Fiche de mathématiques
> >

Bac Tunisie SEG 2022

Partager :



Durée : 2 heures
Coefficient : 2

4 points

exercice 1

Le tableau statistique ci-dessous donne les endettements d'un état en milliards de dinars entre les années 2015 et 2020 .

Bac Tunisie 2022 SEG (section économie et gestion)   : image 8


1.a) Représenter en annexe , le nuage de points associé à la série statistique (x_i,y_i) .

b) En déduire qu'un ajustement affine entre x et y est justifié .

Dans la suite de l'exercice , on arrondira au centième les résultats des calculs


2.a) Déterminer une équation de la droite D de régression de y en x obtenue par la méthode des moindres carrées .

b) En déduire une estimation en milliards de dinars des dettes en 2022 .

3. Un ajustement exponentiel donné par y=41,68e^{0,13 x} est l'un des modèles appropriés à cette série statistique .

En adoptant cet ajustement , donner une estimation des dettes en milliards de dinars en 2022 .

4. Selon les hypothèses de la loi des finances , la dette est projetée à 114,14 milliards de dinars l'année 2022 . Lequel des deux ajustements est le plus pertinent ? Justifier votre réponse .

5 points

exercice 2

1. On considère la matrice M_{\alpha} = \begin{pmatrix}5&4&6\\\alpha &2&1 \\1&4&3\end{pmatrix}\text{ ; }\alpha\in\R .

a) Montrer que \det(M_{\alpha})=12\alpha+2 .

b) En déduire l'ensemble des réels \alpha pour lesquels M_{\alpha} soit inversible .

2. On donne les matrices A=\begin{pmatrix}5&4&6\\4&2&1 \\1&4&3\end{pmatrix}\enskip \text{ et }\enskip B=\begin{pmatrix}2&12&-8\\-11&9&1 9\\14&-16&-6\end{pmatrix} .

a) Calculer A \times B .

b) En déduire A^{-1} la matrice inverse de A .

3. On considère dans \R^{3} , le système (S)\enskip : \begin{cases} 5x+4y+6z=1460\\4x+2y+z=720\\x+4y+3z=820\end{cases} .

a) Donner l'écriture matricielle du système (S) .

b) Résoudre alors dans \R^{3} , le système (S) .

4. Une confiserie possède un stock de 146 \text{ kgs } d'amendes , 72 \text{ kgs } de noix de cajou et 82\text{ kgs } de noisettes .

Le responsable de la confiserie désire utiliser tout le stock pour remplir des sacs de trois mélanges G_1,G_2\text{ et }G_3 .

Le mélange G_1 contient 500 grammes d'amendes , 400 grammes de noix de cajou et 100 grammes de noisettes .

Le mélange G_2 contient 400 grammes d'amendes , 200 grammes de noix de cajou et 400 grammes de noisettes .

Le mélange G_3 contient 600 grammes d'amendes , 100 grammes de noix de cajou et 300 grammes de noisettes .

Combien de sacs de chaque mélange , la confiserie peut-elle remplir ? Justifier votre réponse .

5,5 points

exercice 3

Soit g la fonction définie sur [0,+\infty[ \text{ par } g(x)=xe^{x}-1 .

1.a) Montrer que g est strictement croissante sur [0,+\infty[ .

b) Dresser le tableau de variations de g sur [0,+\infty[ .

c) Montrer que l'équation g(x)=0 admet dans [0,+\infty[ une unique solution \alpha et que 0,5<\alpha<0,6 .

d) Recopier et compléter le tableau suivant donnant le signe de g(x) sur [0,+\infty[ .

Bac Tunisie 2022 SEG (section économie et gestion)   : image 7


2. Soit f la fonction définie sur ]0,+\infty[ par f(x)=e^{x}-\ln x .

a) Déterminer \displaystyle \lim_{x\to 0^{+}} f(x) et montrer que \displaystyle \lim_{x\to +\infty} f(x) =+\infty .

b) Montrer que pour tout x\in ]0,+\infty[ \text{ , }f'(x)=\dfrac{1}{x}g(x) .

c) Dresser alors le tableau de variations de f .

3. Dans la figure ci-dessous , on a tracé selon un repère orthonormé (O,\vec{i},\vec{j}) , les courbes (C_1) et (C_2) des fonctions x\mapsto \ln x \text{ et }x\mapsto e^{x} , et on a placé le réel \alpha sur l'axe des abscisses .

