Bonjour,
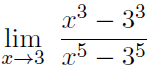
Je rencontre quelques difficultés pour calculer la limite de fonction apparaissant dans l'image ci-jointe. En effet, en factorisant par x^3 en haut et x^5 en bas, je me retrouve avec x^3/x^5 soit 1/x^2 qui tend donc vers le réel positif 1/9, multiplié par une fraction dont le numérateur et le dénominateur tendent vers 0 quand x tend vers 3, ce qui ne m'avance pas pour distinguer les cas des limites où x tend vers 3 par la gauche et par la droite.
Merci pour votre aide
Bonjour,
Plusieurs méthodes sont possibles.
L'une d'elles est de factoriser numérateur et dénominateur par (x-3).
Ce que tu as tenté, c'est plutôt pertinent quand x tend vers l'infini.
Bonjour,
Après factorisation et simplification par x-3, je me retrouve avec le quotient suivant : (x²+3x+9)/(x[sup4[/sup]
Désolé, le quotient s'est mal écrit :
(x²+3x+9)/(x^4+3x^3+9x²+27x+81).
J'ai ensuite essayé de refactoriser en haut et en bas mais cela ne semble par aboutir. Comment puis-je faire ?
Bonjour Pirho
Tu peux poursuivre.
@eleveterm,
Pour les exposants, il y a le bouton X2
sous le rectangle zone de saisie.
Il est fortement conseillé de faire "Aperçu" avant "POSTER".
Tu peux aussi utiliser l'éditeur LaTeX de l'ile :

Ok je trouve 1/15 comme limite dans ce cas, mais cela signifie-t-il que la fonction qui n'était pas définie en 3 l'est devenue en factorisant et simplifiant par x-3 ? Et la limite est donc la même à droite et à gauche ?
C'est bien 1/15
Oui, la limite est la même à droite et à gauche.
Non, la fonction définie par n'est pas définie en 3.
On peut définir une autre fonction g par g(x) = (x²+3x+9)/(x^4+3x^3+9x²+27x+81).
Les fonctions f et g coïncident sur
\{3}.
On dit que la fonction g prolonge la fonction f par continuité en 3.
D'accord merci pour ces explications, par conséquent, est-il correct d'écrire :
=
?
Car si c'est incorrect, cela signifie qu'on ne travaille pas sur la même fonction, et donc que leurs limites ne sont pas nécessairement égales il me semble ?
Bonjour Sylvieg
désolé pour hier, finalement je n'ai pas pu suivre eleveterm car j'ai eu un contretemps
Bonjour
il mérite quand même une lettre majuscule ce monsieur....
la règle de l'Hôpital ou de l'Hospital (non au programme en France )

En fait, on peut le faire sans le dire
C'est une des méthodes que j'évoquais au début :
Il suffit d'écrire
Puis utiliser les nombres dérivés en 3 des fonctions g et h définies par
g(x) = x3 et h(x) = x5.
Finalement, évoquer l'Hôpital, avec des limites de dérivées, c'est un peu genre marteau-pilon pour écraser une mouche 
Vous devez être membre accéder à ce service...
Pas encore inscrit ?
1 compte par personne, multi-compte interdit !
Ou identifiez-vous :