Fiche de mathématiques
> >

BACCALAURÉAT GÉNÉRAL

ASIE SESSION 2023

MATHÉMATIQUES

Jour 1

Partager :


Durée : 4 heures
L'usage de la calculatrice avec mode examen actif est autorisé.
L'usage de la calculatrice sans mémoire, « type collège » est autorisé.


Le sujet est composé de 4 exercices indépendants.

Tous les exercices doivent être traités.

Le candidat est invité à faire figurer sur la copie toute trace de recherche, même incomplète ou non fructueuse, qu'il aura développée.

La qualité de la rédaction, la clarté et la précision des raisonnements entreront pour une part importante dans l'appréciation de la copie. Les candidates et candidats sont invités à faire figurer sur leurs copies toute trace de recherche, même incomplète ou infructueuse..

5 points

exercice 1

Partie A

 Bac général spécialité maths 2023 Asie Jour 1 : image 6

Partie B

 Bac général spécialité maths 2023 Asie Jour 1 : image 2


5 points

exercice 2

 Bac général spécialité maths 2023 Asie Jour 1 : image 3


5 points

exercice 3

 Bac général spécialité maths 2023 Asie Jour 1 : image 4

 Bac général spécialité maths 2023 Asie Jour 1 : image 1




5 points

exercice 4

 Bac général spécialité maths 2023 Asie Jour 1 : image 7

 Bac général spécialité maths 2023 Asie Jour 1 : image 5



ANNEXE A RENDRE AVEC LA COPIE


 Bac général spécialité maths 2023 Asie Jour 1 : image 8





Bac général spécialité maths 2023 Asie Jour 1

Partager :



5 points

exercice 1

Partie A

On considère la suite  \overset{ { \white{ . } } } { (u_n)_{ n\in\N } }   définie par  \overset{ { \white{ . } } } { u_0 = 400 }   et, pour tout entier naturel n   \overset{ { \white{ . } } } { :u_{n+1} = 0,9\,u_n + 60\,.}

1. a)  Nous devons calculer  \overset{ { \white{ . } } } { u_1 } }   et  \overset{ { \white{ . } } } { u_2\,.} }

{ \white{ xxx } }\bullet\;\boxed{ u_0=400 } \\ \\ \bullet\;u_1=0,9\,u_0+60 \\ \overset{ { \white{ . } } } {\phantom{ \bullet \;u_1 }=0,9\times400+60 } \\ \overset{ { \white{ . } } } {\phantom{ \bullet \;u_1 }=420 } \\ \\ \phantom{ \bullet } \Longrightarrow\quad\boxed{ u_1=420 }

{ \white{ xxx } }\\ \\ \bullet\;u_2=0,9\,u_1+60 \\ \overset{ { \white{ . } } } {\phantom{ \bullet \;u_2 }=0,9\times420+60 } \\ \overset{ { \white{ . } } } {\phantom{ \bullet \;u_2 }=438 } \\ \\ \phantom{ \bullet } \Longrightarrow\quad\boxed{ u_2=438 }

1. b)  Nous pouvons conjecturer que la suite  \overset{ { \white{ . } } } { (u_n)_{ n\in\N } }   semble être strictement croissante.

2.  Nous devons démontrer par récurrence que pour tout entier naturel n ,  \overset{ { \white{ . } } }{ 0\le u_n\le u_{ n+1 }\le 600 \;. }

Initialisation  : Montrons que la propriété est vraie pour n  = 0, soit que   \overset{ { \white{ . } } }{ 0\le u_0\le u_{ 1 }\le600 \;. }
C'est une évidence car  \overset{ { \white{ . } } }{\left\lbrace\begin{matrix}u_0=400\\u_1=420\end{matrix}\right. \quad\Longrightarrow\quad 0\le u_0\le u_1\le 600.}
Donc l'initialisation est vraie.

Hérédité  : Montrons que si pour un nombre naturel n  fixé, la propriété est vraie au rang n , alors elle est encore vraie au rang (n +1).
Montrons donc que si pour un nombre naturel n  fixé,  \overset{ { \white{ . } } }{ 0\le u_n\le u_{ n+1 }\le600 } , alors  \overset{ { \white{ . } } }{ 0\le u_{ n+1 }\le u_{ n+2 }\le600 \;. }
En effet,  

\forall\,n\in\N,\;0\le u_n\le u_{ n+1 }\le 600\quad\Longrightarrow\quad { \red{ 0,9\times} } 0\le { \red{ 0,9\times} } u_n\le { \red{ 0,9\times} } u_{ n+1 }\le { \red{ 0,9\times} } 600 \\ \overset{ { \white{ . } } }{ \phantom{ \forall\,n\in\N,\;0\le u_n\le u_{ n+1 }\le 600 }\quad\Longrightarrow\quad 0\le 0,9\,u_n\le 0,9\,u_{ n+1 } \le 540 } \\ \overset{ { \white{ . } } }{ \phantom{ \forall\,n\in\N,\;0\le u_n\le u_{ n+1 } \le 600}\quad\Longrightarrow\quad 0{\red{+60}}\le 0,9\,u_n{\red{+60}}\le 0,9\,u_{ n+1 } {\red{+60}}\le 540 {\red{+60}} } \\ \overset{ { \white{ . } } }{ \phantom{ \forall\,n\in\N,\;0\le u_n\le u_{ n+1 } \le 600}\quad\Longrightarrow\quad 60\le u_{ n+1 }\le u_{ n+2 }\le 600  }
Nous en déduisons que  \forall\,n\in\N,\; \overset{ { \white{ . } } }{ 0\le u_{ n+1 }\le u_{ n+2 }\le600 \;. }
L'hérédité est vraie.