Bac Tunisie 2022 SEG (section économie et gestion)   : image 4


La droite d'équation x=\alpha coupe les courbes (C_1) \text{ et }(C_2) en deux points M et N . Montrer que MN=\alpha+\dfrac{1}{\alpha} .

5,5 points

exercice 4

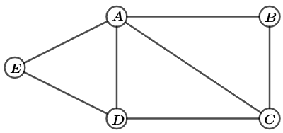
On considère le graphe (G) ci-contre :

Bac Tunisie 2022 SEG (section économie et gestion)   : image 9


Chaque sommet du graphe représente une boutique qui vend une seule marque de téléphone portable .

Chaque arête du graphe représente une rue reliant deux boutiques . Deux boutiques dans une même rue ne vendent pas la même marque de téléphone protable .

1.a) Donner l'ordre du graphe (G) .

b) Recopier et compléter le tableau suivant :

Bac Tunisie 2022 SEG (section économie et gestion)   : image 6


c) Un piéton peut-il visiter toutes les boutiques , en passant par chaque rue une fois et une seule ? Justifier votre réponse .

2. Soit n le nombre minimal de marques de téléphones protables présentées dans les cinq boutiques .

a) Donner un sous-graphe complet de (G) .

b) Justifier que 3 \leq n\leq 5 .

c) Déterminer la valeur de n . Justifier votre réponse .

3. Pour les véhicules , certaines rues deviennent à sens unique , d'autres restent à double sens . Cette nouvelle situation est modélisée par le graphe orienté (G') ci-contre :

Bac Tunisie 2022 SEG (section économie et gestion)   : image 10


a) Donner la matrice M associée au graphe (G') . (On ordonnera les sommets par ordre alphabétique ) .

b) On donne la matrice M^4=\begin{pmatrix} 7&3&6&4&2\\5&6&3&4&3\\5&5&4&4&3\\3&2&2&2&1\\3&5&2&3&3\end{pmatrix} .

Combien y-a-t-il de chaines orientées de longueur 4 allant du sommet B au sommet D ? Citer l'une de ces chaînes .

c) Justifier que le nombre de chaînes orientées de longueur 5 allant du sommet B au sommet D est égal à 8 .

Annexe à rendre avec la copie



Bac Tunisie 2022 SEG (section économie et gestion)   : image 5








exercice 1

1-a) On représente le nuage de points associé à la série statistique (x_i,y_i) :

Bac Tunisie 2022 SEG (section économie et gestion)   : image 13


b) On remarque que le nuage a une forme allongée autour d'une droite :

\boxed{\text{ Ce qui justifie un ajustement affine entre }x \text{ et } y }


2-a) Notons l'équation de la droite de régression D\text{ : }y=ax+b

Avec une calculatrice qui permet de calculer des statistiques , on trouve :

a=8,64\enskip\enskip\text{ et }\enskip\enskip b=38,26\enskip\enskip\enskip\text{ (arrondis au centième)}

Une équation de la droite D de régression de y en x s'écrit :
\boxed{D\text{ : }y=8,64x+38,26}


b) L'année 2022 correspond à x=8 , alors :

y=8,64\times 8+38,26 = \boxed{107,38}

\boxed{\text{ Les dettes de l'état en 2022 sont estimées à 107,38 MD}}


3) Avec ce nouveau ajustement, on obtient :

y=41,68e^{0,13 \times 8}= \boxed{117,92}

\boxed{\text{Les dettes de l'état en 2022 sont estimées dans ce cas à 117,92 MD}}


4) On a :

117,92-114,14=3,78
114,14-107,38=6,76>3,78

On en déduit que :
\boxed{\begin{matrix}\text{ L'ajustement exponentiel est le plus pertinent parce qu'il }\\\text{est le plus proche aux hypothèses de la loi des finances }\end{matrix}}


exercice 2


Soit la matrice M_{\alpha} = \begin{pmatrix}5&4&6\\\alpha &2&1 \\1&4&3\end{pmatrix}\text{ ; }\alpha\in\R .

