Inscription / Connexion Nouveau Sujet

1 2 +


Posté par
Ugo272
re : Dérivée d'une fonction 21-05-21 à 16:05

Je voulais dire n (n+(13/2)-49)

Posté par
Pirho
re : Dérivée d'une fonction 21-05-21 à 16:08

toujours aussi faux!!

Posté par
Ugo272
re : Dérivée d'une fonction 21-05-21 à 16:09

Pfff

Posté par
Pirho
re : Dérivée d'une fonction 21-05-21 à 16:12

Pirho @ 21-05-2021 à 16:03


si tu comparais à ce que tu dois obtenir

E'(n)=\dfrac{-14(n^2-14\,n+7)}{n^2(n-1)}

Posté par
Ugo272
re : Dérivée d'une fonction 21-05-21 à 16:29

Quand je calcule je retombe tjrs au premier résultat que je vous ai écrit en cette journée. J'ai la reponse sous les yeux mais j'arrive pas le détails. Je suis vraiment une cruche

Posté par
Pirho
re : Dérivée d'une fonction 21-05-21 à 16:32

que factorises-tu?

Posté par
Ugo272
re : Dérivée d'une fonction 21-05-21 à 16:49

J'obtiens sur la ligne du numérateur : 2x3+11x2-13x-2x4-25x3+209x2-98x

Posté par
Pirho
re : Dérivée d'une fonction 21-05-21 à 16:56

??? pourquoi tu développes?

tu avais

Ugo272 @ 21-05-2021 à 15:09

2n3+11n2-13n-2n3-25n2+209n-98/(n2-n)2

-14n2+196n-98(1)


qui était correct sauf que tu n'avais pas mis le dénominateur( qu'il suffit de recopier)

en partant de là tu dois obtenir au numérateur -14(n^2-14n+7)

et tu ne vois pas ce que tu dois factoriser dans (1) pour obtenir le numérateur correct?

Posté par
Ugo272
re : Dérivée d'une fonction 21-05-21 à 17:02

Ha donc la factorisation de -14n2+196n-98 est : -14 (n2-14n+7)
Daccord7

Posté par
Pirho
re : Dérivée d'une fonction 21-05-21 à 17:07

-14(n\textcolor{red}{^2}-14n+7)

oui

Posté par
Ugo272
re : Dérivée d'une fonction 21-05-21 à 17:07

Pourquoi l'exposant 2 est en rouge?

Posté par
Pirho
re : Dérivée d'une fonction 21-05-21 à 17:09

Citation :
-14 (n2-14n+7)


car ce que tu as écrit c'est n2 et pas n²

Posté par
Ugo272
re : Dérivée d'une fonction 21-05-21 à 17:12

Ha oui ok

Posté par
Pirho
re : Dérivée d'une fonction 21-05-21 à 17:17

Ugo272 @ 21-05-2021 à 17:12

Ha oui ok


c'est important car ce que tu as écrit c'est le produit de n par 2

Posté par
Ugo272
re : Dérivée d'une fonction 21-05-21 à 17:18

Oui et du coup la question initiale avant la dérivée ètait de determiner n afin que l'espérance soit maximale
ainsi n vérifie n²-14n+7=0
donc n=13 ou n=14 ?

Posté par
Ugo272
re : Dérivée d'une fonction 21-05-21 à 17:45

?

Posté par
Ugo272
re : Dérivée d'une fonction 21-05-21 à 17:57

Merci en tout cas pour vôtre aide et, surtout, votre patience.
Bonne soirée à vous

Posté par
Pirho
re : Dérivée d'une fonction 22-05-21 à 08:10

Ugo272 @ 21-05-2021 à 17:18

Oui et du coup la question initiale avant la dérivée était de déterminer n afin que l'espérance soit maximale
ainsi n vérifie n²-14n+7=0
donc n=13 ou n=14 ?


sans trop de détails sur ton énoncé, je pense que tu dois établir un tableau de variation et donc effectivement calculer E'(n) mais ce n'est pas tout

si  tu as indiqué  les racines de E'(n), elles sont fausses

Posté par
Ugo272
re : Dérivée d'une fonction 22-05-21 à 10:14

Bonjour,
Il faut donc que je calcul le delta de n2-14+7 ?

Posté par
Pirho
re : Dérivée d'une fonction 22-05-21 à 10:20

Ugo272 @ 22-05-2021 à 10:14

Bonjour,
Il faut donc que je calcul le delta de n2-14n+7 ?


oui et tu peux facilement vérifier tes réponses; il suffit de remplacer dans

n^2-14\,n+7=0

Posté par
Ugo272
re : Dérivée d'une fonction 22-05-21 à 10:46

Delta = 168
168>0 donc 2 racines possibles :
x1 = 7-rc de 42 et x2 = 7+rc de 42

Posté par
Pirho
re : Dérivée d'une fonction 22-05-21 à 10:51

oui sauf que c'est n au lieu de x

remarque :pour le symbole racine tu appuies sur TT sous le cadre de réponse et tu le trouveras  

Posté par
Ugo272
re : Dérivée d'une fonction 22-05-21 à 11:02

Très bien. Et ensuite comment trouver le maximum ?

Posté par
Ugo272
re : Dérivée d'une fonction 22-05-21 à 11:02

C'est n= 14 ?

Posté par
Pirho
re : Dérivée d'une fonction 22-05-21 à 11:07

il sort d'où ton n=14?, ce n'est pas une des racines que tu as trouvées!