Puisque l'initialisation et l'hérédité sont vraies, nous avons montré par récurrence que  \overset{ { \white{ . } } }{ \boxed{ \forall n\in\N\text{  :  }0\le u_{ n }\le u_{ n+1 }\le600  } }\;.

3. a)  Il découle de la question 2. que la suite  (u _ n )  est croissante et majorée par 600.

Selon le théorème de la convergence monotone, la suite  (u _ n )  est convergente.
On note  \overset{{\white{.}}}{\ell}  la valeur de sa limite.

3. b)  La fonction f  définie sur R par   \overset{ { \white{ . } } } { f(x)=0,9x+60 }  est continue sur R (fonction affine).
Nous savons également que pour tout entier naturel n ,  \overset{ { \white{ . } } } { u_{ n+1 }=f(u_n) }  et que la suite  \overset{ { \white{ . } } } { (u _ n ) }  est convergente.

Selon le théorème du point fixe, la limite  \overset{ {\white{ . } } }{ \ell }  vérifie l'équation  \overset{ { \white{ . } } }{ f(\ell)=\ell. }

f(\ell)=\ell\quad\Longleftrightarrow\quad 0,9\,\ell+60=\ell \\ \overset{ { \white{ . } } } {\phantom{ f(\ell)=\ell }\quad\Longleftrightarrow\quad \ell-0,9\,\ell=60 } \\ \overset{ { \white{ . } } } {\phantom{ f(\ell)=\ell }\quad\Longleftrightarrow\quad 0,1\,\ell=60 } \\ \overset{ { \white{ . } } } {\phantom{ f(\ell)=\ell }\quad\Longleftrightarrow\quad 10\times0,1\ell=10\times60 }
\overset{ { \white{ . } } } {\phantom{ f(\ell)=\ell }\quad\Longleftrightarrow\quad \ell=600 }  \\ \\ \Longrightarrow\quad\boxed{ \lim\limits_{n\to+\infty}u_n=600  }

4.  On donne une fonction écrite en langage Python :

{\white{WWWWW}}\begin{array} { |l|l| } \hline { \blue { \text{d} } } { \blue { \text{e} } } { \blue { \text {f} } } \text{ mystere(seuil)} :\phantom{ Wwx } \\ \phantom{ Wii }\text{n = 0}\phantom{ Wwww }  \\ \phantom{ Wii }\text{u = 400}\phantom{ Wwww } \\ \phantom{ x }\phantom{ w } { \blue { \text{ while } } }\text{ u  }<=\text{ seuil}:\phantom { Wi } \\ \phantom { x } \phantom { WWvi } \text{ n =   }\text{ n + 1 }\phantom { W XWxi } \\ \phantom { x } \phantom { WWvi } \text{ u =   }\text{ 0,9}*\text{u + 60}\phantom { W XWxi } \\ \phantom { x } \phantom { w } { \blue { \text { return } } }   { \text { n } } \phantom { Wi } \\ \hline\end {array}

Voici les différentes valeurs prises par n  lors de la saisie de mystere(500) (les valeurs de u  sont arrondies au millième si nécessaire).

{\white{WWWWW}}\begin{array} {|c|c|} \hline &&\phantom{W}n\phantom{W}&\phantom{WW}u\phantom{WW}&&\\ \hline &\\ 0&400\\1&420\\2&430\\3&454,2\\4&468,79\\5&481,902\\6&493,712\\ {\red{7}}&{\red{504,341}}\\&\\ \hline\end{array}

Par conséquent, la valeur renvoyée par la saisie de mystere(500) est 7.

Partie B

Un arboriculteur possède un verger dans lequel il a la place de cultiver au maximum 500 arbres.
Chaque année, il vend 10% des arbres de son verger et puis il replante 60 nouveaux arbres.
Le verger compte 400 arbres en 2023.

L'arboriculteur pense qu'il pourra continuer à vendre et à planter les arbres au même rythme pendant les années à venir.

Montrons que l'arboriculteur va être confronté à un problème de place dans son verger.

Notons  \overset{ { \white{ . } } } { u_n }  le nombre d'arbres plantés dans le verger en (2023 + n ).
Les données du problème permettent de définir la suite  \overset{ { \white{ . } } } { (u_n)_{ n\in\N } }   déterminée par  \overset{ { \white{ . } } } { u_0 = 400 }   et, pour tout entier naturel n ,  \overset{ { \white{ . } } } { u_{n+1} = 0,9\,u_n + 60} .
Une étude de cette suite a été réalisée dans la partie A.

La fonction Python nous a indiqué que le nombre d'arbres plantés dans le verger dépassera 500 en l'année (2023 + 7), soit en 2030.

Par conséquent, en gardant le même rythme, l'arboriculteur va être confronté à un problème de place dans son verger dès l'année 2030.

5 points

exercice 2

On considère le cube ABCDEFGH  ci-dessous (question 2.).

Dans le repère orthonormé  (A\,;\,\overrightarrow{AB}\,,\,\overrightarrow{AD}\,,\,\overrightarrow{AE})\,,  on considère les points M , N  et P  de coordonnées :

M\left(1\,;\,1\,;\,\dfrac{3}{4}\right)\;,N\left(0\,;\,\dfrac{1}{2}\,;\,1\right)\;,P\left(1\,;\,0\,;\,-\dfrac{5}{4}\right)\,.

