Inscription / Connexion Nouveau Sujet
Niveau terminale
Partager :

PBM exo suite, DM maths

Posté par marcus (invité) 31-10-04 à 11:36

Bonjour à tous
Voila j'ai un petit probleme avec un exo de maths de mon DM que je n'arrive pas à faire.

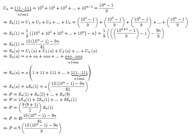
Pour tout entier n1, on pose Un = 111...1111, nombre formé par n chiffre 1 mis côte à côte. Ainsi U4=1111
Par ailleurs, a étant un chiffre, on pose : Sn(a)= a + aa +...+ aaa...aaaa, le dernier nombre de cette somme étant constitué de n chiffres a mis côte à côte. Ainsi S3(7)=7+77+777=861
(Tous les chiffres côte à côte tel que 111...11 , 777 ou aaa...aa ont normalement un trait au dessus d'eux mais désolé j'ai pas trouvé comment le faire).

1) Décomposer Un en puissance de 10; calculer alors Un en fonction de n.
2) En déduire une expression de Sn(1) = u1 + u2 +...+ un en fonction de n, puis une expression de Sn(a) en fonction de n et de a.
3) Calculer Sn(1) + Sn(2)+...+ Sn(9) en fonction de Sn(1) puis en fonction de n.

Bon la premiere question est simple j'y suis arriver facilement mais après je bloque et si vous pourriez m'aider sa serai bien sympa.
Voila, merci d'avance pour votre aide.

Posté par Yalcin (invité)re : PBM exo suite, DM maths 31-10-04 à 11:57

Bonjour
a est ?
si a dépasse 9, c'est à dire 10,11,12,13,etc....
alors on doit faire appel à la fonction "int(log(n))", où int(x) => la partie entière de x.
Cordialement Yalcin
(si a ={1,2,3,4,5,6,7,8,9} alors je peux t'aider, si non autrement avec "a" quelconque aussi)

Posté par Yalcin (invité)re : PBM exo suite, DM maths 31-10-04 à 12:04

excuse j'avais pa svu S_n(9)

Posté par Yalcin (invité)re : PBM exo suite, DM maths 31-10-04 à 12:24

http://melusine.eu.org/syracuse/texmelu/temp/public/142.png
PBM exo suite, DM maths

Posté par Yalcin (invité)re : PBM exo suite, DM maths 31-10-04 à 12:29

Bonjour cher Webmaster, est-ce que vous pouvez me créer un bac à sblae ou je pourrais récupérer me simages en lien : "https://www.ilemaths.net/img/forum_img_old/forum_18009.png"
par exemple, et non en "http://melusine.eu.org/syracuse/texmelu/temp/public/142.png
" qui s'éfface ou bout d'un moment.
Cordialement Yalcin

Posté par
Tom_Pascal Webmaster
re : PBM exo suite, DM maths 31-10-04 à 12:38

Bonjour Yalcin,

Comme je te l'ai expliqué, je ne peux pas agir sur le site texmélu en créant une zone pour toi d'images qui ne disparaissent pas.

Cependant, vu que tu corriges souvent en utilisant ce mécanisme, je t'ai ajouté le droit d'attacher une image à un message (droit que l'on n'accorde pas à tout le monde, car on ne veut pas de scans de documents originaux sur le site).

Donc, la marche à suivre est :
* génération de ton image sur le site texmélu
* enregistrement de ton image sur ton disque dur
* écriture de ton message sur l' en attachant l'image présente sur ton disque dur.

Mais si je peux me permettre un conseil, tu devrais te mettre au latex sur ce forum, ce serait plus simple de retrouver tes réponses (parceque là, le moteur de recherche aura du mal avec toutes tes images ) et puis ça fait des réponses plus légères (car à force, les images occupent de l'espace disque, meme si ce n'est pas encore un problème pour nous à l'heure actuelle, et elles sont aussi plus longues à s'afficher que du simple texte)...

Posté par marcus (invité)re : PBM exo suite, DM maths 31-10-04 à 12:53

Ben merci beaucoup Yalcin pour ton aide qui m'est trés précieuse.
@+

Posté par Yalcin (invité)re : PBM exo suite, DM maths 31-10-04 à 14:47

Ok, merci beaucoup

Posté par Yalcin (invité)re : PBM exo suite, DM maths 31-10-04 à 14:53

Là j'ai  mis mon texte en latex sur le site texmélu, puis j'ai enregistré sur mon disque dur, et je l'ai mis dans "répondre à un sujet" sur votre site, mais j'ai cliqué sur "apreçu", et là j'ai pris dans propriétés, le lien de l'image, et donc j'aimearsi svaoir si ce lien peut être disparu, si non, c'ets trop bien pour moi.
cordialement Yalcin

Posté par
Tom_Pascal Webmaster
re : PBM exo suite, DM maths 31-10-04 à 15:16

Ahhh oui, l'image de l'aperçu va disparaitre lors de ton prochain attachement.

Par contre une fois posté réelement dans un message du site de cette façon, l'image restera.

Mais j'avais compris que tu cherchais cela pour des réponses apportées sur le forum de ce site.

L' n'a pas vocation à héberger des images pour des sites externes. Pour cela, je te renvois vers des sites spécialisés comme tu en connais 'ImageShack'... ou tu peux te créer un compte chez un hébergeur gratuit (lycos, ...) et transférer tes images sur le web par FTP, mais tu devrais trouver des sites plus spécialisés pour t'expliquer en détail ce genre d'opération.

A bientot



Vous devez être membre accéder à ce service...

Pas encore inscrit ?

1 compte par personne, multi-compte interdit !

Ou identifiez-vous :


Rester sur la page

Inscription gratuite

Fiches en rapport

parmi 1768 fiches de maths

Désolé, votre version d'Internet Explorer est plus que périmée ! Merci de le mettre à jour ou de télécharger Firefox ou Google Chrome pour utiliser le site. Votre ordinateur vous remerciera !