Inscription / Connexion Nouveau Sujet

1 2 +


Posté par
BrenJus
re : Polynôme du second degré 18-10-20 à 18:44

4a) B(x)=R(x)-C(x)= 7x-(0.6x²-0.62x+18.24)
                                =7x-0.6x²+0.62x-18.24
                                =-0.6x²+7.62x+18.24

Posté par
carita
re : Polynôme du second degré 18-10-20 à 18:51

BrenJus @ 18-10-2020 à 18:44

4a) B(x)=R(x)-C(x)= 7x-(0.6x²-0.62x+18.24)
                                =7x-0.6x²+0.62x-18.24
                                =-0.6x²+7.62x - 18.24  --- c'est -18.24


ok
continue

Posté par
carita
re : Polynôme du second degré 18-10-20 à 18:53
Posté par
BrenJus
re : Polynôme du second degré 18-10-20 à 19:05

4b) désoler pour l'écriture

Polynôme du second degré

Posté par
BrenJus
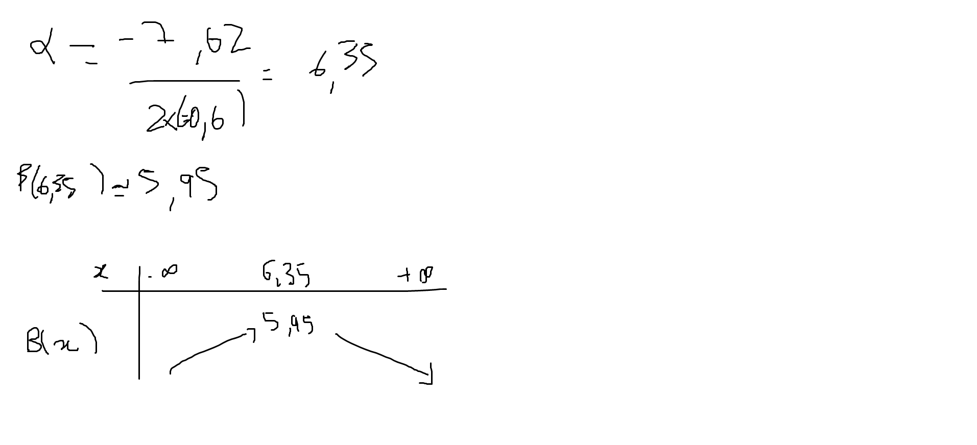
re : Polynôme du second degré 18-10-20 à 19:08

alpha = -7.62/2*(-0.6) = 6.35
béta = -0.6*6.35²+7.62*6.35-18.24 = 5.95

Posté par
carita
re : Polynôme du second degré 18-10-20 à 19:11

c'est ça, sauf que les bornes ne sont pas les infinis

quel est l'ensemble de définition de B ?
puis calcule l'image de ses bornes

Posté par
BrenJus
re : Polynôme du second degré 18-10-20 à 19:16

j'ai pas compris l'ensemble de définition de  B
sinon
B(0) = -0.6*0²+7.62*0-18.24 = -18.24
B(12) = -0.6*12²+7.62*12-18.24 = -13.2

Posté par
carita
re : Polynôme du second degré 18-10-20 à 19:23

4. On note B(x) le bénéfice mensuel,...
(a) Montrer que, pour tout x dans l'intervalle [0; 12] : B(x) = −0, 6x² + 7, 62x − 18, 24


sur le tableau de variation de B, à la ligne des x, il y a donc 0 et 12 à la place des infinis
et dessous ces bornes, tu notes leur image (-18.24 et -13.2, oui)

Posté par
carita
re : Polynôme du second degré 18-10-20 à 19:25

(c) Résoudre l'équation B(x) = 0. Interpréter le résultat avec le contexte de l'exercice.
(d) Etudier le signe de la fonction B sur [0; 12].

tu sais faire ?
sinon 3-Fonctions du second degré : équations, signe et inéquations

Posté par
BrenJus
re : Polynôme du second degré 18-10-20 à 19:25

ah d'accord

Posté par
BrenJus
re : Polynôme du second degré 18-10-20 à 19:37

4c) −0, 6x² + 7, 62x − 18, 24 = 0
= (-0.6x) (-0.6x) +7.62x = 18.24
= 3.6x+7.62=18.24
=11.22x = 18.4
= x= 1.64
je pense pas que c'est ca

Posté par
carita
re : Polynôme du second degré 18-10-20 à 19:38

ah non, ce n'est pas ça.

il s'agit d'une équation du second degré, forme ax² + bx + c = 0

ici, a = ...?
b = ...?
c = ...?

quelles méthodes as-tu apprises en classe pour résoudre ce type d'équation ?