1-a) On a , en développant par rapport à la première colonne :
\begin{matrix}\det(M_{\alpha})&=&\begin{vmatrix} 5&4&6\\\alpha &2&1 \\1&4&3\end{vmatrix}&=&5\begin{vmatrix}2&1\\4&3\end{vmatrix}-\alpha\begin{vmatrix}4&6\\4&3\end{vmatrix}+\begin{vmatrix}4&6\\2&1\end{vmatrix}\\&=&5(6-4)-\alpha(12-24)+4-12&=& 10+12\alpha-8\end{matrix}

Donc :
\boxed{\det(M_{\alpha})=12\alpha+2}


b) La matrice M_{\alpha} est inversible si et seulement si son déterminant est non nul , alors :

\begin{matrix}M_{\alpha}\text{ est inversible }&\iff& \det(M_{\alpha})\neq 0 &\iff& 12\alpha+2\neq 0 \\&\iff& \alpha\neq-\dfrac{2}{12}&\iff& \alpha\neq -\dfrac{1}{6}\end{matrix}

D'où :
\boxed{\begin{matrix}\text{L'ensemble des réels }\alpha\text{ pour lesquels la matrice }M_{\alpha }\\\text{ soit inversible est : }S_{\alpha}=\R\backslash\left\lbrace-\dfrac{1}{6}\right\rbrace \end{matrix}}


2-a) Soient A=\begin{pmatrix}5&4&6\\4&2&1 \\1&4&3\end{pmatrix}\enskip \text{ et }\enskip B=\begin{pmatrix}2&12&-8\\-11&9&1 9\\14&-16&-6\end{pmatrix}

Alors :

\begin{matrix}A\times B &=&\begin{pmatrix}5&4&6\\4&2&1 \\1&4&3\end{pmatrix}\enskip \times\enskip\begin{pmatrix}2&12&-8\\-11&9&1 9\\14&-16&-6\end{pmatrix} \\ &=&\begin{pmatrix}10-44+84&60+36-96&-40+76-36\\8-22+14&48+18-16&-32+38-6\\2-44+42&12+36-48&-8+76-18\end{pmatrix}\\&=&\begin{pmatrix}50&0&0\\0&50&0\\0&0&50\end{pmatrix}\\&=&5\begin{pmatrix}1&0&0\\0&1&0\\0&0&1\end{pmatrix}\end{matrix}

\boxed{A\times B=5I_3}


b) A est bien évidemment inversible car A=M_4 \enskip\enskip (\alpha=4\in S_{\alpha}).

Et A\times B=50I_3 \iff A\times \left(\dfrac{1}{50} B\right)=I_3

On en tire que :
\boxed{A^{-1}=\dfrac{1}{50}B}


3-a) Soit le système (S)\enskip : \begin{cases} 5x+4y+6z=1460\\4x+2y+z=720\\x+4y+3z=820\end{cases} .

Directement , l'écriture matricielle du système (S) est : \begin{pmatrix}5&4&6\\4&2&1 \\1&4&3\end{pmatrix}\begin{pmatrix}x\\y\\z\end{pmatrix}=\begin{pmatrix}1460\\720 \\820\end{pmatrix}

Ou encore :
\boxed{A\begin{pmatrix}x\\y \\z\end{pmatrix}=\begin{pmatrix}1460\\720 \\820\end{pmatrix}}


b) On résoud le système (S) matriciellement :

\begin{matrix}(S)&\iff& A\begin{pmatrix}x\\y \\z\end{pmatrix}=\begin{pmatrix}1460\\720 \\820\end{pmatrix} &\iff& \begin{pmatrix}x\\y \\z\end{pmatrix}=A^{-1}\begin{pmatrix}1460\\720 \\820\end{pmatrix}\\\\&\iff&  \begin{pmatrix}x\\y \\z\end{pmatrix}=\dfrac{1}{50}B\begin{pmatrix}1460\\720 \\820\end{pmatrix}&\iff&   \begin{pmatrix}x\\y \\z\end{pmatrix}=\dfrac{1}{50}\begin{pmatrix}2&12&-8\\-11&9&1 9\\14&-16&-6\end{pmatrix}\begin{pmatrix}1460\\720 \\820\end{pmatrix}\\\\&\iff& \begin{pmatrix}x\\y \\z\end{pmatrix}=\dfrac{1}{50}\begin{pmatrix}2\times 1460+12\times 720-8\times 820\\-11\times1460+9\times 720+19\times 820\\14\times 1460-16\times 720-6\times 820\end{pmatrix}&\iff&\begin{pmatrix}x\\y \\z\end{pmatrix}=\dfrac{1}{50}\begin{pmatrix}5000\\6000 \\4000\end{pmatrix}\\\\&\iff& \begin{pmatrix}x\\y \\z\end{pmatrix}=\begin{pmatrix}100\\120 \\80\end{pmatrix}&\iff& \begin{cases} x=100\\y=120\\z=80\end{cases}\end{matrix}

L'ensemble des solutions du système (S) est :
\boxed{\left\lbrace(100;120;80)\right\rbrace}


4) On pose :

x le nombre de sacs de mélange G_1 .
y le nombre de sacs de mélange G_2 .
z le nombre de sacs de mélange G_3 .

