Fiche de mathématiques
> >

Baccalauréat Général Centres Etrangers 2023

Spécialité

Mathématiques

Jour 1

Partager :


Durée : 4 heures


L'usage de la calculatrice avec mode examen actif est autorisé.
L'usage de la calculatrice sans mémoire, « type collège » est autorisé.


Le candidat est invité à faire figurer sur la copie toute trace de recherche, même incomplète ou non fructueuse, qu'il aura développée.

La qualité de la rédaction, la clarté et la précision des raisonnements seront prises en compte dans l'appréciation de la copie. Les traces de recherche, même incomplètes ou infructueuses seront valorisées.

5 points

exercice 1 : QCM

Cet exercice est un questionnaire à choix multiples. Pour chaque question, une seule des quatre propositions est exacte. Indiquer sur la copie le numéro de la question et la lettre de la proposition choisie. Aucune justification n'est demandée.

Pour chaque question, une réponse exacte rapporte un point. Une réponse fausse, une réponse multiple ou l'absence de réponse ne rapporte ni n'enlève de point.

Bac général spécialité maths 2023 -Centres étrangers-jour 1 : image 34

Bac général spécialité maths 2023 -Centres étrangers-jour 1 : image 36

Bac général spécialité maths 2023 -Centres étrangers-jour 1 : image 33

Bac général spécialité maths 2023 -Centres étrangers-jour 1 : image 31

Bac général spécialité maths 2023 -Centres étrangers-jour 1 : image 30


6 points

exercice 2

Les deux parties de cet exercice sont indépendantes.

Bac général spécialité maths 2023 -Centres étrangers-jour 1 : image 40

Bac général spécialité maths 2023 -Centres étrangers-jour 1 : image 35

Bac général spécialité maths 2023 -Centres étrangers-jour 1 : image 41


6 points

exercice 3

Bac général spécialité maths 2023 -Centres étrangers-jour 1 : image 39

Bac général spécialité maths 2023 -Centres étrangers-jour 1 : image 38


3 points

exercice 4

Bac général spécialité maths 2023 -Centres étrangers-jour 1 : image 43





Bac général spécialité maths 2023 -Centres étrangers-jour 1

Partager :



5 points

exercice 1 : QCM

Question 1 : Réponse c.
On considère la suite numérique (un ) définie pour tout n  entier naturel par  \overset{ { \white{ . } } }{ u_n=\dfrac{ 1+2^n }{ 3+5^n }\;. }
Cette suite converge vers 0.

{ \white{ xxx } } u_n=\dfrac{ 1+2^n }{ 3+5^n } \\ \overset{ { \white{ . } } }{ \phantom{ u_n }=\dfrac{ 2^n\left(\dfrac{ 1 }{ 2^n }+1\right) }{ 5^n\left(\dfrac{ 3 }{ 5^n }+1\right) } } \\ \overset{ { \white{ . } } }{ \phantom{ u_n }=\dfrac{ 2^n }{ 5^n }\times\dfrac{ \dfrac{ 1 }{ 2^n }+1 }{ \dfrac{ 3 }{ 5^n }+1 } } \\ \\ \Longrightarrow\quad\boxed{ u_n=\left(\dfrac{ 2 }{ 5 }\right)^n\times\dfrac{ \dfrac{ 1 }{ 2^n }+1 }{ \dfrac{ 3 }{ 5^n }+1 } }

\text{ Or  }\;\left\lbrace\begin{matrix}\lim\limits_{ n\to+\infty }\left(\dfrac{ 2 }{ 5 }\right)^n=0\quad\text{ car  }0<\dfrac{ 2 }{ 5 }<1\\ \overset{ { \white{ . } } }{ \lim\limits_{ n\to+\infty }\left(\dfrac{ 1 }{ 2^n }+1\right)=0+1=1\phantom{ www } }\\ \overset{ { \white{ . } } }{ \lim\limits_{ n\to+\infty }\left(\dfrac{ 1 }{ 5^n }+1\right)=0+1=1\phantom{ www } }\end{matrix}\right. \\ \\ \text{ D'où  }\;\lim\limits_{ n\to+\infty }\left[\left(\dfrac{ 2 }{ 5 }\right)^n\times\dfrac{ \dfrac{ 1 }{ 2^n }+1 }{ \dfrac{ 3 }{ 5^n }+1 }\right]=0\times\dfrac{ 1 }{ 1 }=0 \\ \\ \Longrightarrow\quad\boxed{ \lim\limits_{ n\to+\infty }u_n=0 }

Par conséquent, la proposition  \overset{ { \white{ . } } }{ { \red{ \boxed{ \text{ c } } } } }  est correcte.

