Fiche de mathématiques
> >

Bac spécialité maths 2025

Amérique du Sud

(remplacement)

Jour 1

Partager :


Durée de l'épreuve : 4 heures


L'usage de la calculatrice avec mode examen actif est autorisé.

L'usage de la calculatrice sans mémoire "type collège" est autorisé.


4 points

exercice 1



Un étudiant mange tous les jours au restaurant universitaire. Ce restaurant propose des plats végétariens et des plats non végétariens.

 {\white{www}}\bullet{\white{www}}  Lorsqu'un jour donné l'étudiant a choisi un plat végétarien, la probabilité qu'il choisisse un plat végétarien le lendemain est 0,9.

 {\white{www}}\bullet{\white{www}}  Lorsqu'un jour donné l'étudiant a choisi un plat non végétarien, la probabilité qu'il choisisse un plat végétarien le lendemain est 0,7.

Pour tout entier naturel  n , on note  V_n  l'évènement « l'étudiant a choisi un plat végétarien le  n^{\text{ième}}   jour » et  p_n  la probabilité de  V_n .

Le jour de la rentrée, l'étudiant a choisi le plat végétarien. On a donc  p_1 = 1 .

1. a.   Indiquer la valeur de  p_2 .

1. b.   Montrer que  p_3 = 0,88 . On pourra s'aider d'un arbre pondéré.

1. c.   Sachant que le 3e jour l'étudiant a choisi un plat végétarien, quelle est la probabilité qu'il ait choisi un plat non végétarien le jour précédent ' On arrondira le résultat à  10^{-3}  .

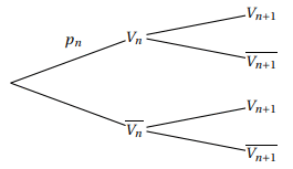
2.   Recopier et compléter l'arbre pondéré ci-dessous :
Bac spécialité maths 2025 Amérique du Sud (remplacement) Jour 1 : image 7

3.   Justifier que, pour tout entier naturel  n \ge 1\ ,\  p_{n+1} = 0,2p_n +0,7. 

4.   On souhaite disposer de la liste des premiers termes de la suite  (p_n)  pour  n \ge 1 .

Pour cela, on utilise une fonction appelée repas programmée en langage Python dont on propose trois versions, indiquées ci-dessous.
Bac spécialité maths 2025 Amérique du Sud (remplacement) Jour 1 : image 6

4. a.   Lequel de ces programmes permet d'afficher les  n  premiers termes de la suite  (p_n)  ' Aucune justification n'est attendue.

4. b.   Avec le programme choisi à la question a.  donner le résultat affiché pour  n = 5 .

5.   Démontrer par récurrence que, pour tout naturel  n \ge 1, p_n = 0,125\times 0,2^{n-1} + 0,875 .

6.   En déduire la limite de la suite  (p_n) .

5 points

exercice 2



Pour chacune des affirmations suivantes, indiquer si elle est vraie ou fausse. Chaque réponse doit être justifiée.
Une réponse non justifiée ne rapporte aucun point.

1.   Deux équipes de footballeurs de 22 et 25 joueurs échangent une poignée de main à la fin d'un match. Chaque joueur d'une équipe serre une seule fois la main de chaque joueur de l'autre équipe.

Affirmation 1
47 poignées de mains ont été échangées.


2.   Une course oppose 18 concurrents. On récompense indistinctement les trois premiers en offrant le même prix à chacun.

Affirmation 2
Il y a 4 896 possibilités de distribuer ces prix.


3.   Une association organise une compétition de course de haies qui permettra d'établir un podium (le podium est constitué des trois meilleurs sportifs classés dans leur ordre d'arrivée). Sept sportifs participent au tournoi. Jacques est l'un d'entre eux.

Affirmation 3
Il y a 90 podiums différents dont Jacques fait partie.


4.   Soit  X_1   et   X_2  deux variables aléatoires de même loi donnée par le tableau ci-dessous :
Bac spécialité maths 2025 Amérique du Sud (remplacement) Jour 1 : image 4

On suppose que  X_1   et   X_2  sont indépendantes et on considère  Y  la variable aléatoire somme de ces deux variables aléatoires.

Affirmation 4
P(Y = 4) = 0,25.


5.   Un nageur s'entraîne dans l'objectif de parcourir le 50 mètres nage libre en moins de 25 secondes. Au fil des entraînements, il s'avère que la probabilité qu'il y parvienne s'établit à 0,85.

Il effectue, sur une journée, 20 parcours chronométrés sur 50 mètres. On note  X  la variable aléatoire qui compte le nombre de fois où il nage cette distance en moins de 25 secondes lors de cette journée.

On admet que  X  suit la loi binomiale de paramètres  n = 20  et  p = 0,85 .

Affirmation 5
Sachant qu'il a atteint au moins 15 fois son objectif, une valeur approchée à  10^{-3}  de la probabilité qu'il l'ait atteint au moins 18 fois est 0,434.

6 points

exercice 3



On se propose d'étudier la concentration dans le sang d'un médicament ingéré par une personne pour la première fois. Soit  t  le temps (en heures) écoulé depuis l'ingestion de ce médicament.

On admet que la concentration de ce médicament dans le sang, en gramme par litre de sang, est modélisée par une fonction  f  de la variable  t  définie sur l'intervalle  [0 ; +\infty[ .


Partie A : lectures graphiques


Bac spécialité maths 2025 Amérique du Sud (remplacement) Jour 1 : image 1

On a représenté ci-dessus la courbe représentative de la fonction  f  . Avec la précision permise par le graphique, donner sans justification :

1.   Le temps écoulé depuis l'instant de l'ingestion de ce médicament et l'instant où la concentration de médicament dans le sang est maximale selon ce modèle.

2.   L'ensemble des solutions de l'inéquation  f (t) \ge 1 .

3.   La convexité de la fonction  f  sur l' intervalle  [0\ ;\  8] .


Partie B : détermination de la fonction  f 


On considère l'équation différentielle  (E) :\, y' + y = 5e^{-t}  , d'inconnue  y , où  y  est une fonction définie et dérivable sur l'intervalle  [0 ; +\infty[ .

On admet que la fonction  f  est une solution de l'équation différentielle  (E) .

1.   Résoudre l'équation différentielle  (E') :\, y ' + y = 0 .

2.   Soit  u  la fonction définie sur l'intervalle  [0 ; +\infty[  par  u(t) = at\text e^{-t}  avec  a \in \mathbb R  .

Déterminer la valeur du réel  a  telle que la fonction  u   soit solution de l'équation  (E) .

3.   En déduire l'ensemble des solutions de l'équation différentielle (E).

4.   La personne n'ayant pas pris ce médicament auparavant, on admet que  f (0) = 0 .

Déterminer l'expression de la fonction  f  .


Partie C : étude de la fonction f


Dans cette partie, on admet que  f  est définie sur l'intervalle  [0 ; +\infty[  par  f (t) = 5t\text e^{-t} .

1.   Déterminer la limite de f en  +\infty .

Interpréter ce résultat dans le contexte de l'exercice.

2.   Étudier les variations de  f  sur l'intervalle  [0 ; +\infty[  puis dresser son tableau de variation complet.

3.   Démontrer qu'il existe deux réels  t_1  et  t_2  tels que  f (t_1) = f (t_2) = 1 .

On donnera une valeur approchée à  10^{-2}  des réels  t_1  et  t_2 .

4.   Pour une concentration du médicament supérieure ou égale à 1 gramme par litre de sang, il y a un risque de somnolence.

Quelle est la durée en heures et minutes du risque de somnolence lors de la prise de ce médicament '


Partie D : concentration moyenne


La concentration moyenne du médicament (en gramme par litre de sang) durant la première heure est donnée par :  T_m=\displaystyle\int _0 ^1 f(t)\text d t 

où  f  est la fonction définie sur  [0 ; +\infty[  par  f (t) = 5t\text e^{-t} .

Calculer cette concentration moyenne.

On donnera la valeur exacte puis une valeur approchée à 0,01 près

5 points

exercice 4



Bac spécialité maths 2025 Amérique du Sud (remplacement) Jour 1 : image 2

L'espace est muni d'un repère orthonormé  (O\,;\overrightarrow i\,,\overrightarrow j\,,\overrightarrow k) .

On considère les points
 A(2\sqrt 3\,;0\,;0), B(0\,;2\,;0), C(0\,;0\,;1)   et   K \left(\dfrac{\sqrt 3}{2}\,;\dfrac 32\,;0 \right) .


1.   Justifier qu'une représentation paramétrique de la droite  (CK)  est :

 \left\lbrace\begin{matrix} x& =& \dfrac{\sqrt 3}{2}t& \\ y& =& \dfrac 32 t & (t\in \mathbb R)\\ z&= &-t+1 & \end{matrix}\right. 

2.   Soit  M(t)  un point de la droite  (CK)  paramétrée par un réel t.

Établir que  OM(t) =\sqrt{4t²-2t+1} .

3.   Soit  f  la fonction définie et dérivable sur  \mathbb R  par  f (t) = OM(t) .

3. a.   Étudier les variations de la fonction  f  sur  \mathbb R .

3. b.   En déduire la valeur de  t  pour laquelle  f  atteint son minimum.

4.   En déduire que le point  H\left(\dfrac {\sqrt 3}{8}\,; \dfrac 38\,; \dfrac 34\right)  est le projeté orthogonal du point  O  sur la droite  (CK) .

5.   Démontrer, à l'aide de l'outil produit scalaire, que le point  H  est l'orthocentre (intersection des hauteurs d'un triangle) du triangle  ABC .

6. a.   Démontrer que la droite  (OH)  est orthogonale au plan  (ABC) .

6. b.   En déduire une équation du plan  (ABC) .

