Bonjour à tous,
j'ai un exercice de maths a faire, mais je dois le résoudre sans utiliser une équation du second degré, et franchement je n'arrive pas à trouver le raisonnement pour le résoudre :
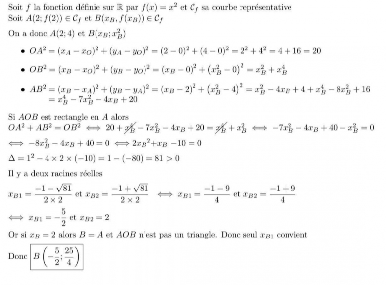
On considère la fonction f définie sur ℝ, par f(x) = x^2 et Cf sa représentation
graphique dans un repère orthonormé (O; I; J).
Soit A le point d'abscisse 2 tel que ?A∈ Cf .
Déterminer les coordonnées du point B appartenant à Cf pour que le triangle ABO
soit rectangle en A.

Bonjour,
J'ai résolu l'équation, on trouve B(-5/2 ; 25/4) et comme f(x)= x^2
A(2 ; 4)
Mais sans l'utiliser je vois vraiment pas comment on peut trouver les coordonnées de B, même si je me doute qu'il faut utiliser Pythagore.

merci de ne pas mettre les recherches en images.
les recherches et résolutions doivent être recopiées sur le site
admin
Bonjour à tous
certes...mais normalement en seconde, le produit scalaire n'est pas connu...à moins que le niveau du demandeur ne soit pas exact
Car je ne comprends pas bien d'où sort la démonstration au dessus, inconnue également en seconde
Donc je suis perplexe...
Bonjour malou
Ah oui, j'avais oublié...
Vu la rédaction, la démo donnée à 17:00 me semble tirée plutôt d'un livre que d'un élève lambda...
Vous devez être membre accéder à ce service...
Pas encore inscrit ?
1 compte par personne, multi-compte interdit !
Ou identifiez-vous :