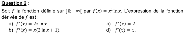
Question 2 : Réponse b.
Soit f  la fonction définie sur ]0 ; +infini[ par  \overset{ { \white{ . } } }{ f(x)=x^2\ln x\,. }
L'expression de la fonction dérivée de f  est  \overset{ { \white{ . } } }{ { \red{ f'(x)=x(2\ln x+1)\,. } } }

{ \white{ xxx } } f\,'(x)=(x^2)'\times\ln x+x^2\times(\ln x)' \\ \overset{ { \white{ . } } }{ \phantom{ f\,'(x) }=2x\times\ln x+x^2\times\dfrac{ 1 }{ x } } \\ \overset{ { \white{ . } } }{ \phantom{ f\,'(x) }=2x\ln x+x } \\ \overset{ { \white{ . } } }{ \phantom{ f\,'(x) }=x(2\ln x+1) } \\ \\ \Longrightarrow\boxed{  f\,'(x)=x(2\ln x+1) }
Par conséquent, la proposition  {  \red{  \boxed{  \text{  b } } } }  est correcte.

Question 3 : Réponse a.
On considère une fonction h  définie et continue sur  \R  dont le tableau de variation est donné ci-dessous :

 {  \white{  xxxxxx } }\begin{array} {|c|ccccccc|} \hline &&&&&&&& x &-\infty&&&1&&& +\infty\\ &&&&&&& \\ \hline&&&&&&&+\infty\\ \text{  Variations de  }h&&\nearrow&&0 &&\nearrow&\\&-\infty&&&&&&\\ \hline \end{array}

On note H  la primitive de h  définie sur  \R  qui s'annule en 0.
Elle vérifie la propriété : H  positive sur  \overset{  {  \white{  . } } }{  {  \red{  ]-\infty\,;\,0]\,. } } }

En effet,
H  la primitive de h  définie sur  \R signifie que pour tout x  réel,  \overset{  {  \white{  . } } }{  H'(x)=h(x). }
Or le tableau de variation de h  sur  \R  nous montre que  \overset{  {  \white{  . } } }{  h(x)<0 }  pour tout x  dans l'intervalle ]-infini ; 1[.

Dès lors,  \overset{  {  \white{  . } } }{  h(x)<0 }  pour tout x  dans l'intervalle ]-infini ; 0], soit  \overset{  {  \white{  . } } }{  H'(x)<0 }  pour tout x  dans l'intervalle ]-infini ; 0]. 
Il s'ensuit que la fonction H  est décroissante sur l'intervalle ]-infini ; 0].

En appliquant la définition de décroissance, nous obtenons :

\forall\,x\in\;]-\infty\,;\,0\,],\;x\le0\quad\Longrightarrow\quad H(x)\ge H(0)

Or H (0)=0  (voir énoncé) .

D'où,  \overset{  {  \white{  . } } }{  \boxed{  \forall\,x\in\;]-\infty\,;\,0\,],\;H(x)\ge 0 } }
Par conséquent, la proposition  {  \red{  \boxed{  \text{  a } } } }  est correcte.

Question 4 : Réponse d.
L'ensemble des instructions et des données représentant cet algorithme de dichotomie peut se traduire comme suit :

{  \white{  xxx } } \text{  Tant que  }|b-a|\ge0,001 \\ \overset{  {  \white{  . } } }{  \quad\quad m\leftarrow \dfrac{  a+b }{  2 } } \\ \overset{  {  \white{  . } } }{  \quad\quad\text{  Si  }f(m)<0 } \\ \overset{  {  \white{  . } } }{  \quad\quad\quad\quad a \leftarrow m }  \\ \overset{  {  \phantom{  . } } }{  \quad\quad\text{  sinon  } } \\ \overset{  {  \phantom{  . } } }{  \quad\quad\quad\quad b \leftarrow m }  \\ \overset{  {  \phantom{  . } } }{  \quad\quad\text{  fin si  } } \\ \overset{  {  \phantom{  . } } }{  \text{  Afficher  }m }

Par conséquent, la proposition  {  \red{  \boxed{  \text{  d } } } }  est correcte.