Posté par
BrenJus
re : Polynôme du second degré 18-10-20 à 19:49

4c) a= -0.6   b= 7.62    c= -18.24
on utilise delta?  si oui alors
delta= 7.62²-4*(-0.6)*(-18.24) = 14.29   Il y 2 solutions réelles
x1 = -7.62+√14.29 sur 2*(-0.6) = 3.2
x2 =  -7.62-√14.29 sur 2*(-0.6) = 9.5

Posté par
carita
re : Polynôme du second degré 18-10-20 à 19:53

on pourrait utiliser la factorisation de la forme canonique (puisqu'on a alpha et beta),
mais ici, avec des nombres arrondis, on préfèrera le discriminant delta.

tes racines sont exactes : 3.2 et 9.5

ce qui me dérange un peu, ce sont les valeurs approchées de delta;
dans une résolution d'équation, on garde les valeurs exactes jusqu'à la fin.

interprétation de 3.2 et 9.5 dans le contexte ?

Posté par
BrenJus
re : Polynôme du second degré 18-10-20 à 20:02

D'accord donc
delta= 7.62²-4*(-0.6)*(-18.24) = 14.2884   Il y 2 solutions réelles
x1 = -7.62+√14.29 sur 2*(-0.6) ≃ 3.2
x2 =  -7.62-√14.29 sur 2*(-0.6) ≃ 9.5
3.2 et 9.5 c'est l'intervalle de x pour que son bénéfice soit positif

Posté par
carita
re : Polynôme du second degré 18-10-20 à 20:17

environ égal aussi pour delta, ce serait parfait.

alors,
pour l'équation B(x) = 0, ce n'est pas la bonne interprétation
3.2 et 9.5 sont les racines de B (tu as lu la fiche indiquée?)
ce sont les abscisses des points d"intersection entre la courbe de B et l'axe des abscisses.

ça correspond donc aux quantités produites qui ....? le bénéfice
trace la courbe de B pour visualiser

Posté par
carita
re : Polynôme du second degré 18-10-20 à 20:20

3.2 et 9.5 c'est l'intervalle de x pour que son bénéfice soit positif  ------ ça c'est (presque) juste !
mais c'est la réponse à la 5a)

3.2 et 9.5 sont les bornes de l'intervalle ---> comment tu écris l'intervalle ?

Posté par
carita
re : Polynôme du second degré 18-10-20 à 20:21

et pour 5b) utilise ton tableau de variation, et justifie ta réponse

Posté par
BrenJus
re : Polynôme du second degré 18-10-20 à 20:27

ça correspond donc aux quantités produites qui augmente le bénéfice
3.2 et 9.5 sont les bornes de l'intervalle 6.35 donc [ 3.2; 9.5] ?

Posté par
carita
re : Polynôme du second degré 18-10-20 à 20:38

5a)
l'intervalle 6.35 donc [ 3.2; 9.5]
sur cet intervalle de x, le bénéfice est positif ou nul

Posté par
BrenJus
re : Polynôme du second degré 18-10-20 à 20:45

ah mais la
4c) 3.2 et 9.5 sont les racines de B. Ce sont les abscisses des points d'intersection entre la courbe de B et l'axe des abscisses.

4d)

5a) l'intervalle x est donc [ 3.2; 9.5]

Posté par
carita
re : Polynôme du second degré 18-10-20 à 20:58

4.
(c) oui, mais va au bout du raisonnement
pour x=3.2 ou x=9.5 le bénéfice est .....?