1.  Calculons les coordonnées des vecteurs  \overrightarrow{MN}  et  \overrightarrow{MP}\,. 

{\white{WWW}}\overset{ { \white{ . } } }{ \left\lbrace\begin{matrix}\overrightarrow{ MN }\ \begin{pmatrix}0-1 \\ \dfrac{1}{2}-1 \\ 1-\dfrac{3}{4} \end{pmatrix}\quad\Longrightarrow \quad\boxed{\overrightarrow{ MN }=\begin{pmatrix}-1\\-\dfrac{1}{2}\\ \overset{ { \phantom{ . } } } {\dfrac{1}{4} } \end{pmatrix} } \\ \\ \overrightarrow{ MP }\ \begin{pmatrix}1-1 \\ 0-1 \\ -\dfrac{5}{4}-\dfrac{3}{4} \end{pmatrix}\quad\Longrightarrow\quad\boxed{ \overrightarrow{ MP }=\begin{pmatrix}0\\-1\\-2\end{pmatrix} }\end{matrix}\right. }

2.  Plaçons les points M , N  et P  sur la figure.

 Bac général spécialité maths 2023 Asie Jour 1 : image 10


3.  Montrons que les points M , N  et P  ne sont pas alignés.

Les vecteurs  \overrightarrow{MN}  et  \overrightarrow{MP}  ne sont pas colinéaires.

En effet,   \left\lbrace\begin{matrix}x_{ \overrightarrow{ MN } }=-1 \\ x_{ \overrightarrow{ MP } }=0\phantom{ w} \\ y_{ \overrightarrow{ MN } }=-\dfrac{1}{2}\\  \overset{ { \white{ . } } } { y_{ \overrightarrow{ MP } }=-1}\end{matrix}\right.\quad\Longrightarrow\quad \dfrac{x_{ \overrightarrow{ MP } }}{x_{ \overrightarrow{ MN } }}\neq \dfrac{y_{ \overrightarrow{ MP } }}{y_{ \overrightarrow{ MN } }} \quad\quad\left(\text{car }\dfrac{0}{-1}\neq\dfrac{-1}{-\dfrac{1}{2}}\right)

Par conséquent, les points M , N  et P  ne sont pas alignés et définissent donc le plan (MNP ).

4. a)  Calculons le produit scalaire  \overrightarrow{ MN }\cdot\overrightarrow{ MP }\,.

{\white{WWW}}\left\lbrace\begin{matrix}\overrightarrow{ MN }=\begin{pmatrix}-1\\-\dfrac{1}{2}\\ \overset{ { \phantom{ . } } } {\dfrac{1}{4} } \end{pmatrix} \\ \\ \overrightarrow{ MP }=\begin{pmatrix}0\\-1\\-2\end{pmatrix}\end{matrix}\right. \quad\Longrightarrow\quad\begin{matrix}\\ \\ \overrightarrow{ MN }\cdot\overrightarrow{ MP }=(-1)\times0-\dfrac{1}{2}\times(-1)+\dfrac{1}{4}\times(-2)\\=0+\dfrac{1}{2}-\dfrac{1}{2}\phantom{ WWiWWW }\\=0\phantom{ WWWwWWWWW }\end{matrix}  \\ \phantom{ WWWWWWWW }\Longrightarrow\quad\boxed{ \overrightarrow{ MN }\cdot \overrightarrow{ MP } = 0 }

D'où les vecteurs  \overrightarrow{ MN }  et  \overrightarrow{ MP }  sont orthogonaux.
Par conséquent, le triangle MNP  est rectangle en M .

4. b)  L'aire  \mathscr A  du triangle MNP  est donnée par  \mathscr A=\dfrac{MN\times MP}{2}\,.

\text{Or }\;\overrightarrow{ MN }=\begin{pmatrix}-1\\-\dfrac{1}{2}\\ \overset{ { \phantom{ . } } } {\dfrac{1}{4} } \end{pmatrix} \quad\Longrightarrow\quad MN=\sqrt{(-1)^2+\left(-\dfrac{ 1 }{2}\right)^2+\left(\dfrac{ 1 }{4}\right)^2 }  \\ \phantom{ WwWWWWWWWWWWWw }=\sqrt{1+\dfrac{ 1 }{4}+\dfrac{ 1 }{16} }  \\ \overset{ { \white{ . } } } { \phantom{ WWwWWWWWWWWWWw }=\sqrt{\dfrac{ 16+4+1 }{16} }=\sqrt{\dfrac{ 21 }{16} } } \\ \\ \Longrightarrow\quad\boxed{ MN=\dfrac{ \sqrt{ 21 } } { 4 } }

\text{et }\;\overrightarrow{ MP }=\begin{pmatrix}0\\-1\\-2\end{pmatrix} \quad\Longrightarrow\quad MP=\sqrt{0^2+(-1)^2+(-2)^2 }  \\ \phantom{ WWWWWWWWWWWWw }=\sqrt{0+1+4}  \\ \overset{ { \white{ . } } } { \phantom{ WWWWWWWWWWWWw }=\sqrt{5 } } \\ \\ \Longrightarrow\quad\boxed{ MP=\sqrt{ 5 } }

\text{D'où }\;\mathscr A=\dfrac{ MN\times MP } { 2 } \\ \overset{ { \white{ . } } } { \phantom{ WWW }=\dfrac{ \dfrac{ \sqrt{ 21 } } { 4 }\times \sqrt 5 } { 2 } } \\ \overset{ { \white{ . } } } { \phantom{ WWW }=\dfrac{  \sqrt{ 105 }  } { 8 } }

Par conséquent, l'aire du triangle MNP  est  \boxed{ \mathscr A=\dfrac{ \sqrt{ 105 } } { 8 } }

5. a)  Nous montrerons que le vecteur  \overrightarrow{ n }\ \begin{pmatrix}5\\-8\\4\end{pmatrix}  est un vecteur normal au plan (MNP ) en montrant que  \overrightarrow{ n }  est orthogonal à deux vecteurs non colinéaires du plan (MNP ).