Citation :
sans trop de détails sur ton énoncé, je pense que tu dois établir un tableau de variation et donc effectivement calculer E'(n) mais ce n'est pas tout

Posté par
Ugo272
re : Dérivée d'une fonction 22-05-21 à 11:16

Il faut que je remplace les n dans l'espérance E (x) par les racines

Posté par
malou Webmaster
re : Dérivée d'une fonction 22-05-21 à 11:19

Bonjour Pirho
je confirme ta vision des choses
On veut une espérance maxi, d'où étude des variations de la fonction espérance, et c'est ce que doit comprendre Ugo272

Posté par
Ugo272
re : Dérivée d'une fonction 22-05-21 à 11:26

Bonjour malou,
Maintenant que j'ai les racines, je calcule le maximun et le minumun en remplaçant les n de E (X) par les racines. Sauf que j'ai fais les calculs et j'obtiens un grand nombre en fraction avec une racine et les valeurs approchées sont ~31,9 et ~2,6

Posté par
Ugo272
re : Dérivée d'une fonction 22-05-21 à 11:28

.

Dérivée d\'une fonction

Posté par
malou Webmaster
re : Dérivée d'une fonction 22-05-21 à 11:38

non, Ugo272
quand on te dit variations, presque toujours, immédiatement tu dois penser dérivée et signe de la dérivée
donc étudie le signe de ta dérivée
ensuite tu sauras si ta fonction est croissante ou décroissante
et seulement après tu sauras s'il y a un maxi possible

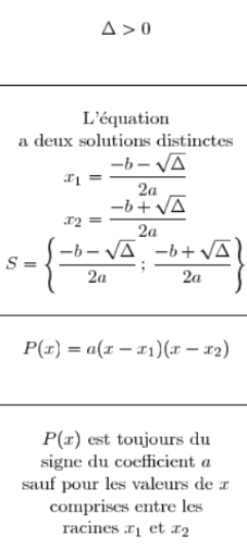
une fiche pour t'aider à étudier ce signe de dérivée 4-Résumé sur les polynômes du second degré

Posté par
Ugo272
re : Dérivée d'une fonction 22-05-21 à 11:58

C'est le signe de a donc il est positif ici

Posté par
malou Webmaster
re : Dérivée d'une fonction 22-05-21 à 12:14

non Ugo272
relis la fiche
tu n'as lu qu'un morceau....

Posté par
Ugo272
re : Dérivée d'une fonction 22-05-21 à 12:46

C'est la 3eme courbe du a>0 ?

Posté par
malou Webmaster
re : Dérivée d'une fonction 22-05-21 à 12:49

Dis moi, en classe de première, il est urgent de savoir exploiter un document...

Dérivée d\'une fonction

Posté par
Ugo272
re : Dérivée d'une fonction 22-05-21 à 12:53

Dsl je suis pas concentré. Je suis occupé et je reviens plus tard

Posté par
Ugo272
re : Dérivée d'une fonction 23-05-21 à 11:28

Rebonjour encore,
Alors le signe de a est entre les 2 racines, donc il est négatif.
Et ensuite ?

Posté par
Pirho
re : Dérivée d'une fonction 23-05-21 à 11:42


donc quel est ton tableau de variation finalement?

Posté par
Ugo272
re : Dérivée d'une fonction 23-05-21 à 11:52

Et bien je n'ai pas ma feuille devant moi mais je peux vous le décrire :
Cela fait                -inf                          x1                                     x2                     +inf

                                      +               0                  -                    0              +            
                                  flèche descendante              flèche montante

Posté par
Pirho
re : Dérivée d'une fonction 23-05-21 à 12:54

oui

mais sur ta feuille écrit les valeurs des racines dans ton tableau ainsi que le min et le max

Posté par
Ugo272
re : Dérivée d'une fonction 23-05-21 à 13:00

Quel est la valeur du minimum et du maximum ? Car je les ait calculé et j'obtiens une fraction avec une racine dedans, donc j'ai du mal calculer.
Merci de me faire l'opération

Posté par
Ugo272
re : Dérivée d'une fonction 23-05-21 à 17:52

E(7+{\sqrt{42}}) = ?

Posté par
Ugo272
Calcul d'une valeur dans une expression 24-05-21 à 18:27

Bonjour, je n'arrive pas à trouver le résultat quand je remplace les x dans cette fonction    E (x)= \frac{x^{2}+13x-98}{x (x-1)}
Avec la valeur 7+42

Quand je calcule, j'obtiens des valeurs négatives alors que le résultat doit être postif

Merci pour votre réponse, j'en ai besoin *****

*** message déplacé ***

*modération > Ugo272, pour la gestion du temps, cela dépendra essentiellement de ton investissement sur le sujet*

Posté par
malou Webmaster
re : Dérivée d'une fonction 24-05-21 à 18:31

attentionextrait de c_faq la FAQ du forum :

Q03 - Pourquoi ne faut-il pas faire du ''multi-post'' ?

Posté par
hekla
re : Dérivée d'une fonction 24-05-21 à 18:33

Bonsoir

Quel est le problème ?

E(7+\sqrt{42})= 183-28\sqrt{42}

Montrez vos calculs.

Posté par
Ugo272
re : Dérivée d'une fonction 24-05-21 à 18:37

Merci beaucoup pour votre réponse helka. J'obtenait -181.
Donc le maximum de n estle résultat que vousm'avez dit

1 2 +




Vous devez être membre accéder à ce service...

Pas encore inscrit ?

1 compte par personne, multi-compte interdit !

Ou identifiez-vous :


Rester sur la page

Inscription gratuite

Fiches en rapport

parmi 1760 fiches de maths

Désolé, votre version d'Internet Explorer est plus que périmée ! Merci de le mettre à jour ou de télécharger Firefox ou Google Chrome pour utiliser le site. Votre ordinateur vous remerciera !