(d) Etudier le signe de la fonction B sur [0; 12].
==> voir cours
tu as appris la règle des signes du trinôme ?
si non, factorisation
puis tableau de signes
3-Fonctions du second degré : équations, signe et inéquations

5a) oui

Posté par
BrenJus
re : Polynôme du second degré 18-10-20 à 21:10

4c) 3.2 et 9.5 sont les racines de B. Ce sont les abscisses des points d'intersection entre la courbe de B et l'axe des abscisses. pour x=3.2 ou x=9.5 le bénéfice est positive

Posté par
carita
re : Polynôme du second degré 18-10-20 à 21:20

mais non !
puisque ce sont les racines de B, elles annulent B(x)
donc pour ces 2 valeurs, le bénéfice est nul

Posté par
BrenJus
re : Polynôme du second degré 18-10-20 à 21:21

4d) j'ai oublié

5a) le nombre d'article que l'entreprise doit produire et vendre pour réaliser un
bénéfice mensuel positive est que le nombre d'article x soit dans l'intervalle  [ 3.2; 9.5]

5b)  le nombre d'article que l'entreprise doit produire et vendre pour réaliser un
bénéfice mensuel maximal est 6.35 car son bénéfice serait de 5950€

Posté par
BrenJus
re : Polynôme du second degré 18-10-20 à 21:24

ah mince
4c) 3.2 et 9.5 sont les racines de B. Ce sont les abscisses des points d'intersection entre la courbe de B et l'axe des abscisses. pour x=3.2 ou x=9.5 le bénéfice est positive

Posté par
BrenJus
re : Polynôme du second degré 18-10-20 à 21:25

4c) 3.2 et 9.5 sont les racines de B. Ce sont les abscisses des points d'intersection entre la courbe de B et l'axe des abscisses. pour x=3.2 ou x=9.5 le bénéfice est nul*

Posté par
carita
re : Polynôme du second degré 18-10-20 à 21:29

ok pour les 5)
et 4c)

4d) je t'ai donné des indications à 20h58

Posté par
BrenJus
re : Polynôme du second degré 18-10-20 à 21:44

4d) Si  Delta > 0, P(x) a le signe de a à l'extérieur des racines et le signe de (- a) entre les racines. ca doit etre ca non??

Posté par
carita
re : Polynôme du second degré 18-10-20 à 21:45

c'est cette règle
elle devient quoi, ici ?

Posté par
carita
re : Polynôme du second degré 18-10-20 à 21:46

(d) Etudier le signe de la fonction B sur [0; 12]

==> tu dois dresser un tableau de signes de B(x)

Posté par
BrenJus
re : Polynôme du second degré 18-10-20 à 21:49

ah donc
entre 0 et 6.35 c'est -
et 6.35 à 12 c'est aussi -

Posté par
carita
re : Polynôme du second degré 18-10-20 à 21:50

quelles sont les racines ? tu viens juste de les trouver !

Posté par
carita
re : Polynôme du second degré 18-10-20 à 21:51

6.35 n'est pas racine, c'est , l'abscisse du sommet

Posté par
BrenJus
re : Polynôme du second degré 18-10-20 à 21:57

les racines sont 3.2 et 9.5

Posté par
carita
re : Polynôme du second degré 18-10-20 à 21:59

oui, donc refais ça en appliquant correctement la règle du signe que tu as citée

BrenJus @ 18-10-2020 à 21:49

ah donc
entre 0 et 6.35 c'est -
et 6.35 à 12 c'est aussi -

Posté par
BrenJus
re : Polynôme du second degré 18-10-20 à 22:00

4d)

Polynôme du second degré

Posté par
carita
re : Polynôme du second degré 18-10-20 à 22:04

on est d'accord

Posté par
BrenJus
re : Polynôme du second degré 18-10-20 à 22:06

Donc si j'ai tout bien réussi c'est ca :
1) R(x) = 7x

2) bénéfice de mai = R(4) - C(4) = 4 * 7 -  (0.6 * 4² - 0.62 * 4 + 18.24) = 2.64k€
bénéfice de juin = R(6.5) - C(6.5) = 6.5 * 7 -  (0.6 * 6.5² - 0.62 * 6.5 + 18.24)  = 5.94k€  
Le bénéfice en juin a était très important au mois de juin car le bénéfice en mai était de 2640€ et en juin le  bénéfice était de 5940€ l'équivalent de 3300€ de différence