7.   Calculer, en unité d'aire, l'aire du triangle  ABC .




Bac spécialité maths 2025

Amérique du Sud (remplacement)

Jour 1

Partager :



4 points

exercice 1

Un étudiant mange tous les jours au restaurant universitaire. Ce restaurant propose des plats végétariens et des plats non végétariens.

{\white{ww}}\bullet{\white{ww}} Lorsqu'un jour donné l'étudiant a choisi un plat végétarien, la probabilité qu'il choisisse un plat végétarien le lendemain est 0,9.
 {\white{ww}}\bullet{\white{ww}} Lorsqu'un jour donné l'étudiant a choisi un plat non végétarien, la probabilité qu'il choisisse un plat végétarien le lendemain est 0,7.

Pour tout entier naturel  \overset{ { \white{ -. } } } {  n  }  , on note  \overset{ { \white{ _. } } } { V_n   }  l'événement '' l'étudiant a choisi un plat végétarien le  \overset{ { \white{ } } } { n^{\text{ième}}   }  jour '' et  \overset{ { \white{m. } } } {  p_n  }  la probabilité de  \overset{ { \white{ _. } } } { v_n   }  .
Le jour de la rentrée, l'étudiant a choisi le plat végétarien. On a donc  \overset{ { \white{ _. } } } { p_1=1   }  .

1. a)  Nous devons indiquer la valeur de   \overset{ { \white{ m. } } }{  p_2  }  .

Selon l'énoncé, ''lorsqu'un jour donné l'étudiant a choisi un plat végétarien, la probabilité qu'il choisisse un plat végétarien le lendemain est 0,9.
Le jour de la rentrée, l'étudiant a choisi le plat végétarien.''


Le lendemain, la probabilité qu'il choisisse un plat végétarien est donc 0,9.

D'où  \overset{ { \white{ _. } } } { \boxed{p_2=0,9}   } .


1. b)  Nous devons montrer que  \overset{ { \white{ _. } } } {  p_3 = 0,88  }  .

Arbre pondéré modélisant la situation.

Bac spécialité maths 2025 Amérique du Sud (remplacement) Jour 1 : image 15


Les événements  \overset{{\white{_.}}}{V_2}  et  \overset{{\white{}}}{\overline{V_2}}  forment une partition de l'univers.
En utilisant la formule des probabilités totales, nous obtenons :

{ \white{ xxi } }  P(V_3)=P(V_2\cap V_3)+P(\overline {V_2}\cap V_3) \\\overset{ { \white{ _. } } } {\phantom{P(V_3)}=P({V_2})\times P_{{V_2}}(V_3)+P(\overline{V_2})\times P_{\overline{V_2}}(V_3) } \\\overset{ { \white{ _. } } } {\phantom{P(V_3)}=0,9\times 0,9+0,1\times 0,7    } \\\overset{ { \white{ _. } } } {\phantom{P(V_3)}=0,88    } \\\\\Longrightarrow\quad \boxed{P(V_3)=0,88}


1. c)  Sachant que le 3e jour l'étudiant a choisi un plat végétarien, déterminons quelle est la probabilité qu'il ait choisi un plat non végétarien le jour précédent, soit  \overset{ { \white{ _. } } } { P_{V_3}(\overline{V_2}) } 

{ \white{ xxi } } P_{V_3}(\overline{V_2})=\dfrac{P(\overline{V_2}\cap V_3)}{P(V_3)} \\\overset{ { \white{ . } } } {  \phantom{ P_{V_3}(\overline{V_2})}=\dfrac{P(\overline{V_2})\times P_{\overline{V_2}} (V_3)}{P(V_3)} } \\\overset{ { \white{ . } } } {  \phantom{ P_{V_3}(\overline{V_2})}=\dfrac{0,1\times 0,7}{0,88} } \\\overset{ { \white{ . } } } {  \phantom{ P_{V_3}(\overline{V_2})}=\dfrac{0,07}{0,88}\approx 0,080 } \\\\\Longrightarrow\quad\boxed{P_{V_3}(\overline{V_2})\approx 0,080}

Par conséquent, sachant que le 3e jour l'étudiant a choisi un plat végétarien, la probabilité qu'il ait choisi un plat non végétarien le jour précédent est environ égale à 0,080 (valeur arrondie à  \overset{ { \white{ _. } } } { 10^{-3}   } ).


2.   Arbre pondéré complété ci-dessous :

Bac spécialité maths 2025 Amérique du Sud (remplacement) Jour 1 : image 11


3.  Nous devons justifier que, pour tout entier naturel  \overset{ { \white{ _. } } } {  n \ge 1\ ,\ p_{n+1} = 0,2p_n +0,7   } .

Pour tout  \overset{ { \white{ _. } } } { n\geq 1   } , les événements  \overset{{\white{_.}}}{V_n}  et  \overset{{\white{}}}{\overline{V_n}}  forment une partition de l'univers.
En utilisant la formule des probabilités totales, nous obtenons :

{ \white{ xxi } }p_{n+1}= P(V_{n+1})=P(V_{n}\cap V_{n+1})+P(\overline {V_{n}}\cap V_{n+1}) \\\overset{ { \white{ _. } } } {\phantom{p_{n+1}}=P({V_{n}})\times P_{{V_{n}}}(V_{n+1})+P(\overline{V_{n}})\times P_{\overline{V_{n}}}(V_{n+1}) } \\\overset{ { \white{ _. } } } {\phantom{p_{n+1}}=p_n\times 0,9+(1-p_n)\times 0,7 }
{ \white{ xxi } } .\\\overset{ { \white{ _. } } } {\phantom{p_{n+1}}=0,9\,p_n+0,7-0,7\,p_n   } \\\overset{ { \white{ _. } } } {\phantom{p_{n+1}}=0,2\,p_n +0,7   } \\\\\Longrightarrow\quad \boxed{p_{n+1})=0,2\,p_n +0,7   }

4.  a)  Nous devons déterminer lequel de ces programmes permet d'afficher les  \overset{ { \white{ -. } } } {  n  }  premiers termes de la suite  \overset{ { \white{ _. } } } { (p_n)   } .

Bac spécialité maths 2025 Amérique du Sud (remplacement) Jour 1 : image 13


Le programme 2 affiche les  \overset{ { \white{ _. } } } { n+1   }  premiers termes de la suite  \overset{ { \white{ _. } } } { (p_n)   } .
Le programme 3 affiche les termes de la suite  \overset{ { \white{ _. } } } { (p_n)   }  supérieurs à 1.
Donc le programme permettant d'afficher les  \overset{ { \white{ -. } } } {  n  }  premiers termes de la suite  \overset{ { \white{ _. } } } { (p_n)   }  est le programme 1.


4.  b)  Le résultat affiché pour  \overset{ { \white{ _. } } } { n = 5   }  avec le programme 1 est la liste  \overset{ { \white{ _. } } } {  [\,1\;;\;0,9\;;\;0,88\;;\;0,876\;;\;0,8752\,]  } .

En effet,

{ \white{ xxi } } \bullet{\white{x}}\boxed{p_1=1} \\\\\bullet{\white{x}}\boxed{p_2=0,9} \\\\\bullet{\white{x}}\boxed{p_3=0,88} \\\\\bullet{\phantom{x}}p_4=0,2\,p_3+0,7 \\\overset{ { \phantom{ . } } } {  \phantom{p_4wi}=0,2\times 0,88+0,7}  \\\\\quad\Longrightarrow \quad\boxed{p_4=0,876 }

{ \white{ xxi } }  \\\\\bullet{\phantom{x}}p_5=0,2\,p_4+0,7 \\\overset{ { \phantom{ . } } } {  \phantom{p_5wi}=0,2\times 0,876+0,7}  \\\\\quad\Longrightarrow \quad\boxed{p_5=0,8752 }

5.  Nous devons démontrer par récurrence que, pour tout naturel  \overset{ { \white{ _. } } } { n \geq 1} ,

p_n = 0,125\times 0,2^{n-1} + 0,875 }  .

Initialisation  : Montrons que la propriété est vraie pour  \overset{ { \white{ _. } } } { n=1   } , soit que :  \overset{{\white{.}}}{p_1 = 0,125\times 0,2^{1-1} + 0,875} .
C'est une évidence puisque :

{ \white{ xxi } }  \overset{{\white{.}}}{\begin{cases}p_1=1\\0,125\times 0,2^{1-1} + 0,875=0,125\times 0,2^{0} + 0,875\\\overset{ { \phantom{ . } } } {  \phantom{  0,125\times 0,2^{1-1} + 0,875}=0,125\times1+0,875}\\\overset{ { \phantom{ . } } } {  \phantom{  0,125\times 0,2^{1-1} + 0,875}=0,125+0,875}\\\overset{ { \phantom{ . } } } {  \phantom{  0,125\times 0,2^{1-1} + 0,875}=1}  \end{cases}} \\\\\quad\Longrightarrow\quad \boxed{p_1=0,125\times 0,2^{1-1} + 0,875}
Donc l'initialisation est vraie.

Hérédité  : Montrons que si pour un nombre entier naturel non nul  \overset{ { \white{ -. } } } { n   }  fixé, la propriété est vraie au rang  \overset{ { \white{ -. } } } { n   }  , alors elle est encore vraie au rang  \overset{ { \white{ _. } } } {  n+1  } .
Montrons donc que si pour un nombre entier naturel non nul   \overset{ { \white{ -. } } } { n   }    fixé,  \overset{ { \white{ -. } } } {p_n = 0,125\times 0,2^{n-1} + 0,875}  , alors nous avons :  \overset{{\white{.}}}{p_{n+1} = 0,125\times 0,2^{n} + 0,875 } .