Les vecteurs  \overrightarrow{ MN }  et  \overrightarrow{ MP }  ne sont pas colinéaires (voir question 3.).
De plus,

\left\lbrace\begin{matrix}\overrightarrow{ n }\ \begin{pmatrix}5\\-8\\4\end{pmatrix}\\ \overrightarrow{ MN }=\begin{pmatrix}-1\\-\dfrac{1}{2}\\ \overset{ { \phantom{ . } } } {\dfrac{1}{4} } \end{pmatrix}\end{matrix}\right. \quad\Longrightarrow\quad\begin{matrix}\\\overrightarrow{ n }\cdot\overrightarrow{ MN }=5\times(-1)-8\times\left(-\dfrac{1}{2}\right)+4\times\dfrac{1}{4}\\=-5+4+1\phantom{wwwwwww}\\=0\phantom{wwwWWWiwwwww}\end{matrix} \\\phantom{WWWWWwW}\Longrightarrow\quad\boxed{\overrightarrow{n}\perp\overrightarrow{MN}}

\left\lbrace\begin{matrix}\overrightarrow{ n }\ \begin{pmatrix}5 \\ -8 \\ 4\end{pmatrix}\\ \\ \overrightarrow{ MP }\ \begin{pmatrix}0\\-1\\-2\end{pmatrix}\end{matrix}\right.\quad\Longrightarrow\quad\begin{matrix} \\ \overrightarrow{n}\cdot\overrightarrow{MP}=5\times0-8\times(-1)+4\times(-2) \\ =0+8-8\phantom{ wwwwww }\\=0\phantom{ wwwwwiwwwww }\end{matrix} \\\phantom{WWWWWwW}\Longrightarrow\quad\boxed{\overrightarrow{ n} \perp\overrightarrow{MP}}

Le vecteur  \overrightarrow{n}  est orthogonal à deux vecteurs  \overrightarrow{MN}  et  \overrightarrow{MP}  non colinéaires du plan (MNP ).
Par conséquent, le vecteur  \overrightarrow{n}  est un vecteur normal au plan (MNP ).

5. b)  Déterminons une équation cartésienne du plan (MNP ).
Nous savons que tout plan de vecteur normal  \overrightarrow{n}\begin{pmatrix}a \\ b \\ c\end{pmatrix}   admet une équation cartésienne de la
forme :  ax   + by   + cz   + d   = 0.

Puisque le vecteur  \overrightarrow{n}\begin{pmatrix}5 \\ -8 \\ 4\end{pmatrix}   est normal au plan (MNP ), nous déduisons qu'une équation cartésienne du plan (MNP ) est de la forme : 5x - 8y + 4z + d   = 0.

Or le point  M(1\;;\;1\;;\;\dfrac{3}{4})  appartient au plan (MNP ).
Ses coordonnées vérifient l'équation du plan.
D'où 5 - 8 + 3 + d   = 0  , soit d   = 0.
Par conséquent, une équation cartésienne du plan (MNP ) est  \overset{{\white{.}}}{\boxed{5x-8y+4z=0}\,.}

6.  On rappelle que le point F  a pour coordonnées F (1 ; 0 ; 1).
Nous devons déterminer une représentation paramétrique de la droite d , orthogonale au plan (MNP ) et passant par le point F .

La droite d  est dirigée par le vecteur  \overset{ { \white{ . } } }{ \boxed{ \overrightarrow{ n }\begin{pmatrix}{ \red{ 5 } }\\ { \red{ -8 } }\\ { \red{ 4 } }\end{pmatrix} } }  .
La droite d  passe par le point  \overset{ { \white{ . } } }{ F({ \blue{ 1 } }\,;\,{ \blue{ 0 } }\,;\,{ \blue{ 1 } }). }
D'où une représentation paramétrique de la droite (d ) est donnée par :  \left\lbrace\begin{array}l x={ \blue{ 1 } }+{ \red{ 5 } }\times t\\y={ \blue{ 0 } }+{ \red{ (-8) } }\times t\\z={ \blue{ 1 } }+{ \red{ 4 } }\times t \end{array}\ \ \ (t\in\mathbb{ R })
soit \overset{ { \phantom{ . } } }{ \boxed{ d:\left\lbrace\begin{array}l x=1+5t\\y=-8t\\z=1+4t \end{array}\ \ \ (t\in\mathbb{ R }) } }

7.  On note L  le projeté orthogonal du point F  sur le plan (MNP ).

Nous devons en déduire que le point L  a pour coordonnées  \left(\dfrac 4 7 \;;\; \dfrac {24} {35} \;;\; \dfrac { 23 }{ 35 } \,\right)\;.