Question 5 : Réponse d.
Une urne contient 10 boules indiscernables au toucher dont 7 sont bleues et les autres vertes. On effectue trois tirages successifs avec remise.
La probabilité d'obtenir exactement deux boules vertes est :  \overset{  {  \white{  . } } }{  {  \red{  \begin{pmatrix}3\\2\end{pmatrix}\times\left(\dfrac{  7 }{  10 }\right)\times\left(\dfrac{  3 }{  10 }\right)^2 } } }

Lors de cette expérience, on répète 3 fois des épreuves identiques et indépendantes.
Chaque épreuve comporte deux issues :
Succès : « la boule est verte » dont la probabilité est  p=\dfrac{  3 }{  10 }
Echec : « la boule n'est pas verte » dont la probabilité est  1-p=\dfrac{  7 }{  10 }
La variable aléatoire X  compte le nombre de boules vertes parmi les 3 tirages, soit le nombre de succès à la fin de la répétition des épreuves.
D'où la variable aléatoire X  suit une loi binomiale  \overset{  {  \white{  . } } }{  \mathscr{  B }(3\,;\,\dfrac{  3 }{  10 }) } .
Cette loi est donnée par :

\boxed{  P(X=k)=\begin{pmatrix}3\\k\end{pmatrix}\times\left(\dfrac{  3 }{  10 }\right)^k\times\left(\dfrac{  7 }{  10 }\right)^{  3-k } }

Nous devons calculer la probabilité d'obtenir exactement deux boules vertes, soit P (X = 2).

{  \white{  xxx } } P(X=2)=\begin{pmatrix}3\\2\end{pmatrix}\times\left(\dfrac{  3 }{  10 }\right)^2\times\left(\dfrac{  7 }{  10 }\right) \\ \\ \Longrightarrow \quad\boxed{  P(X=2)=\begin{pmatrix}3\\2\end{pmatrix}\times\left(\dfrac{  7 }{  10 }\right)\times\left(\dfrac{  3 }{  10 }\right)^2 }
Par conséquent, la proposition  {  \red{  \boxed{  \text{  d } } } }  est correcte.

6 points

exercice 2

Partie A

Soit n  un entier naturel. On note Bn  l'événement "la trottinette est en bon état n  semaines après sa mise en service" et pn  la probabilité de Bn .

1.  Nous savons que lors de sa mise en service, la trottinette est en bon état, soit que  \overset{  {  \white{  . } } }{  p_0=1. }

Nous savons également que lorsqu'une trottinette est en bon état un certain jour, la probabilité qu'elle soit encore en bon état une semaine après ce jour est égale à 0,9.
Donc  \overset{  {  \white{  . } } }{  \boxed{  p_1=0,9 }. }
De plus, lorsqu'une trottinette est en mauvais état un certain jour, la probabilité qu'elle soit en bon état une semaine après ce jour est égale à 0,4.

Nous obtenons ainsi l'arbre pondéré ci-dessous :

Bac général spécialité maths 2023 -Centres étrangers-jour 1 : image 47


Calculons  p_2=p(B_2).

Les événements  \overset{  {  \white{  . } } }{  B_1 }  et  \overline{  B_1 }  forment une partition de l'univers.
En utilisant la formule des probabilités totales, nous obtenons :

p(B_2)=p(B_1\cap B_2)+p(\overline{  B_1 }\cap B_2) \\ \overset{  {  \white{  . } } }{  \phantom{  p(B_2) }=p(B_1)\times p_{  B_1 }(B_2)+p(\overline{  B_1 })\times p_{  \overline{  B_1 } }(B_2) } \\ \overset{  {  \white{  . } } }{  \phantom{  p(B_2) }=0,9\times 0,9+0,1\times 0,4 } \\ \overset{  {  \white{  . } } }{  \phantom{  p(B_2) }=0,81+0,04 }
\\ \overset{  {  \white{  . } } }{  \phantom{  p(B_2) }=0,85 } \\ \\ \Longrightarrow\quad\boxed{  p_2=p(B_2)=0,85 }