En effet,

{ \white{ xxi } } p_{n+1}=0,2\,p_n+0,7 \\\overset{ { \white{ . } } } {  \phantom{  p_{n+1}}=0,2\,(0,125\times 0,2^{n-1} + 0,875)+0,7} \\\overset{ { \white{ . } } } {  \phantom{  p_{n+1}}=0,2\times0,125\times 0,2^{n-1} + 0,2\times0,875+0,7} \\\overset{ { \white{ . } } } {  \phantom{  p_{n+1}}=0,125\times 0,2^{n} + 0,175+0,7} \\\overset{ { \phantom{ . } } } {  \phantom{  p_{n+1}}=0,125\times 0,2^{n} + 0,875} \\\\\Longrightarrow\quad\boxed{p_{n+1}=0,125\times 0,2^{n} + 0,875}

L'hérédité est vraie.

Puisque l'initialisation et l'hérédité sont vraies, nous avons montré par récurrence que, pour tout entier naturel  \overset{ { \white{ _. } } } { n \geq 1,\quad p_n = 0,125\times 0,2^{n-1} + 0,875 .} 

6.  Nous devons en déduire la limite de la suite  \overset{ { \white{ _. } } } { (p_n)   }  .

{ \white{ xxi } } -1<0,2<1\quad\Longrightarrow\quad \lim\limits_{n\to+\infty}0,2^{n-1}=0 \\\overset{ { \white{ . } } } {  \phantom{  -1<0,2<1}\quad\Longrightarrow\quad \lim\limits_{n\to+\infty}0,125\times 0,2^{n-1}=0} \\\overset{ { \white{ . } } } {  \phantom{  -1<0,2<1}\quad\Longrightarrow\quad \lim\limits_{n\to+\infty}(0,125\times 0,2^{n-1}+ 0,875)= 0,875} \\\overset{ { \white{ . } } } {  \phantom{  -1<0,2<1}\quad\Longrightarrow\quad \boxed{\lim\limits_{n\to+\infty}p_n= 0,875}}

D'où la limite de la suite  \overset{ { \white{ _. } } } { (p_n)   }  est égale à 0,875.


5 points

exercice 2

1.  Deux équipes de footballeurs de 22 et 25 joueurs échangent une poignée de main à la fin d'un match. Chaque joueur d'une équipe serre une seule fois la main de chaque joueur de l'autre équipe.
{ \white{ xxi } }Affirmation 1 :   47 poignées de mains ont été échangées.
{ \white{ xxi } }Affirmation fausse.

Chaque joueur de l'équipe de 22 joueurs échange une poignée de mains avec les 25 joueurs de l'autre équipe.
Au total, il y a donc  \overset{ { \white{ _. } } } { 22\times25   }  poignées de mains échangées, soit  \overset{ { \white{ _. } } } { 550   }  poignées de mains.
L'affirmation 1 est fausse.


2.  Une course oppose 18 concurrents. On récompense indistinctement les trois premiers en offrant le même prix à chacun.
{ \white{ xxi } }Affirmation 2 :   Il y a 4 896 possibilités de distribuer ces prix.
{ \white{ xxi } }Affirmation fausse.

Puisque les prix sont identiques, il suffit de choisir 3 concurrents parmi 18.
Le nombre de choix possibles est égal à  \overset{ { \white{ _. } } } {  \begin{pmatrix}18\\3\end{pmatrix}.  } 
Or  \overset{ { \white{ _. } } } { \begin{pmatrix}18\\3\end{pmatrix}=\dfrac{18!}{3!\times15!}=816.   } 
Il y a donc 816 possibilités de distribuer ces prix.
L'affirmation 2 est fausse.


3.  Une association organise une compétition de course de haies qui permettra d'établir un podium (le podium est constitué des trois meilleurs sportifs classés dans leur ordre d'arrivée). Sept sportifs participent au tournoi. Jacques est l'un d'entre eux.
{ \white{ xxi } }Affirmation 3 :   Il y a 90 podiums différents dont Jacques fait partie.
{ \white{ xxi } }Affirmation vraie.

Jacques fait partie de chaque podium.
Il est soit premier, soit deuxième, soit troisième.

Pour compléter chaque podium, il reste à choisir les deux autres sportifs parmi les 6 sportifs autres que Jacques.
Il y a donc 6 possibilités d'occuper la première place vide du podium et pour chacun de ces cas, il reste 5 possibilités d'occuper la deuxième place vide du podium.
Il y a ainsi  \overset{ { \white{ _. } } } { 6\times5=30   }  podiums différents.

Au total, il y a ainsi 30 podiums différents tels que Jacques occupe la première place, 30 podiums tels que Jacques occupe la deuxième place et 30 autres podiums tels que Jacques occupe la troisième place.

Par conséquent, il y a 90 podiums différents dont Jacques fait partie.
L'affirmation 3 est vraie.


4.  Soit  \overset{ { \white{ _. } } } { X_1  }  et  \overset{ { \white{ _. } } } { X_2   }  deux variables aléatoires de même loi donnée par le tableau ci-dessous :

\begin{array}{|c|ccc|ccc|ccc|ccc|}\hline&&&&&&&&&&&&& x_i &&-2&&&-1&&&2&&&5&\\&&&&&&&&&&&&\\\hline&&&&&&&&&&&&& P(X=x_i) &&0,1&&&0,4&&&0,3&&&0,2&\\&&&&&&&&&&&& \\\hline \end{array}


On suppose que  \overset{ { \white{ _. } } } { X_1  }  et  \overset{ { \white{ _. } } } { X_2   }  sont indépendantes et on considère  \overset{ { \white{ _. } } } {  Y  }  la variable aléatoire somme de ces deux variables aléatoires.
{ \white{ xxi } }Affirmation 3 :    \overset{ { \white{ _. } } } {  P(Y = 4) = 0,25  } .
{ \white{ xxi } }Affirmation vraie.

Les variables aléatoires  \overset{ { \white{ _. } } } { X_1  }  et  \overset{ { \white{ _. } } } { X_2   }  suivent la même loi de probabilité.
Nous avons donc le tableau suivant :

\begin{array}{|c|ccc|ccc|ccc|ccc|}\hline&&&&&&&&&&&&& x_i &&-2&&&-1&&&2&&&5&\\&&&&&&&&&&&&\\\hline&&&&&&&&&&&&& P(X_1=x_i) &&0,1&&&0,4&&&0,3&&&0,2&\\P(X_2=x_i) &&0,1&&&0,4&&&0,3&&&0,2&\\&&&&&&&&&&&& \\\hline \end{array}


Nous savons que :

  Y=4\quad\Longleftrightarrow\quad (X_1=-1\text{ et }X_2=5) \\\overset{ { \white{ . } } } {  \phantom{  Y=4\quad\Longleftrightarrow\quad }{\phantom{xxx}}\text{ ou }(X_1=2\text{ et }X_2=2)  } \\\overset{ { \white{ . } } } {  \phantom{  Y=4\quad\Longleftrightarrow\quad }{\phantom{xxxxxx}}\text{ ou }(X_1=5\text{ et }X_2=-1)    } 

D'où nous obtenons :

P(Y=4)=P((X_1=-1)\cap(X_2=5)) \\\overset{ { \white{ . } } } {  \phantom{  P(Y=4)=P((X_1=-1))}+P((X_1=2)\cap(X_2=2))} \\\overset{ { \phantom{ . } } } {  \phantom{  P(Y=4)=P((X_1=-1))+P((X_1=2))}+P((X_1=5)\cap(X_2=-1))  }   \\\overset{ { \white{ _. } } } {\phantom{P(Y=4)}}=P(X_1=-1)\times(X_2=5) \\\overset{ { \white{ . } } } {  \phantom{  P(Y=4)=P((X_1=-1))}+P(X_1=2)\times(X_2=2)} \\\overset{ { \phantom{ . } } } {  \phantom{  P(Y=4)=P((X_1=-1))+P((X_1=2))}+P(X_1=5)\times(X_2=-1)  }  \\\overset{ { \phantom{ . } } } {  \phantom{ P(Y=4444444444)}(\text{car les variables } X_1\text{ et }X_2\text{ sont indépendantes})}
.\overset{ { \white{ . } } } {  \phantom{ P(Y=4)}=0,4\times 0,2+0,3\times 0,3+0,2\times 0,4 } \\\overset{ { \phantom{ . } } } {  \phantom{ P(Y=4)}=0,25} \\\\\Longrightarrow\quad\boxed{P(Y=4)=0,25}
L'affirmation 4 est vraie.


5.  Un nageur s'entraîne dans l'objectif de parcourir le 50 mètres nage libre en moins de 25 secondes.
Au fil des entraînements, il s'avère que la probabilité qu'il y parvienne s'établit à 0,85.
Il effectue, sur une journée, 20 parcours chronométrés sur 50 mètres.
On note  \overset{ { \white{ _. } } } {  X  }  la variable aléatoire qui compte le nombre de fois où il nage cette distance en moins de 25 secondes lors de cette journée.
On admet que  \overset{ { \white{ _. } } } { X   }  suit la loi binomiale de paramètres  \overset{ { \white{ _. } } } { n=20   }  et  \overset{ { \white{ _. } } } {  p=0,85  }  .
{ \white{ xxi } }Affirmation 5 :   Sachant qu'il a atteint au moins 15 fois son objectif, une valeur approchée à  \overset{ { \white{  } } } { 10^{-3}   }  de la probabilité qu'il l'ait atteint au moins 18 fois est 0,434.
{ \white{ xxi } }Affirmation vraie.

Nous devons déterminer :  \overset{ { \white{ _. } } } {  P_{X\geq 15}(X\geq 18)  } .

