Re bonjour pppa,
Oui pour le 7), on trouve bien
Les solutions de dhiab sont très bien...
Pour la 8)a), on pouvait aussi poser avec
et tout exprimer en fontion de
;
on se ramenait à la limite d' une fraction rationnelle...

Merci Dhiab, Merci Cailloux
La 8-2 j'ai bien compris mais j'avoue je n'aurai jamis trouvé tt seul !
(mais je vais qd même m'attaquer aux 9 et au 10)
A + tard
Remarque que pour la 8)b), on pouvait se ramener à des taux de variations mais ce n' est pas tellement dans l' esprit "trigo"...

Bonsoir Cailloux
un mail m'a averti qu'une intervention était faite - la tienne - tu parles de tx de variation, tu veux dire :
= f'(
).
Tu as sûrement raison mais alors je ne vois pas bien la fonction f.c'est aps la fonction cos puisu'elle est au dénominateur (ds l'énoncé). Si tu as qqs instants je veux bien qqs détails là dessus car l'approche différentielle des fonctions et de leurs variations m'intéresse particulièrement, (parce que calculer une dérivée comme un automate, je trouve pas ça très intéressant à force, en + j'ai un logiciel qui le fait et puis d'ailleurs dès que ça devient trop "complexe" il ne sait plus faire ou c'est mal lisible.. bref sans sortir du sujet qui est ici la trigonométrie de haute volée, j'aime bien comprendre ce que je fais et ces approches différentielles permettent de comprendre ce que c'est vraiment une dérivée et ce qu'on peut en faire.
Maintenant si ta remarque a rien à voir avec les dérivées de focntions trigonométriques et que j'ai mal compris, excuse moi d'avoir dévié du sujet.
A + tard ou à demain ; merci
Re re bonsoir pppa,

Ah ba oui, vu sous cet "angle" (c'est normal c'est de la trigo [mdr])
Dooooonnnnc, si j'ai bien compris, la limite ici ce serait le produit
1/ du nbre dérivé de f(x) = cos 2x au point d'abscisse
2/ de l'inverse du nbre dérivé de g(x)= cos x au point d'abscisse
3/ le tt multiplié par - 1
je vérifie avant de poster ma question
f'(x) = -2 sin 2x
g'(x) = - sin x
-1 * f'(
/4) * g'(
/4) = -4/
2
-2
2.
maintenant je me souviens qu'on avait vu un calcul de limite a priori incalculable avec les tx de variations, mais je ne crois pas que c'était e n trigo, peu importe il faut penser à cette solution qd on a des calculs de limite même si c'est pas évident à voir. si ça se trouve ça va servir pr ex. 9
On va voir
Bonne soirée Cailloux
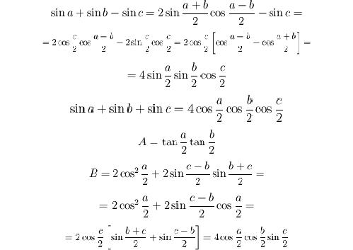
BONJOUR :voici une solution de l'exo 10
La clé de la solution est : b+c = pi-a et a+b = pi -c
ainsi que : sin(pi-a) =sina et cos ( pi - c) = - cosa
Bonjour Cailloux, Bonjour Dhiab, bonjour à tous
Alors je pense avoir trouvé les deux limites du 9
9a) : j'ai utilisé les tx de variation
je pose : cos x + 1 = cos x - cos
sin x = sin x - sin
je divise numérateur et dénominateur par (x-
)
j'ai dc une nouvelle fraction qui est le quotient différentiel au point d'abscisse
de la fonction cosinus au numérateur , de la fonction sinus au dénominateur, donc [f(x) =
]
est le rapport du nbre dérivé de la fonction cos en
le nbre dérivé de la fonction sin en
soit = 0/-1 = 0
9b) soit f(x) = tan tan x
j'ai trouvé ds un livre assez ancien (mais moins que le tien Cailloux) que
tan =
et que 1 - cos x
= 2 sin² (tu confirmes ?, parce que je n'ai pas vérifié en détail même si je crois qu'il y a les démonstrations mais ça fait lire plusieurs pages
)
donc j'écris f(x) = 2 sin² * (tan x/ tan x cos x)
soit f(x) = 2 sin² / cos x
et donc = (2 * 1) /(-1) = - 2
Qu'en dis-tu ?
Bonsoir pppa,
9)a) Ta solution (et ton résultat) sont tout à fait justes.
On pouvait aussi utiliser les formules de trigonométrie:
On sait que
On en déduit
Cette dernière formule est d' ailleurs dans le formulaire de Gilles Costantini.
et en posant , on obtient:
d' où:
Lorsque ,
tend vers
(suivant qu' on tend vers
par valeur inférieure ou supérieure).
Et on a bien
9)b) Tu as parfaitement raison et je te prouve ta formule:
Comme précédemment, on sait que
On en déduit: (toujours dans le formulaire).
Puis en posant :
et
La limite est bien -2...
Bon ben dhiab a fait le dernier...