2.  Arbre pondéré complété.

Bac général spécialité maths 2023 -Centres étrangers-jour 1 : image 46


3.  Pour tout entier naturel n , les événements  \overset{  {  \white{  . } } }{  B_n }  et  \overline{  B_n }  forment une partition de l'univers.
En utilisant la formule des probabilités totales, nous obtenons :

p(B_{  n+1 })=p(B_n\cap B_{  n+1 })+p(\overline{  B_n }\cap B_{  n+1 }) \\ \overset{  {  \white{  . } } }{  \phantom{  p(B_{  n+1 }) }=p(B_n)\times p_{  B_n }(B_{  n+1 })+p(\overline{  B_n })\times p_{  \overline{  B_n } }(B_{  n+1 }) } \\ \overset{  {  \white{  . } } }{  \phantom{ p(B_{ n+1 }) }=p_n\times 0,9+(1-p_n)\times 0,4 } \\ \overset{ { \white{ . } } }{ \phantom{ p(B_{ n+1 }) }=0,9p_n+0,4-0,4p_n }
\\ \overset{ { \white{ . } } }{ \phantom{ p(B_{ n+1 }) }=0,5p_n+0,4 } \\ \\ \Longrightarrow\quad\boxed{ p_{ n+1 }=p(B_{ n+1 })=0,5p_n+0,4 }

4. a)  Nous devons démontrer par récurrence que pour tout entier naturel n ,  \overset{ { \white{ . } } }{ p_n\ge0,8 \;. }

Initialisation  : Montrons que la propriété est vraie pour n  = 0, soit que   \overset{ { \white{ . } } }{ p_0\ge0,8 \;. }
C'est une évidence car  \overset{ { \white{ . } } }{ p_0=1\quad\Longrightarrow\quad p_0\ge0,8. }
Donc l'initialisation est vraie.

Hérédité  : Montrons que si pour un nombre naturel n  fixé, la propriété est vraie au rang n , alors elle est encore vraie au rang (n +1).
Montrons donc que si pour un nombre naturel n  fixé,  \overset{ { \white{ . } } }{ p_n\ge0,8 } , alors  \overset{ { \white{ . } } }{ p_{ n+1 }\ge0,8 \;. }
En effet,  

\forall\,n\in\N,\;p_n\ge0,8\quad\Longrightarrow\quad 0,5\times p_n\ge0,5\times0,8 \\ \overset{ { \white{ . } } }{ \phantom{ \forall\,n\in\N,\;p_n\ge0,8 }\quad\Longrightarrow\quad0,5p_n\ge0,4 } \\ \overset{ { \white{ . } } }{ \phantom{ \forall\,n\in\N,\;p_n\ge0,8 }\quad\Longrightarrow\quad0,5p_n+0,4\ge0,4+0,4 } \\ \overset{ { \white{ . } } }{ \phantom{ \forall\,n\in\N,\;p_n\ge0,8 }\quad\Longrightarrow\quad p_{ n+1 }\ge0,8 }
L'hérédité est vraie.

Puisque l'initialisation et l'hérédité sont vraies, nous avons montré par récurrence que  \overset{ { \white{ . } } }{ \boxed{ \forall n\in\N\text{  ;  }p_n\ge0,8  } }\;.

4. b)  Vu que pour tout entier naturel n  ,  \overset{ { \white{ . } } }{ p_n\ge0,8 }, l'entreprise peut faire valoir qu'à chaque instant, au moins 80% des trottinettes sont en bon état.