On regroupe toutes les données sur les mélanges G_1,G_2\text{ et }G_3 dans le tableau récapitulatif ci-dessous .

Pour des raisons de commodité , on utilise l'unité \text{ hg :hectogramme} , et on rappelle que 1\text{ hg}=0,1\text{ kg}=100\text{ g}

\begin{array}{|c|c|c|c|c|}\hline &&&&\\ &\text{ Mélange }G_1&\text{ Mélange }G_2&\text{ Mélange }G_3&\text{Total }\\   & & &&\\\hline &&&&\\ \text{Qté d'amendes (en hg)} & 5 &4&6&1460\\&&&&\\ \hline &&&&\\ \text{Qté de noix de cajou (en hg)}  &4& 2 &1&720\\&&&&\\\hline &&&&\\ \text{Qté de noisette (en hg)} &1&4&3&820\\&&&&\\\hline   \end{array}


On en déduit que : \begin{cases} 5x+4y+6z=1460\\4x+2y+z=720\\x+4y+3z=820\end{cases} , qui n'est autre que le système (S) , d'où : \begin{cases} x=100\\y=120\\z=80\end{cases}

Conclusion :
\boxed{\begin{matrix} \text{ Avec le stock qu'elle possède , la confisserie peut remplir : } \\ 100\text{ sacs du mélange }G_1 \\120\text{ sacs du mélange }G_2\\80\text{ sacs du mélange }G_3\end{matrix}}


exercice 3

1-a) La fonction g est dérivable sur l'intervalle [0,+\infty[ car la fonction \exp est dérivable sur \R , et donc sur [0;+\infty[ .

Donc , pour tout x\geq 0 \text{ : }

\begin{matrix}g'(x)&=& \left(xe^x-1\right)'&=& x'e^x+x(e^x)'\\&=&e^x+xe^x&=& (x+1)e^x\end{matrix}

Puisque , pour tout réel x \text{ , } e^x >0 , alors le signe de g'(x) est celui de x+1 .

Or x\geq 0 \iff x+1\geq 1 >0

Il s'ensuit que g'(x)>0 pour tout x de [0;+\infty[ , d'où :

\boxed{ g \text{ est strictement croissante sur }[0;+\infty[}


b) On a :

g(0)=0\times e^0-1 = -1
\displaystyle\lim_{x\to+\infty}g(x)=\displaystyle\lim_{x\to+\infty}xe^x-1=+\infty

Le tableau de variations de la fonction g :
\begin{array}{|c|ccc|} \hline x     & 0  &        &     +\infty      \\ \hline g'(x) &          & +      &          \\ \hline       &        &        &   +\infty    \\        g     &          &\nearrow          &                                          \\	         &    -1        &        &                                     \\  \hline \end{array}


c) g est continue et strictement croissante sur [0;+\infty[ .
Elle réalise donc une bijection de [0;+\infty[ sur g([0;+\infty[)= \left[g(0);\displaystyle\lim_{x\to+\infty}g(x)\right[ =[-1;+\infty[

Et 0 \in [-1;+\infty[ .

De plus g(0,5)=0,5e^{0,5}-1\approx-0,17<0\enskip\text{ et }\enskip g(0,6)=0,6e^{0,6}-1\approx0,09>0 .
Alors g(0,5)g(0,6)<0

D'après le théorème des valeurs intermédiaires :

\boxed{\text{L'équation }g(x)=0\text{ admet une unique solution } \alpha\in]0,5;0,6[}


d) D'après la question précédente :
\begin{array}{|c|ccccc|} \hline x     & 0  &        &  \alpha& &   +\infty      \\ \hline &&&\barre{}&&\\ g(x) &     & -    & \barre{0}&+      &          \\&&&\barre{}&&\\  \hline \end{array}


2-a)

\displaystyle \lim_{x\to 0^{+}} f(x)

Puisque \displaystyle \lim_{x\to 0^{+}}e^{x}=e^0=1 \enskip \enskip\text{ et }\enskip\enskip \displaystyle \lim_{x\to 0^{+}}\ln x =-\infty

Alors \displaystyle \lim_{x\to 0^{+}}f(x)= \displaystyle \lim_{x\to 0^{+}}\left( e^{x}-\ln x\right)=\displaystyle \lim_{x\to 0^{+}}e^x-\displaystyle \lim_{x\to 0^{+}}\ln x=0-(-\infty)=+\infty .