3)
a/L'intervalle dans lequel doit se situer x pour que le bénéfice mensuel réalisé soit positif est [ 3;9.5]
b/  la valeur de x pour laquel le bénéfice mensuel est maximal est 6 vu que la courbe C et R sont le plus éloigner

4a) B(x)=R(x)-C(x)= 7x-(0.6x²-0.62x+18.24)
                                =7x-0.6x²+0.62x-18.24
                                =-0.6x²+7.62x+18.24
b/  
alpha = -7.62/2*(-0.6) = 6.35
béta = -0.6*6.35²+7.62*6.35-18.24 = 5.95  
+ le tableau de variation a rajouter
c/
a= -0.6   b= 7.62    c= -18.24
delta= 7.62²-4*(-0.6)*(-18.24) = 14.2884   Il y 2 solutions réelles
x1 = -7.62+√14.29 sur 2*(-0.6) ≃ 3.2
x2 =  -7.62-√14.29 sur 2*(-0.6) ≃ 9.5
3.2 et 9.5 sont les racines de B. Ce sont les abscisses des points d'intersection entre la courbe de B et l'axe des abscisses. pour x=3.2 ou x=9.5 le bénéfice est nul
d/ tableau de signe a faire

5a) le nombre d'article que l'entreprise doit produire et vendre pour réaliser un
bénéfice mensuel positive est que le nombre d'article x soit dans l'intervalle  [ 3.2; 9.5]

5b)  le nombre d'article que l'entreprise doit produire et vendre pour réaliser un
bénéfice mensuel maximal est 6.35 car son bénéfice serait de 5950€

Posté par
BrenJus
re : Polynôme du second degré 18-10-20 à 22:06

Merci de m'avoir aidé

Posté par
carita
re : Polynôme du second degré 18-10-20 à 22:20

BrenJus @ 18-10-2020 à 22:06

Donc si j'ai tout bien réussi c'est ca :
1) R(x) = 7x

2) bénéfice de mai = R(4) - C(4) = 4 * 7 -  (0.6 * 4² - 0.62 * 4 + 18.24) = 2.64k€
bénéfice de juin = R(6.5) - C(6.5) = 6.5 * 7 -  (0.6 * 6.5² - 0.62 * 6.5 + 18.24)  = 5.94k€  
Le bénéfice en juin a était trèsplus  important au mois de juin car le bénéfice en mai était de 2640€ et en juin le  bénéfice était de 5940€ l'équivalent de 3300€ de différence

3)
a/L'intervalle dans lequel doit se situer x pour que le bénéfice mensuel réalisé soit positif estsemble être [ 3;9.5]
b/  la valeur de x pour laquelle le bénéfice mensuel est maximal est semble être 6 vu
que la courbe C et R sont le plus éloigner

4a) ok
b/  
alpha = -7.62/2*(-0.6) = 6.35
béta = -0.6*6.35²+7.62*6.35-18.24 = 5.95   ---- mets , c'est un arrondi
+ le tableau de variation a rajouter

c/ oui

d/ tableau de signe a faire

5a) oui

5b)  le nombre d'article que l'entreprise doit produire et vendre pour réaliser un
bénéfice mensuel maximal est 6.35 caret  son bénéfice serait est alors de 5950€
---- important : explique que d'après l'étude de la variation (tableau), la fonction admet un maximum

Posté par
carita
re : Polynôme du second degré 18-10-20 à 22:21

de rien
bonne nuit.

1 2 +




Vous devez être membre accéder à ce service...

Pas encore inscrit ?

1 compte par personne, multi-compte interdit !

Ou identifiez-vous :


Rester sur la page

Inscription gratuite

Fiches en rapport

parmi 1750 fiches de maths

Désolé, votre version d'Internet Explorer est plus que périmée ! Merci de le mettre à jour ou de télécharger Firefox ou Google Chrome pour utiliser le site. Votre ordinateur vous remerciera !