Avec l'aide de la calculatrice, nous obtenons :

{ \white{ xxi } }  P_{X\geq 15}(X\geq 18)=\dfrac{P((X\geq 15)\cap P(X\geq 18))}{P(X\geq 15)} \\\overset{ { \white{ . } } } {  \phantom{P_{X\geq 15}(X\geq 18)}=\dfrac{P(X\geq 18)}{P(X\geq 15)} } \\\overset{ { \white{ . } } } {  \phantom{P_{X\geq 15}(X\geq 18)}\approx\dfrac{0,4049}{0,9327} } \\\overset{ { \white{ . } } } {  \phantom{P_{X\geq 15}(X\geq 18)}\approx0,434} \\\\\Longrightarrow\quad\boxed{P_{X\geq 15}(X\geq 18)\approx0,434}

Par conséquent, sachant qu'il a atteint au moins 15 fois son objectif, une valeur approchée à  \overset{ { \white{  } } } { 10^{-3}   }  de la probabilité qu'il l'ait atteint au moins 18 fois est 0,434.
L'affirmation 5 est vraie.


6 points

exercice 3

On se propose d'étudier la concentration dans le sang d'un médicament ingéré par une personne pour la première fois.
Soit  \overset{ { \white{ _. } } } {  t  }  le temps (en heures) écoulé depuis l'ingestion de ce médicament.
On admet que la concentration de ce médicament dans le sang, en gramme par litre de sang, est modélisée par une fonction  \overset{ { \white{ _. } } } {  f  }  de la variable  \overset{ { \white{ _. } } } { t   }  définie sur l'intervalle  \overset{ { \white{ _. } } } {  [0 ; +\infty[   }  .


Partie A : lectures graphiques

Bac spécialité maths 2025 Amérique du Sud (remplacement) Jour 1 : image 16


On a représenté ci-dessus la courbe représentative de la fonction  \overset{ { \white{ _. } } } {  f  }  . Avec la précision permise par le graphique, nous devons donner sans justification :

1.  Le temps écoulé depuis l'instant de l'ingestion de ce médicament et l'instant où la concentration de médicament dans le sang est maximale selon ce modèle.
{ \white{ xx } }Réponse : 1 heure.

2.  L'ensemble des solutions de l'inéquation  \overset{ { \white{ _. } } } {  f (t) \geq 1  }  .
{ \white{ xx } }Réponse : [0,25 ; 2,5].

3.  La convexité de la fonction  \overset{ { \white{ _. } } } {  f  }  sur l' intervalle [0 ; 8].
{ \white{ xx } }Réponse : La fonction  \overset{ { \white{ _. } } } {  f  }  semble être concave sur l'intervalle [0 ; 2] et être convexe sur l'intervalle [2 ; 8].


Partie B : détermination de la fonction  \overset{ { \white{ _. } } } {  f  } 

On considère l'équation différentielle  \overset{ { \white{ _. } } } {  (E) :\, y' + y = 5e^{-t}  }  , d'inconnue  \overset{ { \white{ -. } } } {  y  }  , où  \overset{ { \white{ -. } } } {  y  }  est une fonction définie et dérivable sur l'intervalle  \overset{ { \white{ . } } } { [0 ; +\infty[   }  .
On admet que la fonction  \overset{ { \white{ _. } } } {  f  }  est une solution de l'équation différentielle  \overset{ { \white{ _. } } } { (E)   }  .

1.  Nous devons résoudre l'équation différentielle  \overset{ { \white{ _. } } } {  (E') :\, y ' + y = 0  }  .

La solution générale d'une équation différentielle de la forme  \overset{ { \white{ _. } } } { y'+ay=0   }  est  \overset{ { \white{ _. } } } {  y=k\,\text{e}^{-at}\quad(k\in\R)  } .

Dans le cas de  \overset{ { \white{ _. } } } { (E')   } ,  \overset{ { \white{ _. } } } {  a=1  } . 
D'où la solution générale de l'équation  \overset{ { \white{ _. } } } {  (E')  }  est de la forme   \overset{ { \white{ _. } } } { y(t)=k\,\text{e}^{-t}\quad(k\in\R) }  .


2.  Soit  \overset{ { \white{ . } } } {  u  }  la fonction définie sur l'intervalle  \overset{ { \white{ . } } } { [0 ; +\infty[   }  par  \overset{ { \white{ _. } } } { u(t) = at\text e^{-t}}  avec  \overset{ { \white{ _. } } } { a \in \mathbb R   }  .
{ \white{ xx } }Nous devons déterminer la valeur du réel  \overset{ { \white{ . } } } { a   }  telle que la fonction  \overset{ { \white{ . } } } {  u  }  soit solution de l'équation  \overset{ { \white{ _. } } } {  (E)  }  .

La fonction  \overset{ { \white{ . } } } {  u  }  est dérivable sur  \overset{ { \white{ . } } } { [0 ; +\infty[   } .
Déterminons l'expression algébrique de  \overset{ { \white{ _. } } } {  u'(t)  } .

{ \white{ xxi } }u'(t)= (at\text e^{-t})' \\\overset{ { \white{ . } } } {  \phantom{  u'(t)}= (at)'\times \text e^{-t}+at\times (\text e^{-t})'} \\\overset{ { \white{ . } } } {  \phantom{  u'(t)}= a\times \text e^{-t}+at\times (-\text e^{-t})} \\\overset{ { \phantom{ . } } } {  \phantom{  u'(t)}= a\text e^{-t}-at\text e^{-t}} \\\\\Longrightarrow\quad\boxed{u'(t)= a\text e^{-t}-at\text e^{-t}}

Dès lors, pour tout  \overset{ { \white{ . } } } { t\in[0 ; +\infty[   } ,

{ \white{ xxi } }  u'(t)+u(t)=5\,\text e^{-t }\quad \Leftrightarrow\quad (at\text e^{-t})'+at\text e^{-t}=5\,\text e^{-t } \\\overset{ { \white{ . } } } {  \phantom{   u'(t)+u(t)=5\,\text e^{-t }}\quad \Leftrightarrow\quad  a\text e^{-t}-at\text e^{-t}+at\text e^{-t}=5\,\text e^{-t } } \\\overset{ { \white{ . } } } {  \phantom{   u'(t)+u(t)=5\,\text e^{-t }}\quad \Leftrightarrow\quad  a\text e^{-t}=5\,\text e^{-t } } \\\overset{ { \white{ . } } } {  \phantom{   u'(t)+u(t)=5\,\text e^{-t }}\quad \Leftrightarrow\quad  \boxed{a=5} }

D'où la fonction  \overset{ { \white{ . } } } {  u  }  est solution de l'équation  \overset{ { \white{ _. } } } {  (E)  }  pour  \overset{ { \white{ . } } } {  \boxed{a=5}  }  .
Par conséquent, la fonction  \overset{ { \white{ _. } } } {  u  }  définie sur  \overset{ { \white{ _. } } } { [0\;;\;+\infty[   }  par  \overset{ { \white{ _. } } } { u(t)=5t\text e^{-t}   }  est une solution de  \overset{ { \white{ _. } } } {  (E)  } .


3.  Nous devons en déduire l'ensemble des solutions de l'équation différentielle  \overset{ { \white{ _. } } } { (E)   } .

L'ensemble des solutions de l'équation différentielle  \overset{ { \white{ _. } } } { (E)   }  est l'ensemble des fonctions s'écrivant comme somme d'une solution de  \overset{ { \white{ _. } } } { (E')   }  et d'une solution particulière de  \overset{ { \white{ _. } } } { (E)   } .
D'où l'ensemble des solutions de l'équation différentielle  \overset{ { \white{ _. } } } { (E)   }  est l'ensemble des fonctions de la forme  \overset{ { \white{ _. } } } {  \boxed{t\mapsto k\text e^{-t}+5t\text e^{-t}}  } .


4.  La personne n'ayant pas pris ce médicament auparavant, on admet que  \overset{ { \white{ _. } } } { f(0) = 0   }  .
{ \white{ xx } }Nous devons déterminer l'expression de la fonction  \overset{ { \white{ _. } } } { f   }  .
{ \white{ xx } }Nous obtenons :

{ \white{ xxi } } f(0)=0\quad\Longleftrightarrow\quad k\text e^{0}+5\times 0\times\text e^{0}=0 \\\overset{ { \white{ . } } } {  \phantom{  f(0)=0}\quad\Longleftrightarrow\quad k\times1+0=0} \\\overset{ { \white{ . } } } {  \phantom{  f(0)=0}\quad\Longleftrightarrow\quad \boxed{k=0}}

Par conséquent, l'expression de la fonction  \overset{ { \white{ _. } } } { f   }  est  \overset{ { \white{ _. } } } { \boxed{f(t)=5t\text e^{-t} }  } 


Partie C : étude de la fonction  \overset{ { \white{ _. } } } { f   } 

Dans cette partie, on admet que  \overset{ { \white{ _. } } } { f   }  est définie sur l'intervalle  \overset{ { \white{ _. } } } {   [0 ; +\infty[  }  par  \overset{ { \white{ _. } } } { f (t) = 5t\text e^{-t}   }  .

1.  Nous devons déterminer la limite de  \overset{ { \white{ _. } } } {  f  }  en  \overset{ { \white{ _. } } } {  +\infty  }  .

{ \white{ xxi } }  \lim\limits_{t\to+\infty}f(t)=\lim\limits_{t\to+\infty}5t\text e^{-t} \\\overset{ { \white{ . } } } {  \phantom{  \lim\limits_{t\to+\infty}f(t)}=5\lim\limits_{t\to+\infty}t\text e^{-t}  } \\\overset{ { \white{ . } } } {  \phantom{  \lim\limits_{t\to+\infty}f(t)}=5\lim\limits_{t\to+\infty}\dfrac{t}{\text e^{t}}} \\\overset{ { \white{ . } } } {  \phantom{  \lim\limits_{t\to+\infty}f(t)}=5\times 0\quad (\text{croissances comparées})} \\\\\Longrightarrow\quad\boxed{\lim\limits_{t\to+\infty}f(t)=0}

Dans le contexte de l'exercice, cela signifie qu'à très long terme, la concentration du médicament dans le sang va se rapprocher de 0 gramme par litre de sang.