Bonsoir Cailloux
merci encore une fois pr tes éléments de réponse.
J'ai vu que Dhiab a posté une solution ; franchement pr l'instant je ne l'ai pas regardée ; j'essaye de trouver par moi-même ; là c'est un exercice bien différent des autres enfin je trouve.
Voilà ce que ça m'inspire, mais j'avance pas bcp.
Alors : a + b + c =
, donc a, b et c sont les 3 angles d'un triangle (sur un plan)
Par ailleurs on peut écrire c =
- (a+b) donc sin c = sin(
-(a+b)) = sin (a+b) ; je développe sin (a+b) au numérateur et dénominateur 10a change de forme il n'y a plus de c mais ça ne simplifie pas vraiment.
Si demain matin j'ai aps trouvé mieux je regarde la correction de Dhiab, mais step by step comme qd tu m'aieds à avancer.
Merci, à demain, bonne nuit 
bonjour Cailloux, bonjour Dhiab
Pr le 10a, avec les 2 premières lignes de la démo de Cailloux je me suis débrouillé et ai trouvé le même résultat que vs 2.
Pr le 10b, seul Dhiab a posté. J'ai d'abord voulu éliminer c comme au 10a mais je ne m'en sortais pas alors j'ai regardé au fur et à mesure les lignes de Dhiab.
B = 1 + cos a + cos b - cos c
cos a = 2cos² - 1 OK
cos b - cos c = - 2 sinsin
J'aurais trouvé + vite mais à cause d'une étourderie j'étais parti sur
cos b - cos c = 2 sinsin
c'est pr ça que j'ai mis le - en gras, je ne retrouvais pas le résultat de Dhiab.
Bon, et bah CA Y EST (pardon les modérateurs, c'est pas poli d'écrire en majuscules je sais on donne l'impression qu'on crie mais là c'est un cri de joie et de petite victoire, j'ai fait et surtt compris les 10 exercices) 

Bien sûr un ENOOORME merci à Cailloux qui a donné bcp de son temps
et aussi à Dhiab qui ns a aussi bien aidé.
Cailloux, je souffle un peu ; je pense que je posterai ce soir ou demain l'exercice de géométrie dt je t'ai parlé sosu le titre "Géométrie - produit scalaire - puissance d'un point par rapport à un cercle"
Bien sûr il est ouvert à tt le monde et on va voir les réactions mais déjà j'aimeraos voir ce qu'un bon comme toi en pense parce que c'est la première fois que je ne capte rien de rien sur un exercice de géométrie.
A + tard et encore merci
Coucou pppa,
Je suis absent à partir de demain (matin) jusqu' à Lundi.
Mais sans nul doute, quelqu' un répondra à ton exercice de géométrie.
A moins que tu le postes avant demain...

Bonjour Cailloux
je le posterai tt à l'heure mais ce n'est pas grave si tu ne le regarde pas dès ce soir.
On verra les réactions. Je te souhaite un excellent WE.

Juste un petit commentaire sur la puissance d' un point par rapport à un cercle:
Essaie d' exploiter un point diamétralement opposé à un des deux points d' intersection de la sécante avec le cercle...

merci pr le conseil Cailloux, tu verras l'énoncé a priori ç'est pas évident (pour moi!)
A + tard
(je le poste pas tt de suite parce qu'on m'attend)
salut, je me permet de upper ce topic pour avoir une confirmation sur la façon dont j'ai déterminé la limite en 8.a. (j'avais pris ces exercices avant de partir en vacances pour m'entrainer un peu, très pratique, mais les exos 4,5,6 ont eu raison de moi ^^)
bref ma solution pour déterminer est :
->
ainsi .
bon, je suis quasi-sûr que ça marche mais je préfère avoir confirmation, merci d'avance 
Bonsoir Stef
Ton résultat est bon (ns l'avons validé avec Cailloux qd je l'ai fait) et ta méthode est + simple ou + élégante comme disait un de mes profs que celle que j'ai employée (regarde, moi j'avais utilisé les taux de variation ou les quotients différentiels) mais le résultat qui compte est le même.
Tu peux aussi te vérifier avec une calculatrice graphique ou un logiciel traceur de graphes.
Ciao !
Vous devez être membre accéder à ce service...
Pas encore inscrit ?
1 compte par personne, multi-compte interdit !
Ou identifiez-vous :