Par la définition du point L , nous déduisons que le point L  appartient à  \overset{ { \white{ . } } } { d\cap (MNP). }

{ \white{ wl } }\bullet { \white{ w } } Le point L  appartient à d .
Donc les coordonnées de L  sont de la forme  \overset{ { \white{ . } } }{  (1+5t\,;\,-8t\,;\,1+4t). }

{ \white{ wl } }\bullet { \white{ w } } Le point L  appartient au plan  \overset{ { \white{ . } } } { (MNP):5x-8y+4z=0 } .
Donc ses coordonnées vérifient l'équation de  \overset{ { \white{ . } } } { (MNP). } 
Nous obtenons ainsi :

5(1+5t)-8(-8t)+4(1+4t)=0\quad\Longleftrightarrow\quad 5+25t+64t+4+16t=0 \\ \phantom{ -(-t)+(8+t)+(2+t)-4=v0 }\quad\Longleftrightarrow\quad 105t+9=0 \\ \phantom{ -(-t)+(8+t)+(2+t)-4=v0 }\quad\Longleftrightarrow\quad 105=-9 \\ \phantom{ -(-t)+(8+t)+(2+t)-4=v0 }\quad\Longleftrightarrow\quad t=-\dfrac{ 9 }{ 105 }=-\dfrac{ 3 }{ 35 }

Remplaçons t  par  -\dfrac{ 3 }{ 35 }  dans les coordonnées de L .
(1+5t\,;\,-8t\,;\,1+4t)=\left(1+5\left(-\dfrac{3}{35}\right)\,;\,-8\left(-\dfrac{3}{35}\right)\,;\,1+4\left(-\dfrac{3}{35}\right)\right) \\ \\ \phantom{ WWWWWWWWi }=\left(1-\dfrac{3}{7}\,;\,\dfrac{24}{35}\,;\,1-\dfrac{12}{35}\right) \\ \\ \phantom{ WWWWWWWWi }=\left(\dfrac{4}{7}\,;\,\dfrac{24}{35}\,;\,\dfrac{23}{35}\right)
Par conséquent, le point L  a pour coordonnées  \left(\dfrac 4 7 \;;\; \dfrac {24} {35} \;;\; \dfrac { 23 }{ 35 } \,\right)\;.

8.  Nous devons montrer que  FL=\dfrac{3\sqrt{105}}{35}\,.

\overrightarrow{ FL }\ \begin{pmatrix}\dfrac 4 7-1\\ \overset{ { \white{ . } } }{ \dfrac { 24 } { 35 } -0 } \\ \overset{ { \white{ . } } }{ \dfrac{ 23 }{ 35 }-1 }\end{pmatrix}=\begin{pmatrix}-\dfrac 3 7\\ \overset{ { \white{ . } } }{ \dfrac { 24 } { 35 } }\\ \overset{ { \phantom{ . } } }{ -\dfrac { 12 } { 35 } }\end{pmatrix} \\ \\ \\ \Longrightarrow\quad FL=\sqrt{ \left(-\dfrac{ 3 }{ 7 }\right)^2+\left(\dfrac{ 24 } { 35 }\right)^2+\left(-\dfrac{ 12 }{ 35 }\right)^2 } \\ \overset{ { \phantom{ . } } }{ \phantom{ WWWW }=\sqrt{ \dfrac{ 9 } { 49 }+\dfrac{ 576 } { 1225 }+\dfrac{ 144 } { 1225 } } } \\ \overset{ { \phantom{ . } } }{ \phantom{ WWWW }=\sqrt{ \dfrac{ 27 } { 35 } } = 3\sqrt{ \dfrac{ 3 } { 35 } }= 3\sqrt{ \dfrac{ 3\times35 }{ 35\times35 } } } \\ \overset{ { \phantom{ . } } }{ \phantom{ WWWW }=\dfrac{ 3\sqrt{ 105 } } { 35 } }

D'où  \boxed{FL=\dfrac{ 3\sqrt{ 105 } } { 35 } } \,.

Nous devons en déduire le volume  \overset{ { \white{ . } } }{ \mathscr V_{ FMNP } }  du tétraèdre FMNP .

Rappelons que le volume d'un tétraèdre est donné par la formule  \dfrac 1 3 \times \text{  Aire de la base  } \times h  où h  est la hauteur relative à la base.

\mathscr V_{ FMNP }=\dfrac 1 3 \times \text{  Aire de }\,MNP \times FL \\ \\ \phantom{ WWW}=\dfrac 1 3 \times \dfrac{ \sqrt{ 105 }} {8}\times \dfrac{ 3 \sqrt{ 105 }}{ 35 }=\dfrac{ 105 }{ 8\times35 }=\dfrac{ 3\times35 }{ 8\times35 } \\ \\ \Longrightarrow\quad\boxed{ \mathscr V_{ FMNP }=\dfrac{ 3 }{ 8 }\text{  unités de volume } }

5 points

exercice 3

Soit k  un réel strictement positif.
Le but de cet exercice est de déterminer le nombre de solutions de l'équation  \overset{ { \white{ . } } } { \ln(x)=kx }  de paramètre k .