5. a)  On considère la suite (un ) définie pour tout entier naturel n  par  \overset{ { \white{ . } } } { u_n=p_n-0,8. }

Montrons que la suite (un ) est une suite géométrique.
Pour tout entier naturel n  ,

{ \white{ xxx } }u_{ n+1 }=p_{ n+1 }-0,8  \\ \overset{ { \white{ . } } }{ \phantom{ u_{ n+1 } }=(0,5p_n+0,4)-0,8 }  \\ \overset{ { \white{ . } } }{ \phantom{ u_{ n+1 } }=0,5p_n-0,4 }  \\ \overset{ { \phantom{ . } } }{ \phantom{ u_{ n+1 } }=0,5p_n-0,5\times0,8 }  \\ \overset{ { \white{ . } } }{ \phantom{ u_{ n+1 } }=0,5(p_n-0,8) }  \\ \overset{ { \phantom{ . } } }{ \phantom{ u_{ n+1 } }=0,5u_n } \\ \\ \Longrightarrow\boxed{ \forall\ n\in\N, \ u_{ n+1 }=0,5u_n }

\\ \\ \underline{  \text{ Remarque } }:u_0=p_0-0,8=1-0,8=0,2 \\ \overset{ { \phantom{ . } } }{ \phantom{ WWWWv }\Longrightarrow\boxed{ u_0=0,2 } }

Par conséquent, la suite (un ) est une suite géométrique de raison q  = 0,5 dont le premier terme est u 0 = 0,2.

5. b)  Le terme général de la suite (un ) est \overset{ { \white{ . } } }{ u_n=u_0\times q^n } .
Donc, pour tout entier naturel n  ,  \overset{ { \white{ . } } }{ \boxed{ u_n=0,2\times 0,5^n } }
Dès lors,

\forall\ n\in\N, \left\lbrace\begin{matrix}u_n=p_n-0,8{ \white{ w } }\\u_n=0,2\times 0,5^n\end{matrix}\right.{ \white{ wwww } }\Longrightarrow{ \white{ ww } } p_n-0,8=0,2\times 0,5^n \\ { \phantom{ WWWWWWwWWWWWWWW } }\Longrightarrow\boxed{ \forall\ n\in\N,\ p_n=0,2\times 0,5^n+0,8 }

5. c)  Nous devons calculer  \overset{ { \white{ \frac{ . }{  } } } }{ \lim\limits_{ n\to +\infty } p_n\;. }

0<0,5<1\quad\Longrightarrow\quad\lim\limits_{ n\to+\infty }0,5^n=0 \\ \overset{ { \white{ . } } }{ \phantom{ 0<0,5<1 }\quad\Longrightarrow\quad\lim\limits_{ n\to+\infty }0,2\times0,5^n=0 } \\ \overset{ { \white{ . } } }{ \phantom{ 0<0,5<1 }\quad\Longrightarrow\quad\lim\limits_{ n\to+\infty }(0,2\times0,5^n+0,8)=0,8 } \\ \\ \text{ D'où  }\;\boxed{ \lim\limits_{ n\to+\infty }p_n=0,8 }\,.

Partie B

1.  Lors de cette expérience, on répète 15 fois des épreuves identiques et indépendantes.
Chaque épreuve comporte deux issues :
Succès : « la trottinette est en bon état » dont la probabilité est p = 0,8.
Echec : « la trottinette est en mauvais état » dont la probabilité est 1 - p = 1 - 0,8 = 0,2.
La variable aléatoire X  compte le nombre de trottinettes en bon état parmi les 15 trottinettes prélevées, soit le nombre de succès à la fin de la répétition des épreuves.
D'où la variable aléatoire X  suit une loi binomiale  \overset{ { \white{ . } } }{ \mathscr{ B }(15\,;\,0,8) } .
Cette loi est donnée par :

\boxed{ P(X=k)=\begin{pmatrix}15\\k\end{pmatrix}\times0,8^k\times0,2^{ 15-k } }


2  Nous devons calculer la probabilité que les 15 trottinettes soient en bon état, soit P (X = 15).

P(X=15)=\begin{pmatrix}15\\15\end{pmatrix}\times0,8^{ 15 }\times0,2^{ 15-15 } \\ \overset{ { \white{ . } } }{ \phantom{ P(X=15) }=1\times0,8^{ 15 }\times1 } \\ \overset{ { \white{ . } } }{ \phantom{ P(X=15) }=0,8^{ 15 } } \\ \overset{ { \white{ . } } }{ \phantom{ P(X=15) }\approx0,035 } \\ \\ \Longrightarrow\quad\boxed{ P(X=15)=0,8^{ 15 }\approx0,035 }
Par conséquent, la probabilité que les 15 trottinettes soient en bon état est égale à  \overset{ { \white{ . } } }{ 0,8^{ 15 }\approx0,035. }

3.  Nous devons calculer la probabilité que, dans le lot de 15 trottinettes, au moins 10 d'entre elles soient en bon état, soit P (X supegal 10).