2.  Nous devons étudier les variations de  \overset{ { \white{ _. } } } { f   }  sur l'intervalle  \overset{ { \white{ _. } } } {  [0 ; +\infty[  } , puis dresser son tableau de variation complet.

La fonction  \overset{ { \white{ _. } } } { f   }  est dérivable sur l'intervalle  \overset{ { \white{ _. } } } {  [0 ; +\infty[  }  .

Pour tout  \overset{ { \white{ _. } } } { t\in [0 ; +\infty[  } ,

{ \white{ xxi } } f'(t)=5\times(t\,\text e^{-t})' \\\overset{ { \white{ . } } } {  \phantom{f'(t)}=5\times\Big(t'\times\text e^{-t}+t\times (\text e^{-t})'\Big)} \\\overset{ { \white{ . } } } {  \phantom{f'(t)}=5\times\Big(1\times\text e^{-t}+t\times (-\text e^{-t})\Big)} \\\overset{ { \white{ . } } } {  \phantom{f'(t)}=5\times\Big(\text e^{-t}-t\,\text e^{-t}\Big)} \\\overset{ { \phantom{ . } } } {  \phantom{f'(t)}=5\times(1-t)\,\text e^{-t}} \\\\\Longrightarrow\quad\boxed{\forall\,t\in[0\;;\;+\infty[\,,\quad f'(t)=5(1-t)\,\text e^{-t}}

Puisque l'exponentielle est strictement positive sur  \overset{ { \white{ _. } } } {  [0 ; +\infty[  } , nous en déduisons que le signe de  \overset{ { \white{ _. } } } {  f'(t)  }  est le signe de  \overset{ { \white{ _. } } } {  (1-t)  } .

Nous obtenons ainsi le tableau de signes de  \overset{ { \white{ _. } } } { f'(t)   }  sur  \overset{ { \white{ _. } } } { [0\;;\;+\infty[   } .

 \begin{matrix}1-t> 0\quad\Longleftrightarrow\quad t<1\\\\1-t= 0\quad\Longleftrightarrow\quad t=1\\\\1-t<0\quad\Longleftrightarrow\quad t>1\end{matrix} \begin{matrix} \\||\\||\\||\\||\\||\\||\\||\\||\\||\\||\\\phantom{WWW}\end{matrix} \begin{array}{|c|ccccc|}\hline &&&&&\\t&0&&1&&+\infty\\ &&&&& \\\hline &&&&&\\1-t&&+&0&-&\\&&&&&\\\hline &&&&&\\f'(t)&&+&0&-&\\&&&&&\\\hline \end{array}


Nous en déduisons le tableau de variations de  \overset{ { \white{ _. } } } { f   }  sur l'intervalle  \overset{ { \white{ _. } } } {  [0 ; +\infty[  } 

\begin{array}{|c|ccccc|}\hline &&&&&\\t&0&&1&&+\infty\\ &&&&&\\\hline &&&&&\\f'(t)&&+&0&-&\\&&&&&\\\hline &&&&&\\&&&5\text e^{-1}&&\\f&&\nearrow&&\searrow&\\&0&&&&0\\\hline \end{array}


3.  Nous devons démontrer qu'il existe deux réels  \overset{ { \white{ _. } } } {  t_1  }  et  \overset{ { \white{ _. } } } { t_2   }  tels que  \overset{ { \white{ _. } } } {  f (t_1) = f (t_2) = 1  }  .

\overset{ { \white{ . } } }{\bullet}{\white{x}}Montrons que l'équation  \overset{ { \white{ _. } } } {  f(t)=1  }  admet une solution unique  \overset{ { \white{ _. } } } { t_1  }  dans l'intervalle  \overset{ { \white{ _. } } } {  [0\;;\;1]  } .

La fonction  \overset{ { \white{ . } } } {f  }  est continue et strictement croissante sur l'intervalle  \overset{ { \white{ . } } } { [0\;;\;1] } .
De plus,  \overset{ { \white{ . } } } { \begin{cases}f(0)=0<1\\ \overset{ { \phantom{ . } } } {f(1)=5\text e^{-1}\approx 1,8>1}\end{cases}\quad\Longrightarrow\quad {1\in\;[\,f(0)\;;\;f(1)\,]} }    

Par le corollaire du théorème des valeurs intermédiaires, il existe un unique réel  \overset{ { \white{ . } } } { t_1 \in\;  [0\;;\;1] }  tel que  \overset{ { \white{ . } } } { f(t_1)=1 } .

Donnons une valeur approchée à  \overset{ { \white{ _. } } } { 10^{-2}   }  du réel  \overset{ { \white{ _. } } } { t_1   }  .

Par la calculatrice, nous obtenons :

{ \white{ xxi } } \begin{cases}f(0,25)\approx 0,974<1\\ \overset{ { \phantom{ . } } } {f(0,26)\approx 1,002>1}\end{cases}\quad\Longrightarrow\quad \boxed{t_1\in\,[\,0,25\;;\;0,26\,]}  .

D'où une valeur approchée à   { 10^{-2}   }  du réel  \overset{ { \white{  _{_.} } } } { t_1   }  est 0,26.


\overset{ { \white{ . } } }{\bullet}{\white{x}}Montrons que l'équation  \overset{ { \white{ _. } } } {  f(t)=1  }  admet une solution unique  \overset{ { \white{ _. } } } { t_2  }  dans l'intervalle  \overset{ { \white{ _. } } } {  ]1\;;\;+\infty[  } .

La fonction  \overset{ { \white{ . } } } {f  }  est continue et strictement décroissante sur l'intervalle  \overset{ { \white{ . } } } { ]1\;;\;+\infty[ } .
De plus,  \overset{ { \white{ . } } } { \begin{cases}f(1)=5\text e^{-1}\approx 1,8>1\\ \overset{ { \phantom{ . } } } {\lim\limits_{x\to+\infty}f(x)=0<1}\end{cases}\quad\Longrightarrow\quad {1\in\,]\lim\limits_{x\to+\infty}f(x)\;;\;f(1)\,]} }    

Par le corollaire du théorème des valeurs intermédiaires, il existe un unique réel  \overset{ { \white{ . } } } { t_2 \in\;  ]1\;;\;+\infty[ }  tel que  \overset{ { \white{ . } } } { f(t_2)=1 } .

Donnons une valeur approchée à  \overset{ { \white{ _. } } } { 10^{-2}   }  du réel  \overset{ { \white{ _. } } } { t_2   }  .

Par la calculatrice, nous obtenons :

{ \white{ xxi } }\begin{cases}f(2,54)\approx 1,002>1\\ \overset{ { \phantom{ . } } } {f(2,55)\approx 0,996<1}\end{cases}\quad\Longrightarrow\quad \boxed{t_2\in\,[\,2,54\;;\;2,55\,]}   .

D'où une valeur approchée à  \overset{ { \white{  } } } { 10^{-2}   }  du réel  \overset{ { \white{  _{_.} } } } { t_2   }  est 2,55.


\overset{ { \white{ . } } }{\bullet}{\white{x}}En conclusion, il existe deux réels  \overset{ { \white{ . } } } {  t_1\approx 0,26  }  et  \overset{ { \white{ . } } } { t_2 \approx 2,55  }  tels que  \overset{ { \white{ _. } } } {  f (t_1) = f (t_2) = 1  }  .


4.  Pour une concentration du médicament supérieure ou égale à 1 gramme par litre de sang, il y a un risque de somnolence.
{ \white{ xxi } }Nous devons déterminer quelle est la durée en heures et minutes du risque de somnolence lors de la prise de ce médicament.

La concentration du médicament est supérieure ou égale à 1 gramme lorsque  \overset{ { \white{ _. } } } {  f(t)\geq 1  } , soit lorsque  \overset{ { \white{ _. } } } { t\in [t_1\;;\;t_2]   } .

Dès lors, la durée du risque de somnolence est donnée par la différence  \overset{ { \white{ _. } } } { t_2-t_1   } .
Ainsi,  \overset{ { \white{ _. } } } {  t_2-t_1\approx 2,55-0,26\quad\Longrightarrow\quad \boxed{t_2-t_1\approx 2,29}  } .
Or 2,29 heures correspondent à 2 heures et  \overset{ { \white{ . } } } { 0,29\times 60   }  minutes, soit 2 heures et 17 minutes.

Par conséquent, le risque de somnolence lors de la prise de ce médicament dure pendant 2 heures et 17 minutes.


Partie D : concentration moyenne

La concentration moyenne du médicament (en gramme par litre de sang) durant la première heure est donnée par :  \overset{ { \white{ _. } } } {  T_m=\displaystyle\int _0 ^1 f(t)\text d t   } où  \overset{ { \white{ _. } } } {  f  }  est la fonction définie sur  \overset{ { \white{ _. } } } {  [0 ; +\infty[  }    par  \overset{ { \white{ _. } } } {   f (t) = 5t\text e^{-t} }  .
Nous devons calculer cette concentration moyenne.
On donnera la valeur exacte puis une valeur approchée à 0,01 près.

Calculons  \overset{ { \white{ . } } } { T_m=\displaystyle\int _0 ^1 5t\text e^{-t}\text d t } .

