Bonjour,
Ci-joint veuillez trouver l'énoncé du problème.
Mes recherches :
J'ai réussi à répondre à la première question j'obtiens S=(1-(-t^2)^n)/(t^2+1).
Cependant, pour la seconde je ne vois pas par ou commencer. Je vois qu'au sein de l'intégrale se trouve la dérivée de arctan(x), faut-il donc calculer l'intégrale ?
Concernant la somme on voit l'expression de la primitive de x^2k. On pourrait donc calculer la somme à l'aide d'une intégrale...
Merci de votre aide par avance.
** image supprimée **
salut
tu as tous les outils sur le site pour écrire l'énoncé (afin qu'il soit référencé) sans passer par une image (qui est interdite telle quelle)
2/ il suffit de dériver arctan
Bonjour, je n'ai pas réussi à écrire t^2n avec les outils du site...
Une fois arctan dérivé, que faire ? Je dérive l'expression à droite de l'égalité ?
Bonjour
merci de recopier l'énoncé
pour écrire t^2n et obtenir il suffit d'écrire t^{2n} entre les balises Ltx
La dérivée de la fonction x
arctan(x) est la fonction x
1/(1+x^2) et non la fonction n x
1/1+x^2=1+x^2.
On part de ça :
On fait une manip évidente pour obtenir :
Puis on intègre les deux membres de l'égalité entre 0 et x.
Je vous relance,
Je dois aussi montrer que,
Grâce à,
( Avec Sn une somme qu'on précisera.
On pose x=1 et on sait que , l'intégrale
grâce à la majoration des intégrales )
J'ai eu l'idée de développer arctan avec des séries entières mais nous ne l'avons pas encore vu, j'ai donc peur de mal l'utiliser.
Auriez vu une autre méthode à me conseiller ?
l serait bien de nous donner l'énoncé exact et complet une bonne fois pour toute afin de faire le lien entre les questions et savoir où l'on va ...
A la question 1. nous avons trouver une expression de
A la question 2. on a trouvé une expression de arctan grâce aux intégrales ( les réponses ci-dessus)
A la question 3. j'ai montré que l'intégrale ( l'intégrale dans l'expression de arctan question 2) est majorée par
et est supérieure à 0
A la question 4. j'ai montré que pour x=1 on a bien , grâce à la question d'avant et l'expression de arctan(x) question 1
A la question 5 on doit donc montrer que
Grâce à l'expression de (expression de Machin)
donc et tu développes en série ce dernier terme grâce aux questions précédentes ... puis tu bricoles des choses avec l'autre terme

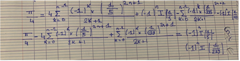
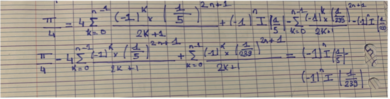
J'obtiens pour l'instant,
mon résultat est-il juste ?
J'ai remplacé arctan(1/5) et arctan (1/239) par l'expression obtenue à la question 2 de arctan(x)
mais as-tu lu la question ?
on ne te demande pas cette majoration mais celle obtenue à la question 3 !!
Veuillez m'excuser il y a eu une erreur de fichier...
Ce que j'ai la est-il correct pour le moment ? J'ai noté I(x) l'intégrale

il faut majorer les intégrales avec
ne serait-ce pas un moins devant la deuxième somme ?
ensuite si a < b - c et c est positif alors simplement a < b
carpediem
Vous devez être membre accéder à ce service...
Pas encore inscrit ?
1 compte par personne, multi-compte interdit !
Ou identifiez-vous :