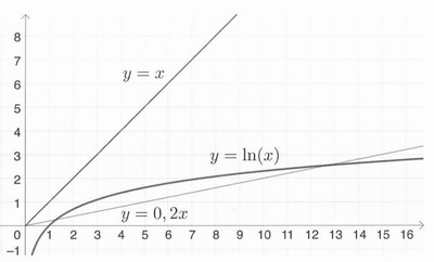
1.  Conjectures graphiques :

 Bac général spécialité maths 2023 Asie Jour 1 : image 9


Premier cas : k  = 1.
À l'aide du graphique, nous pouvons conjecturer que la droite d'équation y = x  n'a aucun point commun avec la courbe représentative de la fonction ln.
Dès lors, l'équation  \overset{ { \white{ . } } } { \ln(x)=x }  ne paraît pas admettre de solution.

Deuxième cas : k  = 0,2.
À l'aide du graphique, nous pouvons conjecturer que la droite d'équation y = 0,2x  possède deux points communs avec la courbe représentative de la fonction ln.
Dès lors, l'équation  \overset{ { \white{ . } } } { \ln(x)=0,2x }  paraît admettre deux solutions.

2.  Étude du cas k  = 1 :

On considère la fonction f  définie et dérivable sur ]0 ; +infini[ par :  \overset{ { \white{ . } } } { f(x)=\ln(x)-x\,. }

2. a)  Déterminons l'expression de f' (x ).

{\white{WWW}}f'(x)=\dfrac{1}{x}-1\quad\Longrightarrow\quad\boxed{  f'(x)=\dfrac{1-x}{x} }

2. b)  Étudions le signe de f' (x ) sur ]0 ; +infini[.

Puisque x est strictement positif, le signe de f' (x ) est le signe de 1 - x .

{\white{WWW}}\begin{matrix}1-x=0\Longleftrightarrow x=1\\ \\1-x<0\Longleftrightarrow x>1\\ \\1-x>0\Longleftrightarrow x<1\end{matrix}\phantom{WW}\begin{matrix}|\\|\\|\\|\\|\\|\\|\\|\\|\end{matrix}\phantom{WW}\begin{array} {|c|ccccccc|} \hline &&&&&&&& x &0&&&1&&&+\infty\\ &&&&&&& \\ \hline&|&&&&&&& 1-x&|& + && 0 & &- &\\&|&&&&&&\\ \hline&|&&&&&&\\ f'(x)&|&+&&0&&-&\\&|&&& &&&\\ \hline \end{array}

Dressons le tableau de variations de la fonction f  sur l'intervalle ]0 ; +infini[.
(Les limites aux bornes de l'intervalle de définition ne sont pas attendues).

{\white{WWWWW}}\begin{array} {|c|ccccccc|} \hline &&&&&&&& x &0&&&1&&&+\infty\\ &&&&&&& \\ \hline&||&&&&&&& f'(x)&||& + && 0 & &- &\\&||&&&&&&\\ \hline&||&&&-1&&&\\ f(x)&||&\nearrow&&&&\searrow&\\&||&&& &&&\\ \hline \end{array}

2. c)  Nous devons en déduire le nombre de solutions de l'équation  \overset{ { \white{ . } } } { \ln(x)=x\,. } 

Le tableau de variations de la fonction f  nous indique que f  admet un maximum égal à -1.
Dès lors, pour tout x appartenant à ]0 ; +infini[,

{\white{WWW}}f(x)\le-1\quad\Longrightarrow\quad f(x)<0 \\ \overset{ { \white{ . } } } { \phantom{f(x)\le-1}\quad\Longrightarrow\quad \ln(x)-x<0 } \\ \overset{ { \white{ . } } } { \phantom{f(x)\le-1}\quad\Longrightarrow\quad \boxed{ \ln(x)<x } }
Par conséquent, l'équation  \overset{ { \white{ . } } } { \ln(x)=x }  n'admet pas de solution.

3.  Étude du cas général :

k  est un nombre réel strictement positif.
On considère la fonction g définie sur ]0 ; +infini[ par :  \overset{ { \white{ . } } } { g(x)=\ln(x)-kx\,. }

On admet que le tableau des variations de la fonction g  est le suivant :

{\white{WWWWW}}\begin{array} {|c|ccccccc|} \hline &&&&&&&& x &0&&&\dfrac{1}{k}&&&+\infty\\ &&&&&&& \\ \hline&||&&&\overset{}{g(\frac{1}{k})}&&&\\ g(x)&||&\nearrow&&&&\searrow&\\&\phantom{ WW }||-\infty&&& &&&-\infty\\ \hline \end{array}

3. a)  Nous devons donner, en fonction du signe de  \overset{ { \white{ . } } } { g\left(\dfrac{1}{k}\right), }  le nombre de solutions de l'équation  \overset{ { \white{ . } } } {g(x)=0}.

Premier cas :  \overset{ { \white{ . } } } { g\left(\dfrac{1}{k}\right)<0 }
Le tableau de variations de la fonction g  nous indique que g  admet un maximum égal à  g\left(\dfrac{1}{k}\right)<0.
Par conséquent, l'équation  \overset{ { \white{ . } } } { g(x)=0 }  n'admet pas de solution.

Deuxième cas :  \overset{ { \white{ . } } } { g\left(\dfrac 1 k\right)=0 }
Le réel  \overset{ { \white{ . } } } { \dfrac 1 k }  est une solution évidente de l'équation  \overset{ { \white{ . } } } {g(x)=0}.
Puisque  \overset{ { \white{ . } } } {g\left(\dfrac 1 k\right)}  est l'unique maximum de la fonction g , pour tout réel x  différent de  \dfrac{1}{k} , nous avons :  \overset{ { \white{ . } } } { g(x)<g\left(\dfrac 1 k\right) } , soit  g(x)<0.
Par conséquent, l'équation  \overset{ { \white{ . } } } { g(x)=0 }  admet  \dfrac{1}{k}  comme solution unique.