\underline{\text{Formule de l'intégrale par parties}}\ :\ {\blue{\displaystyle\int_0^1u(t)v'(t)\,\text{d}t=\left[\overset{}{u(t)v(t)}\right]\limits_0^1- \displaystyle\int_0^1u'(t)v(t)\,\text{d}t}}.  \\ \\ \begin{cases}u(t)=5t\quad\Longrightarrow\quad u'(t)=5 \\\\v'(t)=\text e^{-t}\phantom{W}\quad\Longrightarrow\quad v(t)=-\,\text e^{-t}\end{cases}

\text{Dès lors }\;\overset{ { \white{ . } } } {T_m=\displaystyle\int_0^{1}5t\text e^{-t}\,\text{d}t=\Big[-5t\text e^{-t}\Big]_0^1-\displaystyle\int_0^15(-\text e^{-t})\,\text{d}t}  \\\overset{ { \white{ . } } } {\phantom{\text{Dès lors }\;T_m=\displaystyle\int_0^{1}5t\text e^{-t}\,\text{d}t}=\Big[-5t\text e^{-t}\Big]_0^1-5\displaystyle\int_0^1-\text e^{-t}\,\text{d}t}  \\\overset{ { \phantom{ . } } } {\phantom{\text{Dès lors }\;T_m=\displaystyle\int_0^{1}5t\text e^{-t}\,\text{d}t}=\Big[-5t\text e^{-t}\Big]_0^1-5\Big[\text e^{-t}\Big]_0^1}  \\\overset{ { \white{ . } } } {\phantom{\text{Dès lors }\;T_m=\displaystyle\int_0^{1}5t\text e^{-t}\,\text{d}t }=(-5\text e^{-1}-0)-5(\text e^{-1}-1)}  \\\overset{ { \phantom{ . } } } {\phantom{\text{Dès lors }\;T_m=\displaystyle\int_0^{1}5t\text e^{-t}\,\text{d}t }=-10\text e^{-1}+5} \\\\\Longrightarrow\quad\boxed{T_m=5-10\text e^{-1}\approx 1,32}

Par conséquent, la concentration moyenne du médicament durant la première heure est égale à  \overset{ { \white{  } } } { 5-10\text e^{-1}   }  gramme par litre de sang, soit environ 1,32 gramme par litre de sang.


5 points

exercice 4

Bac spécialité maths 2025 Amérique du Sud (remplacement) Jour 1 : image 14


L'espace est muni d'un repère orthonormé  \overset{ { \white{ _. } } } {  (O\,;\overrightarrow i\,,\overrightarrow j\,,\overrightarrow k)  }  .
On considère les points  \overset{ { \white{ _. } } } {  A(2\sqrt 3\,;0\,;0), B(0\,;2\,;0), C(0\,;0\,;1)  }  et  \overset{ { \white{ _. } } } {  K \left(\dfrac{\sqrt 3}{2}\,;\dfrac 32\,;0 \right)  }  .

1.  Nous devons justifier qu'une représentation paramétrique de la droite  \overset{ { \white{ _. } } } { (CK)   }  est :

 \begin{cases} x = \dfrac{\sqrt 3}{2}t \\\overset{ { \white{ _. } } } { y = \dfrac 32 t}\\ z= -t+1  \end{cases}  \quad (t\in \mathbb R)
 
Un vecteur directeur de  \overset{ { \white{ . } } } { (CK) }  est le vecteur  \overset{ { \white{ . } } } {\overrightarrow{CK}\,\begin{pmatrix}\dfrac{\sqrt 3}{2}-0\\ \overset{ { \phantom{ . } } } {\dfrac 32-0}\\0-1\end{pmatrix}\quad\Longrightarrow\quad \overrightarrow{AB}\,\begin{pmatrix}{\red{\dfrac{\sqrt 3}{2}}}\\ \overset{ { \phantom{ . } } } {{\red{\dfrac 32}}}\\ {\red{-1}}\end{pmatrix}} 
Le point  \overset{ { \white{ . } } } { C\,({\blue{0}}\;;\;{\blue{0}}\;;\;{\blue{1}}) }  appartient à la droite  \overset{ { \white{ . } } } { (CK). } 
D'où une représentation paramétrique de la droite  \overset{ { \white{ . } } } { (CK)}  est :  \overset{ { \white{ . } } } {\begin{cases}x={\blue{0}}+{\red{\dfrac{\sqrt 3}{2}}}\times t\\\overset{ { \phantom{ . } } } {y={\blue{0}}+{{\red{\dfrac 32}}}\times t}\\z={\blue{1}}+{\red{(-1)}}\times t\end{cases}\quad \quad(t\in\R) } 
soit  \overset{ { \phantom{ . } } } { \boxed{\begin{cases} x = \dfrac{\sqrt 3}{2}t \\\overset{ { \white{ _. } } } { y = \dfrac 32 t}\\ z= -t+1  \end{cases}  \quad (t\in \mathbb R)}} 


2.  Soit  \overset{ { \white{ _. } } } { M(t)   }  un point de la droite  \overset{ { \white{ _. } } } { (CK)   }  paramétrée par un réel  \overset{ { \white{ _. } } } { t   } .
{ \white{ xx } }Nous devons établir que  \overset{ { \white{ _. } } } {  OM(t) =\sqrt{4t²-2t+1}  }  .

Par définition de  \overset{ { \white{ _. } } } { M(t)   } , les coordonnées du point  \overset{ { \white{ _. } } } { M(t)   }  sont  \overset{ { \white{ _. } } } { \left( \dfrac{\sqrt 3}{2}t\;;\; \dfrac 32 t\;;\;-t+1\right)   } .

Dès lors, nous obtenons :

{ \white{ xxi } } OM(t)=\sqrt{\left( \dfrac{\sqrt 3}{2}t\right)^2+\left(\dfrac 32 t\right)^2+(-t+1)^2} \\\overset{ { \white{ . } } } {  \phantom{ OM(t)}=\sqrt{\dfrac{3}{4}t^2+\dfrac{9}{4}t^2+(t^2-2t+1)} } \\\overset{ { \white{ . } } } {  \phantom{ OM(t)}=\sqrt{3t^2+t^2-2t+1} } \\\overset{ { \white{ . } } } {  \phantom{ OM(t)}=\sqrt{4t^2-2t+1} } \\\\\Longrightarrow\quad\boxed{OM(t)=\sqrt{4t^2-2t+1}}


3.  Soit  \overset{ { \white{ _. } } } {  f  }  la fonction définie et dérivable sur  \overset{ { \white{ _. } } } { R\   }  par  \overset{ { \white{ _. } } } {  f(t)=OM(t)  }  .

3. a) Nous devons étudier les variations de la fonction  \overset{ { \white{ _. } } } {   f }  sur  \overset{ { \white{ _. } } } { \R   }  .

Pour tout  \overset{ { \white{ _. } } } { t\in \R   } ,

{ \white{ xxi } } f'(t)=\Big(\sqrt{4t^2-2t+1}\Big)' \\\overset{ { \white{ . } } } {  \phantom{  f'(t)}=\dfrac{(4t^2-2t+1)'}{2\sqrt{4t^2-2t+1}} } \\\overset{ { \white{ . } } } {  \phantom{  f'(t)}=\dfrac{8t-2}{2\sqrt{4t^2-2t+1}} } \\\overset{ { \white{ . } } } {  \phantom{  f'(t)}=\dfrac{2(4t-1)}{2\sqrt{4t^2-2t+1}} } \\\\\Longrightarrow\quad\boxed{f'(t)=\dfrac{4t-1}{\sqrt{4t^2-2t+1}} }

Puisque  \overset{ { \white{ _. } } } {  \sqrt{4t^2-2t+1}>0  }  pour tout réel  \overset{ { \white{ _. } } } {  t  } , le signe de  \overset{ { \white{ _. } } } {  f'(t)   }  est le signe de  \overset{ { \white{ _. } } } {  4t-1  } .

{ \white{ WWWW } } \begin{matrix}4t-1<0\quad\Longleftrightarrow\quad 4t<1\\\overset{ { \white{ . } } } { \phantom{ -0,4t+0,6< } \quad\Longleftrightarrow\quad t<\dfrac 14 }\phantom{xxx}\\\\4t-1=0\quad\Longleftrightarrow\quad t=\dfrac 14\\\\4t-1>0\quad\Longleftrightarrow\quad t>\dfrac 14\end{matrix} \begin{matrix} \\||\\||\\||\\||\\||\\||\\||\\||\\||\\||\\||\\|| \\\phantom{WWW}\end{matrix} \begin{array}{|c|ccccc|}\hline &&&&&\\t&-\infty&&\dfrac 14&&+\infty\\ &&&&& \\\hline &&&&&\\4t-1&&-&0&+&\\&&&&&\\\hline &&&&&\\f'(t)&&-&0&+&\\&&&&&\\\hline \end{array}

Nous en déduisons que la fonction  \overset{ { \white{ _. } } } {  f  }  est décroissante sur l'intervalle  \overset{ { \white{ _. } } } {\left]-\infty\;;\;\dfrac 14\right]    }  et croissante sur l'intervalle  \overset{ { \white{ _. } } } {\left[\dfrac 14\;;\;+\infty\right[    } .


3. b) La fonction  \overset{ { \white{ _. } } } {  f  }  atteint son minimum pour  \overset{ { \white{ _. } } } { t=\dfrac 14   } .


4.  Nous devons en déduire que le point  \overset{ { \white{ _. } } } { H\left(\dfrac {\sqrt 3}{8}\,; \dfrac 38\,; \dfrac 34\right)   }  est le projeté orthogonal du point  \overset{ { \white{ _. } } } {  O  }  sur la droite  \overset{ { \white{ _. } } } { (CK)   }  .