\displaystyle \lim_{x\to +\infty} f(x)
On a : \displaystyle \lim_{x\to +\infty}f(x)= \displaystyle \lim_{x\to +\infty}\left( e^{x}-\ln x\right)=\displaystyle \lim_{x\to +\infty}x\left( \dfrac{e^{x}}{x}-\dfrac{\ln x}{x}\right)

Or , on sait que : \displaystyle \lim_{x\to +\infty}\dfrac{e^{x}}{x}=+\infty \enskip\enskip\text{ et }\enskip\enskip \displaystyle \lim_{x\to +\infty}\dfrac{\ln x}{x}=0

Alors :\displaystyle \lim_{x\to +\infty}f(x)= \displaystyle \lim_{x\to +\infty}x\left( \dfrac{e^{x}}{x}-\dfrac{\ln x}{x}\right)=(+\infty) \times (+\infty)=+\infty


Conclusion :
\boxed{\displaystyle \lim_{x\to 0^{+}} f(x) =+\infty \text{ et }\lim_{x\to +\infty} f(x) =+\infty }


b) f est dérivable sur ]0;+\infty[ comme somme des fonctions \exp \text{ et }\ln dérivables sur ]0;+\infty[ .

\begin{matrix}\forall x\in]0;+\infty[ \text{ : }f'(x)&=&\left(e^x-\ln x\right)'\\&=& \left(e^x\right)'-(\ln x)'\\&=&e^x-\dfrac{1}{x}\\&=&\dfrac{1}{x}\left(xe^x-1\right)\end{matrix}

\boxed{\forall x\in]0;+\infty[ \text{ : }f'(x)=\dfrac{1}{x}g(x)}


c) Puisque x>0 , alors \dfrac{1}{x}>0 , on en déduit que le signe de f'(x) est celui de g(x) .

En utilisant les résultats trouvés à la question 1-d) , on dresse le tableau de variations de la fonction f :

\begin{array}{|c||ccccr|} \hline x     & 0 & &\alpha&  &           +\infty \\ \hline f'(x) &        &- & \barre{0} & + &      \\ \hline       &   +\infty &  && &  +\infty   \\  f &    &\searrow &&\nearrow&  \\    &   &  & f(\alpha) &&    \\  \hline \end{array}


4) Pusique M et N ont la même abscisse x_{M}=x_{N }=\alpha , alors MN=|y_{N}-y_{M}|

Bac Tunisie 2022 SEG (section économie et gestion)   : image 12


De plus :

 M\in(C_1) , alors y_M=\ln \alpha
 N\in(C_2) , alors y_N=e^{ \alpha}

Il s'ensuit que MN=|y_{N}-y_{M}|=\left|e^{\alpha}-\ln\alpha\right|

D'autre part , on sait que g(\alpha)=0 , alors : \alpha e^{\alpha}-1=0

Et en sachant que \alpha\neq 0 \text{ , } \boxed{ e^{\alpha} =\dfrac{1}{\alpha}}\enskip \enskip\text{ ou encore }\alpha=\ln\left(\dfrac{1}{\alpha}\right)\text{ , c'est-à-dire }\boxed{\alpha=-\ln\alpha}

D'où : MN=|y_{N}-y_{M}|=\left|e^{\alpha}-\ln\alpha\right|=\left|\dfrac{1}{\alpha}+\alpha\right|

Enfin , \alpha >0\text{ , alors }\dfrac{1}{\alpha}+\alpha>0

Conclusion :
\boxed{MN=\dfrac{1}{\alpha}+\alpha}


exercice 4

1-a) Puisque le graphe comporte 5 sommets , alors :

\boxed{\text{ L'ordre de }(G)\text{ est }5 }


b) Le degré d'un sommet d'un graphe étant le nombre de liens reliant ce sommet , on complète le tableau :

\begin{array}{|c|c|c|c|c|c|}\hline \text{Sommet}&A&B&C&D&E\\ \hline\text{Dégré}&4&2&3&3&2\\\hline   \end{array}


c) (G) est un graphe connexe et admet exactement deux sommets de degré impair (3) qui sont C et D , alors , G admet une chaîne Eulérienne.