Troisième cas :  \overset{ { \white{ . } } } { g\left(\dfrac{1}{k}\right)>0 }
{ \red{ \bullet } } { \white{ w } } Montrons que l'équation g (x ) = 0 admet une unique solution, notée alpha, sur l'intervalle  \overset{ { \white{ . } } }{ \left]0\;;\dfrac 1 k\,\right[\,. }
La fonction g  est continue sur l'intervalle  \overset{ { \white{ . } } }{ \left]0\;;\dfrac 1 k\,\right[ } car elle est dérivable sur cet intervalle.
La fonction f  est strictement croissante sur l'intervalle  \overset{ { \white{ . } } }{ \left]0\;;\dfrac 1 k\,\right[ }\,.

\left\lbrace\begin{matrix} \lim\limits_{ x\to0}g(x)=-\infty\phantom{ xx } \\ \overset{ { \white{ . } } } { g\left(\dfrac{1}{k}\right)>0\phantom{ ww } }\end{matrix}\right.\quad\Longrightarrow\quad  \boxed{ 0\in \;\left]\lim\limits_{ x\to0}g(x)\;;g\left(\dfrac{1}{k}\right)\right[ }

Selon le corollaire du théorème des valeurs intermédiaires, l'équation  \overset{ { \white{ . } } }{ g(x)=0 }  admet une unique solution notée  \overset{ { \white{ . } } }{ \alpha }  appartenant à l'intervalle  \overset{ { \white{ . } } }{ \left]0\;;\dfrac 1 k\,\right[\,. }.

{ \red{ \bullet } } { \white{ w } } Montrons que l'équation g (x ) = 0 admet une unique solution, notée beta, sur l'intervalle  \overset{ { \white{ . } } }{ \left[\dfrac 1 k\,;\,+\infty\right[\,. }

La fonction g  est continue sur l'intervalle  \overset{ { \white{ . } } }{ \left[\dfrac 1 k\,;\,+\infty\right[ } car elle est dérivable sur cet intervalle.
La fonction f  est strictement décroissante sur l'intervalle  \overset{ { \white{ . } } }{ \left[\dfrac 1 k\,;\,+\infty\right[\,. }

\left\lbrace\begin{matrix}g\left(\dfrac{1}{k}\right)>0\phantom{ ww } \\ \overset{ { \white{ . } } } {  \lim\limits_{ x\to+\infty}g(x)=-\infty\phantom{ xx }  }\\ \end{matrix}\right.\quad\Longrightarrow\quad  \boxed{ 0\in \;\left[g\left(\dfrac{1}{k}\right)\;;\;\lim\limits_{ x\to+\infty}g(x)\right[ }

Selon le corollaire du théorème des valeurs intermédiaires, l'équation  \overset{ { \white{ . } } }{ g(x)=0 }  admet une unique solution notée  \overset{ { \white{ . } } }{ \beta }  appartenant à l'intervalle  \overset{ { \white{ . } } }{ \left[\dfrac 1 k\,;\,+\infty\right[\,. }.

{ \red{ \bullet } } { \white{ w } } En conclusion, l'équation  \overset{ { \white{ . } } } { g(x)=0 }  admet deux solutions.

3. b)  Calculons  \overset{ { \white{ . } } } { g\left(\dfrac{1}{k}\right) }  en fonction de k .
{\white{WW}}g\left(\dfrac{1}{k}\right)=\ln\left(\dfrac{1}{k}\right)-k\times \dfrac{1}{k} \quad\Longrightarrow\quad\boxed{ g\left(\dfrac{1}{k}\right)=-\ln(k)-1 }

{ \red{ 3.\text{ c. } } }\; g\left(\dfrac{1}{k}\right)>0\quad\Longleftrightarrow\quad -\ln(k)-1>0 \\ \phantom{WWWWWWw }\quad\Longleftrightarrow\quad -\ln(k)>1 \\ \phantom{ { \red{ 3.\text{ c. } } }\; g\left(\dfrac{1}{k}\right)>0 }\quad\Longleftrightarrow\quad \ln(k)<-1 \\ \\ \text{ D'où }\;\boxed{ g\left(\dfrac{1}{k}\right)>0 \quad\Longleftrightarrow\quad \ln(k)<-1}

3. d)  Nous devons déterminer l'ensemble des valeurs de k  pour lesquelles l'équation  \overset{ { \white{ . } } }{ \ln(x)=kx }  possède exactement deux solutions.