Le projeté orthogonal  \overset{ { \white{ _. } } } {  H  }  du point  \overset{ { \white{ _. } } } {  O  }  sur la droite  \overset{ { \white{ _. } } } { (CK)   }  est le point  \overset{ { \white{ _. } } } {  M  }  de la droite  \overset{ { \white{ _. } } } { (CK)   }  pour lequel la distance  \overset{ { \white{ _. } } } {  OM  } est minimale, c'est-à-dire pour lequel la fonction  \overset{ { \white{ _. } } } {  f  }   atteint son minimum.

Or nous avons montré que la fonction  \overset{ { \white{ _. } } } {  f  }  atteint son minimum pour  \overset{ { \white{ _. } } } { t=\dfrac 14   } .
Dans la représentation paramétrique de  \overset{ { \white{ _. } } } {  (CK)  } , remplaçons  \overset{ { \white{ _. } } } {  t  }  par  \overset{ { \white{ _. } } } {  \dfrac 14  } .

Nous obtenons ainsi :  \overset{ { \white{ _. } } } {  \begin{cases} x_H = \dfrac{\sqrt 3}{2}\times\dfrac 14 \\\overset{ { \white{ _. } } } { y_H = \dfrac 32 \times\dfrac 14}\\ z_H= -\dfrac 14+1  \end{cases}   } .

Par conséquent, le point  \overset{ { \white{ _. } } } { H\left(\dfrac {\sqrt 3}{8}\,; \dfrac 38\,; \dfrac 34\right)   }  est le projeté orthogonal du point  \overset{ { \white{ _. } } } {  O  }  sur la droite  \overset{ { \white{ _. } } } { (CK)   }  .


5.  Nous devons démontrer que le point  \overset{ { \white{ _. } } } {  H  }  est l'orthocentre (intersection des hauteurs d'un triangle) du triangle  \overset{ { \white{ _. } } } { ABC   }  .

 \overset{ { \white{ _. } } } { \checkmark   }  Montrons que le point  \overset{ { \white{ _. } } } {  H  }  est dans le plan  \overset{ { \white{ _. } } } { (ABC)   } .

{ \white{ xxi } }\overset{ { \white{ . } } }{\bullet}{\white{x}}Le point  \overset{ { \white{ _. } } } {  H  }  appartient à la droite  \overset{ { \white{ _. } } } {  (CK)  }  car il est le projeté orthogonal du point  \overset{ { \white{ _. } } } {  O  }  sur la droite  \overset{ { \white{ _. } } } { (CK)   }  .

{ \white{ xxi } }\overset{ { \white{ . } } }{\bullet}{\white{x}}Montrons que la droite  \overset{ { \white{ _. } } } { (CK)   }  est incluse dans le plan  \overset{ { \white{ _. } } } {  (ABC)  }   en montrant que le point  \overset{ { \white{ _. } } } {  K  }  appartient à la droite  \overset{ { \white{ _. } } } { (AB)   } .

Nous observons que :

{ \white{ xxi } }  \begin{cases}\overrightarrow{AB}\,\begin{pmatrix}0-2\sqrt 3\\2-0\\0-0\end{pmatrix}\\\overset{ { \white{ _. } } } {\overrightarrow{AK}\,\begin{pmatrix}\dfrac{\sqrt 3}{2}-2\sqrt 3\\\dfrac 32-0\\0-0\end{pmatrix}}\end{cases}  \quad\Longleftrightarrow \quad  \begin{cases}\overrightarrow{AB}\,\begin{pmatrix}-2\sqrt 3\\2\\0\end{pmatrix}\\\overrightarrow{AK}\,\begin{pmatrix}-\dfrac{3\sqrt 3}{2}\\\overset{ { \white{ _. } } } {\dfrac 32}\\0\end{pmatrix}\end{cases}

Dès lors,  \overset{ { \white{ _. } } } {  \overrightarrow{AB}=\dfrac 43 \overrightarrow{AK}  } 

Nous en déduisons que les points  \overset{ { \white{ _. } } } { A, B   }  et  \overset{ { \white{ _. } } } {  K  }  sont alignés et par suite le point  \overset{ { \white{ _. } } } {  K  }  appartient à la droite  \overset{ { \white{ _. } } } { (AB)   }  qui est incluse dans le plan  \overset{ { \white{ _. } } } {  (ABC)  } .

Puisque les points  \overset{ { \white{ _. } } } {  C  }  et  \overset{ { \white{ _. } } } {  K  }  appartiennent au plan  \overset{ { \white{ _. } } } { (ABC)   } , la droite  \overset{ { \white{ _. } } } { (CK)   }  est incluse dans le plan  \overset{ { \white{ _. } } } {  (ABC)  } 

{ \white{ xxi } }\overset{ { \white{ . } } }{\bullet}{\white{x}}Étant donné que le point  \overset{ { \white{ _. } } } {  H  }  appartient à la droite  \overset{ { \white{ _. } } } {  (CK)  }  et que la droite  \overset{ { \white{ _. } } } { (CK)   }  est incluse dans le plan  \overset{ { \white{ _. } } } {  (ABC)  }  , nous en déduisons que le point  \overset{ { \white{ _. } } } {  H  }  est dans le plan  \overset{ { \white{ _. } } } { (ABC)   } .


 \overset{ { \white{ _. } } } { \checkmark   }  Montrons que le point  \overset{ { \white{ _. } } } {  H  }  est le point d'intersection de deux hauteurs du triangle  \overset{ { \white{ _. } } } { ABC   } .

{ \white{ xxi } }\overset{ { \white{ . } } }{\bullet}{\white{x}}Montrons que le point  \overset{ { \white{ _. } } } {  H  }  appartient à la hauteur issue du sommet  \overset{ { \white{ _. } } } {  B  } .

{ \white{ WWWW } }    \begin{cases}\overrightarrow{BH}\,\begin{pmatrix}\dfrac{\sqrt 3}{8}-0\\\overset{ { \white{ _. } } } { \dfrac 38-2}\\\overset{ { \phantom{ _. } } } {\dfrac 34-0}\end{pmatrix}\\\overset{ { \white{ _. } } } {\overrightarrow{AC}\,\begin{pmatrix}0-2\sqrt 3\\0-0\\1-0\end{pmatrix}}\end{cases} \quad\Longleftrightarrow \quad \begin{cases}\overrightarrow{BH}\,\begin{pmatrix}\dfrac{\sqrt 3}{8}\\\overset{ { \phantom{ _. } } } {-\dfrac {13}{8}}\\\overset{ { \phantom{ _. } } } { \dfrac 34}\end{pmatrix}\\\overrightarrow{AC}\,\begin{pmatrix}-2\sqrt 3\\\overset{ { \white{ _. } } } {0}\\1\end{pmatrix}\end{cases}

{ \white{ WWWW } }  \text{D'où }\quad \overrightarrow{BH}\cdot \overrightarrow{AC}=\dfrac{\sqrt 3}{8}\times(-2\sqrt 3)-\dfrac {13}{8}\times0+\dfrac 34\times 1 \\\overset{ { \white{ . } } } {  \phantom{ \text{D'où }\quad \overrightarrow{CH}\cdot \overrightarrow{AB}}=-\dfrac68+0+\dfrac34 } \\\overset{ { \white{ . } } } {  \phantom{ \text{D'où }\quad \overrightarrow{BH}\cdot \overrightarrow{AB}}=0 } \\\\\Longrightarrow\quad \overrightarrow{BH}\cdot \overrightarrow{AC}=0  \\\\\Longrightarrow\quad \boxed{ \overrightarrow{BH}\perp \overrightarrow{AC}}

{ \white{ xxi } }Nous en déduisons que le point  \overset{ { \white{ _. } } } {  H  }  appartient à la hauteur issue du sommet  \overset{ { \white{ _. } } } {  B  } .

{ \white{ xxi } }\overset{ { \white{ . } } }{\bullet}{\white{x}}Montrons que le point  \overset{ { \white{ _. } } } {  H  }  appartient à la hauteur issue du sommet  \overset{ { \white{ _. } } } {  C  } .

{ \white{ WWWW } }    \begin{cases}\overrightarrow{CH}\,\begin{pmatrix}\dfrac{\sqrt 3}{8}-0\\\overset{ { \white{ _. } } } { \dfrac 38-0}\\\dfrac 34-1\end{pmatrix}\\\overset{ { \white{ _. } } } {\overrightarrow{AB}\,\begin{pmatrix}0-2\sqrt 3\\2-0\\0-0\end{pmatrix}}\end{cases} \quad\Longleftrightarrow \quad \begin{cases}\overrightarrow{CH}\,\begin{pmatrix}\dfrac{\sqrt 3}{8}\\\overset{ { \phantom{ _. } } } {\dfrac 38}\\\overset{ { \phantom{ _. } } } { -\dfrac 14}\end{pmatrix}\\\overrightarrow{AB}\,\begin{pmatrix}-2\sqrt 3\\\overset{ { \white{ _. } } } {2}\\0\end{pmatrix}\end{cases}

{ \white{ WWWW } }  \text{D'où }\quad \overrightarrow{CH}\cdot \overrightarrow{AB}=\dfrac{\sqrt 3}{8}\times(-2\sqrt 3)+\dfrac 38\times2-\dfrac 14\times 0 \\\overset{ { \white{ . } } } {  \phantom{ \text{D'où }\quad \overrightarrow{CH}\cdot \overrightarrow{AB}}=-\dfrac68+\dfrac68-0 } \\\overset{ { \white{ . } } } {  \phantom{ \text{D'où }\quad \overrightarrow{CH}\cdot \overrightarrow{AB}}=0 } \\\\\Longrightarrow\quad \overrightarrow{CH}\cdot \overrightarrow{AB}=0  \\\\\Longrightarrow\quad \boxed{ \overrightarrow{CH}\perp \overrightarrow{AB}}

{ \white{ xxi } }Nous en déduisons que le point  \overset{ { \white{ _. } } } {  H  }  appartient à la hauteur issue du sommet  \overset{ { \white{ _. } } } {  C  } .