Et donc :
\boxed{\text{ Il est possible de visiter toutes les boutiques , en passant par chaque rue une fois et une seule }}


2-a) On donne :

\boxed{\left\lbrace A;B;C\right\rbrace \text{ est un sous-graphe complet de }(G)}


b) Le nombre minimal n de marques de téléphones protables présentées dans les cinq boutiques est un nombre chromatique .

Puisque (G) amdet un sous-graphe complet d'ordre 3 , alors 3\leq n\enskip\blue (i) .

D'autre part , le plus haut degré des sommets est 4 , d'où : n\leq 4+1=5 \enskip\blue (ii)

\text{ De }\blue (i)\black\text{ et }\blue (ii) :

\boxed{3\leq n\leq 5}


c) Le plus petit nombre de couleurs nécessaires pour colorier ce graphe est 3 , en effet :

Bac Tunisie 2022 SEG (section économie et gestion)   : image 11


Alors :
\boxed{n=3}


3-a)On ordonne les sommets par ordre alphabétique, on trouve :

\boxed{M=\begin{pmatrix} 0&1&0&1&1\\1&0&1&0&0\\1&1&0&0&0\\0&0&1&0&0\\1&0&0&1&0\end{pmatrix} }


b) Le nombre de chaînes orientées de longueur \red 4 allant du sommet B au sommet D est le terme de la matrice M^{\red 4} situé à la deuxième ligne (correspondant au sommet B) et à la quatrième colonne (correspondant au sommet D) .

Donc :
\boxed{\text{Il y a 4 chaînes orientées de longueur 4 allant du sommet B au sommet D }}


Ces quatre chaînes sont (Il est demandé de donner UN exemple)

B\rightarrow A\rightarrow E\rightarrow A \rightarrow D

B\rightarrow A\rightarrow B\rightarrow A \rightarrow D

B\rightarrow C\rightarrow B\rightarrow A \rightarrow D

B\rightarrow C\rightarrow A\rightarrow E \rightarrow D


c) Il suffit de calculer le terme de la matrice M^{5} situé à la deuxième ligne et à la quatrième colonne , donc (M^5)_{24}
Et puisque M^5=M^4\times M , il suffit de multiplier la matrice ligne \begin{pmatrix} 5&6&3&4&3\end{pmatrix} des termes de la deuxième ligne de la matrice M^4 , par la matrice colonne \begin{pmatrix}1\\0\\0\\0\\1\end{pmatrix} des termes de la quatrième colonne de la matrice M .
On trouve  (M^5)_{24}=\begin{pmatrix} 5&6&3&4&3\end{pmatrix}\times \begin{pmatrix}1\\0\\0\\0\\1\end{pmatrix}=5+3=8

Donc :
\boxed{\text{Il y a 8 chaînes orientées de longueur 5 allant du sommet B au sommet D }}


Remarque :

Puisqu'on a aussi M^5=M\times M^4 .

Alors on pouvait calculer (M^5)_{24} en multipliant la deuxième ligne de la matrice M par la quatrième colonne de la matrice M^4 , en effet :
 (M^5)_{24}=\begin{pmatrix} 1&0&1&0&0\end{pmatrix}\times \begin{pmatrix}4\\4\\4\\2\\3\end{pmatrix}=4+4=8
Publié le
ceci n'est qu'un extrait
Pour visualiser la totalité des cours vous devez vous inscrire / connecter (GRATUIT)
Inscription Gratuite se connecter
Merci à
Panter Correcteur
/
Panter Correcteur
pour avoir contribué à l'élaboration de cette fiche


Vous devez être membre accéder à ce service...

Pas encore inscrit ?

1 compte par personne, multi-compte interdit !

Ou identifiez-vous :


Rester sur la page

Inscription gratuite

Fiches en rapport

parmi 1768 fiches de maths

Désolé, votre version d'Internet Explorer est plus que périmée ! Merci de le mettre à jour ou de télécharger Firefox ou Google Chrome pour utiliser le site. Votre ordinateur vous remerciera !