bonjour à tous,
j'espère être au bon endroit, je ne suis au fait des programmes scolaires.
Je possède une barre en fer de 100 cm que je veux tordre en arc de cercle pour une flèche de 20 cm. Quelle sera la hauteur effective occupée par ma barre une fois tordue ainsi ?
En d'autres termes, j'ai cette barre dont je veux faire le montant, vertical, d'une tablette, mais ce montant je le veux en arc de cercle, ça fait joli. La hauteur de ma tablette ne sera plus de 100 mais moins.
Je sais que l'arc dépend du rayon... mais ce que je n'arrive pas à saisir, c'est comment, pour un arc de 200 (ma barre de fer de 100 représente un demi-arc) et une flèche de 20, le rayon peut être variable.... je ne sais si je suis clair....
Comment, avec 200 d'arc et une flèche de 20, puis-je avoir différents rayons possibles ?
Merci par avance de tout éclaircissement, je dois rater quelque chose quelque part....
Bonjour, j'ai compris ça de tes explications :
Est-ce que c'est bien ça ? et tu veux calculer quoi ? r ?
tu peux écrire que 2 a r = 200 (a en radians)
et aussi cos a = (r-20)/r ce qui te donne l'équation cos(r/100) = (r-20)/r
que tu ne peux résoudre que par des méthodes approchées. il y a plusieurs solutions, la première c'est r = 74.84 cm
salut
ben tu as un beau triangle rectangle d'hypoténuse r et dont les côtés de l'angle droite sont r - 20 et la demi-corde ...
ben si tu connais la demi-corde tu connais la corde !!!
donc une fois que tu as le rayon tu as la demi-corde donc la corde ...
oui tout à fait, le calcul approché, moi qui ne suis pas très à l'aise en trigo, je suis en train de décortiquer ces données.
cos (r/100) = (r-20)/r, d'où un r autour de 74,84 cm
donc 74,84² = 54,84²+h² , h étant mon inconnue
h=50,93 cm.... ce qui me paraît bizarre, la hauteur ne peut se réduire de tant
J'ai encore fait une erreur quelque part....
je ne sais pas quelle est la valeur de h mais en tout cas c'est le raisonnement ...
à toi de vérifier et mener tes calculs proprement ... (poste les ici ...)
Alors j'ai tout repris, et notamment ce que me propose Glapion... seulement, outrecuidance de ma part, je pense qu'il y a une erreur dans ses formules :
En fait a=100/r et non pas r/100
donc cos(100/r)=(r-20)/r
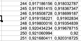
et la copie écran ci-jointe trouve que R est entre 246 et 247 cm. Je prends 246,5 cm.
et de ce fait ma hauteur h :
246,5² = 226,5²+h²
avec h=97,26 cm ce qui parait plus cohérent...

ouais ça semble mieux ... et effectivement Glapion s'est mélangé les pinceaux ...
pour résoudre l'équation cos (100/r) = (r - 20)/r tu peux tabuler ... mais toutes les calculatrices peuvent te donner une valeur "plus exacte" (avec les environ 15 décimales qu'elles autorisent) que tu places dans la variable r
puis ensuite il est aisé de calculer h^2 = r^2 - (r - 20)^2 puis la racine carrée pour avoir "la valeur la plus exacte" possible que te permet ta calculatrice (ou un calculateur sur le net)
si tu veux plus de précision sur ta valeur approchée ...
Vous devez être membre accéder à ce service...
Pas encore inscrit ?
1 compte par personne, multi-compte interdit !
Ou identifiez-vous :