L'équation  \overset{ { \white{ . } } }{ \ln(x)=kx }  peut également s'écrire  \overset{ { \white{ . } } }{ \ln(x)-kx=0 } , soit  \overset{ { \white{ . } } }{ g(x)=0. } 
Nous avons montré dans la question 3. a) que l'équation  \overset{ { \white{ . } } }{ g(x)=0 }  admet exactement deux solutions dans le cas où  \overset{ { \white{ . } } } { g\left(\dfrac{1}{k}\right)>0 } , c'est-à-dire dans le cas où : \overset{ { \white{ . } } } { \ln(k)<-1. }
Or  \overset{ { \white{ . } } } { \ln(k)<-1\quad\Longleftrightarrow\quad 0<k<\text{e}^{-1}.}

Par conséquent, l'ensemble des valeurs de k  pour lesquelles l'équation  \overset{ { \white{ . } } }{ \ln(x)=kx }  possède exactement deux solutions est l'intervalle  \overset{ { \white{ . } } } { \left]0\;;\;\text{e}^{ -1 }\right[.}

3. e)  En fonction des résultats de la question 3., nous pouvons déduire que :

\bullet { \white{ w } } l'équation  \overset{ { \white{ . } } }{ \ln(x)=kx }  n'admet pas de solution pour  \overset{ { \white{ . } } } {k\in\,]\,\text e ^{-1}\;;\;+\infty[}
\bullet { \white{ w } } l'équation  \overset{ { \white{ . } } }{ \ln(x)=kx }  admet une solution unique pour  k=\text e ^{-1}
\bullet { \white{ w } } l'équation  \overset{ { \white{ . } } }{ \ln(x)=kx }  admet deux solutions pour  \overset{ { \white{ . } } } { k\in\left]0\;;\;\text{e}^{ -1 }\right[.}

5 points

exercice 4

Une urne contient 15 billes indiscernables au toucher, numérotées de 1 à 15. Il y a donc équiprobabilité dans le tirage des billes.
La bille numérotée 1 est rouge.
Les billes numérotées 2 à 5 sont bleues.
Les autres billes sont vertes.

Question 1 : Quelle est la probabilité que la bille tirée soit bleue ou numérotée d'un nombre pair ? Réponse B.

Il y a 15 issues possibles.
La bille tirée est bleue ou numérotée d'un nombre pair, ce qui nous donne 9 issues favorables, à savoir les billes numérotées 2 , 3 , 4 , 5 , 6 , 8 , 10 , 12 , 14.
D'où, la probabilité demandée est égale à  \overset{ { \white{ . } } } {\dfrac{ 9 } { 15 }. }
Par conséquent, la proposition  {  \red{  \boxed{  \text{  B } } } }  est correcte.

Question 2 : Sachant que la bille tirée verte, quelle est la probabilité qu'elle soit numérotée 7 ? Réponse C.

Parmi les 10 billes vertes, une seule est numérotée 7.
D'où, la probabilité demandée est égale à  \overset{ { \white{ . } } } { \dfrac{ 1 } { 10 }. }
Par conséquent, la proposition  {  \red{  \boxed{  \text{  C } } } }  est correcte.

Question 3 : Que vaut  \overset{ { \white{ . } } } { P(G=5) }  ? Réponse B.

Ci-dessous un tableau reprenant les gains associés aux couleurs des billes.

\begin{array}{|c|c|c|c|c|c|c|c|c|c|c|c|c|c|c|c|c|}\hline \text{numéro}&1&2&3&4&5&6&7&8&9&10&11&12&13&14&15 \\\hline \text{couleur}&{\red{ R }}&{\blue{ B  } }&{\blue{ B  } }&{\blue{ B  } }&{\blue{ B  } }&V&V&V&V&V&V&V&V&V&V \\\hline \text{Gain }G&-10&-4&-1&2&5&-4&-3&-2&-1&0&1&2&3&4&5 \\\hline \end{array}

Nous observons que la variable aléatoire G  prend la valeur 5 dans deux cas parmi les 15 (lorsque la bille est numérotée 5 ou 15).
D'où,  \overset{ { \white{ . } } } {P(G=5)=\dfrac{2}{15}\,.}
Par conséquent, la proposition  {  \red{  \boxed{  \text{  B } } } }  est correcte.

Question 4 : Quelle est la valeur de  \overset{ { \white{ . } } } {P_R(G=0) }  ? Réponse A.

Le tableau repris à la question 3. montre que G  = 0 dans l'unique cas où la bille est numérotée 10.
Dans ce cas, cette bille est verte et non pas rouge.
Il n'est donc pas possible d'avoir un gain nul en tirant une boule rouge.
D'où,  \overset{ { \white{ . } } } {P_R(G=0)=0\,.}
Par conséquent, la proposition  {  \red{  \boxed{  \text{  A } } } }  est correcte.

Question 5 : Que vaut  \overset{ { \white{ . } } } { P_{ G=-4 }(V) }  ? Réponse C.

L'univers correspondant à l'événement (G = -4) comprend deux éléments : une boule bleue et une boule verte.
Dans cet univers, la probabilité de tirer une boule verte est donc égale à  \dfrac{1}{2}\,.
D'où,  \overset{ { \white{ . } } } { P_{ G=-4 }(V)=\dfrac{1}{2}\,.}
Par conséquent, la proposition  {  \red{  \boxed{  \text{  C } } } }  est correcte.

Merci à Hiphigenie et Malou pour avoir contribué à l'élaboration de cette fiche
Publié le
ceci n'est qu'un extrait
Pour visualiser la totalité des cours vous devez vous inscrire / connecter (GRATUIT)
Inscription Gratuite se connecter
Merci à
Hiphigenie
/
malou Webmaster
pour avoir contribué à l'élaboration de cette fiche


Vous devez être membre accéder à ce service...

Pas encore inscrit ?

1 compte par personne, multi-compte interdit !

Ou identifiez-vous :


Rester sur la page

Inscription gratuite

Fiches en rapport

parmi 1768 fiches de maths

Désolé, votre version d'Internet Explorer est plus que périmée ! Merci de le mettre à jour ou de télécharger Firefox ou Google Chrome pour utiliser le site. Votre ordinateur vous remerciera !