Nous avons donc montré que le point  \overset{ { \white{ _. } } } {  H  }  est le point d'intersection de deux hauteurs du triangle  \overset{ { \white{ _. } } } { ABC   } .

L'orthocentre d'un triangle est le point commun de ses trois hauteurs.
Toutefois deux hauteurs suffisent à le déterminer puisque la troisième passera nécessairement par le point commun des deux autres.

Par conséquent, le point  \overset{ { \white{ _. } } } {  H  }  est l'orthocentre du triangle  \overset{ { \white{ _. } } } {  ABC  } .


6. a)  Nous devons démontrer que la droite  \overset{ { \white{ _. } } } { (OH)   }  est orthogonale au plan  \overset{ { \white{ _. } } } {  (ABC)  }  .

D'une part, nous obtenons :

{ \white{ xxi } }\overrightarrow{OH}\,\begin{pmatrix}\dfrac{\sqrt 3}{8}\\\overset{ { \phantom{ _. } } } {\dfrac {3}{8}}\\\overset{ { \phantom{ _. } } } { \dfrac 34}\end{pmatrix}\quad\text{ et }\quad\overrightarrow{AB}\,\begin{pmatrix}-2\sqrt 3\\\overset{ { \white{ _. } } } {2}\\0\end{pmatrix}

{ \white{ xxi } }Nous en déduisons que :

{ \white{ xxi } }\overrightarrow{OH}\cdot \overrightarrow{AB}=\dfrac{\sqrt 3}{8}\times(-2\sqrt 3)+\dfrac 38\times2+\dfrac 34\times0 \\\overset{ { \white{ . } } } {  \phantom{  \overrightarrow{OH}\cdot \overrightarrow{AB}}=-\dfrac{6}{8}+\dfrac 68+0} \\\overset{ { \white{ . } } } {  \phantom{  \overrightarrow{OH}\cdot \overrightarrow{AB}}=0} \\\\\Longrightarrow\quad \overrightarrow{OH}\cdot \overrightarrow{AB}=0 \\\\\Longrightarrow\quad \boxed{\overrightarrow{OH}\perp \overrightarrow{AB}}

Donc la droite  \overset{ { \white{ _. } } } { (OH)   }  est orthogonale à la droite  \overset{ { \white{ _. } } } {  (AB)  } .

D'autre part, nous obtenons :

{ \white{ xxi } } \overrightarrow{OH}\,\begin{pmatrix}\dfrac{\sqrt 3}{8}\\\overset{ { \phantom{ _. } } } {\dfrac {3}{8}}\\\overset{ { \phantom{ _. } } } { \dfrac 34}\end{pmatrix}\quad\text{ et }\quad\overrightarrow{AC}\,\begin{pmatrix}-2\sqrt 3\\\overset{ { \white{ _. } } } {0}\\1\end{pmatrix}

{ \white{ xxi } }Nous en déduisons que :

{ \white{ xxi } } \overrightarrow{OH}\cdot \overrightarrow{AC}=\dfrac{\sqrt 3}{8}\times(-2\sqrt 3)+\dfrac 38\times0+\dfrac 34\times1 \\\overset{ { \white{ . } } } {  \phantom{  \overrightarrow{OH}\cdot \overrightarrow{AC}}=-\dfrac{6}{8}+0+\dfrac 34} \\\overset{ { \white{ . } } } {  \phantom{  \overrightarrow{OH}\cdot \overrightarrow{AC}}=0} \\\\\Longrightarrow\quad \overrightarrow{OH}\cdot \overrightarrow{AC}=0 \\\\\Longrightarrow\quad \boxed{\overrightarrow{OH}\perp \overrightarrow{AC}}

Donc le vecteur  \overset{ { \white{ _. } } } { (OH)   }  est orthogonale à la droite  \overset{ { \white{ _. } } } {  (AC)  } .

Dès lors, le vecteur  \overset{ { \white{  } } } {\overrightarrow{OH}    }  est orthogonal à deux vecteurs  \overset{ { \white{  } } } {  \overrightarrow{AB}  }  et  \overset{ { \white{  } } } { \overrightarrow{AC}  }  non colinéaires du plan  \overset{ { \white{ _. } } } {  ABC  } .
Il s'ensuit que le vecteur  \overset{ { \white{  } } } {\overrightarrow{OH}    }  est normal au plan  \overset{ { \white{ _. } } } {  ABC  } .
Par conséquent, la droite  \overset{ { \white{ _. } } } { (OH)   }  est orthogonale au plan  \overset{ { \white{ _. } } } {  (ABC)  }  .


6. b)  Nous devons en déduire une équation cartésienne du plan  \overset{ { \white{ _. } } } {  (ABC)  } .

Nous avons montré dans la question précédente que le vecteur  \overset{ { \white{ w } } } {\overrightarrow{OH}\,\begin{pmatrix}\dfrac{\sqrt 3}{8}\\\overset{ { \phantom{ _. } } } {\dfrac {3}{8}}\\\overset{ { \phantom{ _. } } } { \dfrac 34}\end{pmatrix}   }  est normal au plan  \overset{ { \white{ _. } } } {  ABC  } .

Par suite, le vecteur  \overset{ { \white{ w } } } {\overrightarrow{n}\,\begin{pmatrix}{\sqrt 3}\\\overset{ { \phantom{ _. } } } { {3}}\\\overset{ { \phantom{ _. } } } { 6}\end{pmatrix}   }  est normal au plan  \overset{ { \white{ _. } } } {  ABC  } .

D'où l'équation du plan  \overset{ { \white{ . } } } {(ABC) }  est de la forme  \overset{ { \white{ . } } } { \sqrt 3 x+3 y +6 z + d = 0 }  où  \overset{ { \white{ _. } } } {d }  est un nombre réel.

Nous savons que  \overset{ { \white{ . } } } {C(0\;;\;0\;;\;1) }  appartient à ce plan  \overset{ { \white{ _. } } } {(ABC) } .
Donc  \overset{ { \white{ . } } } {\sqrt 3\times 0+3\times 0+6\times1+d=0, }  soit  \overset{ { \white{ _. } } } {d=-6. } 
D'où une équation cartésienne du plan  \overset{ { \white{ . } } } {(ABC) }  est  \overset{ { \white{ . } } } {\boxed{ \sqrt 3 x+3 y +6 z -6 = 0}\,. }


7.  Nous devons calculer, en unité d'aire, l'aire  \overset{ { \white{ _. } } } { \mathcal S   }  du triangle  \overset{ { \white{ _. } } } {ABC } .

Nous choisirons  \overset{ { \white{ _. } } } { AB   }  comme base du triangle  \overset{ { \white{ _. } } } { ABC   }  et  \overset{ { \white{ _. } } } {  CK  }  la hauteur issue du sommet  \overset{ { \white{ _. } } } {  C  }  de ce triangle.

Les coordonnées du vecteur  \overset{ { \white{  } } } { \overrightarrow{AB}   }  sont  \overset{ { \white{ _. } } } {  \begin{pmatrix}-2\sqrt 3\\\overset{ { \white{ _. } } } {2}\\0\end{pmatrix}  }  et les coordonnées du vecteur  \overset{ { \white{  } } } { \overrightarrow{CK}   }  sont  \overset{ { \white{ _. } } } {  \begin{pmatrix}\dfrac{\sqrt 3}{2}\\\overset{ { \white{ _. } } } {\dfrac 32}\\-1\end{pmatrix}  } .

Dans ce cas,  \overset{ { \white{ _. } } } { \mathcal S=\dfrac{AB\times CK}{2}   } 

{ \white{ xxi } }\bullet\quad AB=\sqrt{(-2\sqrt 3)^2+2^2+0^2} \\\overset{ { \white{ . } } } {  \phantom{\bullet\quad   AB}=\sqrt{12+4}} \\\overset{ { \white{ . } } } {  \phantom{\bullet\quad   AB}=\sqrt{16}} \\\\\quad\Longrightarrow\quad\boxed{AB=4}

{ \white{ xxi } }\bullet\quad CK=\sqrt{\left(\dfrac{\sqrt 3}{2}\right)^2+\left(\dfrac 32\right)^2+(-1)^2} \\\overset{ { \white{ . } } } {  \phantom{\bullet\quad   AB}=\sqrt{\dfrac 34+\dfrac 94+1}} \\\overset{ { \white{ . } } } {  \phantom{\bullet\quad   AB}=\sqrt{4}} \\\\\quad\Longrightarrow\quad\boxed{CK=2}

Nous obtenons ainsi :

{ \white{ xxi } }  \mathcal S=\dfrac{AB\times CK}{2} \\\overset{ { \white{ . } } } {  \phantom{  \mathcal S}=\dfrac{4\times 2}{2}  } \\\overset{ { \white{ . } } } {  \phantom{  \mathcal S}=4 } \\\\\Longrightarrow\quad \boxed{\mathcal S=4\text{ u. a.}}

Merci à Hiphigenie et malou pour l'élaboration de cette contribution.
Publié le
ceci n'est qu'un extrait
Pour visualiser la totalité des cours vous devez vous inscrire / connecter (GRATUIT)
Inscription Gratuite se connecter
Merci à
Hiphigenie
/
malou Webmaster
pour avoir contribué à l'élaboration de cette fiche


Vous devez être membre accéder à ce service...

Pas encore inscrit ?

1 compte par personne, multi-compte interdit !

Ou identifiez-vous :


Rester sur la page

Inscription gratuite

Fiches en rapport

parmi 1768 fiches de maths

Désolé, votre version d'Internet Explorer est plus que périmée ! Merci de le mettre à jour ou de télécharger Firefox ou Google Chrome pour utiliser le site. Votre ordinateur vous remerciera !