bonjour ! j'ai un exercice a faire pour la retrée sur la factorisation mais je ne comprends pas..
voici les expressions :
A=9x²+6x+1
B=x²-1
C=3x(x-5)-x
D=(2x+3)(x-5)+(2x+3)(3x-8)
mes parents ne peuvet pas m'aider car ils ne comprennent pas non plus, j'ai chercher des cours sur internet mais ils m'embrouillent alors j'espere que l'un ou l'une d'entre vous pourrait m'aider
merci par avance !
Bonjour,
vois un peu ici
un exercice sur la factorisation et reviens vers nous si tu coinces toujours
bonjour ! merci de m'aider ! j'ai regarder mais je ne comprends pas pourquoi certains signes et chiffrent disparaissent, je ne comprends pas non plus pourquoi autant d'expressions sont necessaires pour tout ca pourriez vous m'expliquer ?
j'ai fais
A= x(9x+6)+1
B=x(-1-x)
C= 3(x-5)-x²
D=(2x+3)[(x-5)-1)]+x²(3*3x)-8
je ne sais pas pourquoi j'ai l'impression que rien ne va
ouh là!
petite question : tu n'avais pas vu cette matière en 3e?
A : ne vois tu pas une identité remarquable?
B : de la forme A²-B²
C : quel est le facteur commun?
D : quel est le facteur commun?
non ! ma professeur a demissioner e cours d'année et aucun remplacant ! autant vous dire que pour le brevet ce n'etait pas le top ! cependant avec ce que ma professeur de math de cette annee nous a fait revoir je l'ai appris en retard malheureusement et j'ai du mal
je vais re essayer !
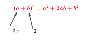
essaie d'appliquer cette identité remarquable avec les valeurs que j'ai mises en dessous
et montre ton résultat

3x²+ 2(3x*1)+1²
3x²+2*3x+1²
6x+2*3x+1
6x+6x+1
12x+1 ???
je pense que j'ai calculer alors qu'il ne fallait pas
attention
le a=3x
donc quand tu le mets au carré tu dois écrire (3x)²
et (3x)²=3x*3x=3*3*x*x=9x²
es-tu d'accord avec ça ?
donc
(3x+1)²=9x²+6x+1
ne reconnais-tu pas l'expression qu'on te donne en A ?
regarde cette explication, si tu sais développer, tu vas savoir factoriser

C'est ce que j'avais noté en premier lieu mais sans les parenthèses du coup, donc je vais faire ça pour la première dans ce cas ! Merci beaucoup
Vous devez être membre accéder à ce service...
Pas encore inscrit ?
1 compte par personne, multi-compte interdit !
Ou identifiez-vous :