités est 9; cela pourrait être 39, 49 ou 59; 49 et 59 sont à écarter car ils ne sont pas divisibles par 3 (la somme de leurs chiffres n'est pas divisible par 3); seul solution pour le dénominateur : 39
un nombre terminé par 4 est toujours divisible par 2; mais un nombre terminé par 9 n'est pas toujours divisible par 3

Posté par
HONORINE97
fractions 23-04-11 à 17:44

ok merci plumemeteore je vais faire au plus simple avec les explications que tu m as donné



Vous devez être membre accéder à ce service...

Pas encore inscrit ?

1 compte par personne, multi-compte interdit !

Ou identifiez-vous :


Rester sur la page

Inscription gratuite

Fiches en rapport

parmi 1766 fiches de maths

Désolé, votre version d'Internet Explorer est plus que périmée ! Merci de le mettre à jour ou de télécharger Firefox ou Google Chrome pour utiliser le site. Votre ordinateur vous remerciera !