P(X\ge10)=1-P(X<10) \\ \overset{ { \white{ . } } }{ \phantom{ P(X\ge10) }=1-P(X\le9) } \\ \overset{ { \phantom{ . } } }{ \phantom{ P(X\ge10) }\approx1-0,061 } \\ \overset{ { \white{ . } } }{ \phantom{ P(X\ge10) }\approx0,939 } \\ \\ \Longrightarrow\quad\boxed{ P(X\ge10)\approx0,939 }
Par conséquent, la probabilité que, dans le lot de 15 trottinettes, au moins 10 d'entre elles soient en bon état est environ égale à 0,939.

4.  On admet que  \overset{ { \white{ . } } }{ E(X)=12. }

Dès lors, en moyenne, sur un grand lot de 15 trottinettes, 12 d'entre elles sont en bon état dans un lot de 15.

6 points

exercice 3

On considère le prisme droit ABFEDCGH  ci-dessous de base ABFE , trapèze rectangle en A .
On associe à ce prisme le repère orthonormé  (A\,;\,\vec i\,,\,\vec j\,,\,\vec k)  tel que :

\vec i=\dfrac{ 1 }{ 4 }\overrightarrow{ AB }\,;\,\vec j=\dfrac{ 1 }{ 4 }\overrightarrow{ AD }\;;\,\vec k=\dfrac{ 1 }{ 8 }\overrightarrow{ AE }\,.

De plus, on a  \overrightarrow{ BF }=\dfrac{ 1 }{ 2 }\overrightarrow{ AE }\,.
On note I  le milieu du segment [EF ].
On note J  le milieu du segment [AE ].

Bac général spécialité maths 2023 -Centres étrangers-jour 1 : image 44


1.  Calculons les coordonnées des points I  et J .

Coordonnées du point I 

Le point I  est le milieu du segment [EF ].

\bullet{ \white{ x } }Calculons les coordonnées du point E .

{ \white{ xxx } }\vec k=\dfrac{ 1 }{ 8 }\overrightarrow{ AE }\quad\Longrightarrow\quad\overrightarrow{ AE }=8\vec k.
Donc les coordonnées du point E  sont (0 ; 0 ; 8).

\bullet{ \white{ x } }Calculons les coordonnées du point F .

{ \white{ xxx } }\overset{ { \white{ . } } }{  \vec i=\dfrac{ 1 }{ 4 }\overrightarrow{ AB }\quad\Longrightarrow\quad\overrightarrow{ AB }=4\vec i. }
Donc les coordonnées du point B  sont (4 ; 0 ; 0).

Or nous savons que  \overrightarrow{ BF }=\dfrac{ 1 }{ 2 }\overrightarrow{ AE }\,.
Nous en déduisons les coordonnées du point F .

\overrightarrow{ BF }=\dfrac{ 1 }{ 2 }\overrightarrow{ AE }\quad\Longleftrightarrow\quad \begin{pmatrix}x_F-4\\y_F-0\\z_F-0\end{pmatrix}=\dfrac{ 1 }{ 2 }\begin{pmatrix}0\\0\\8\end{pmatrix} \\ \overset{ { \white{ . } } }{ \phantom{ WWwWW }\quad\Longleftrightarrow\quad\left\lbrace\begin{matrix}x_F-4=0\\y_F=0\phantom{ XX }\\z_F=4\phantom{ XX }\end{matrix}\right.  } \\ \overset{ { \white{ . } } }{ \phantom{ WWwWW }\quad\Longleftrightarrow\quad\left\lbrace\begin{matrix}x_F=4\\y_F=0\\z_F=4\end{matrix}\right.  }
Donc les coordonnées du point F  sont (4 ; 0 ; 4).

\bullet{ \white{ x } }Dès lors sachant que I  est le milieu du segment [EF ], nous obtenons :

(x_I\;;\;y_I\;;\;z_I)=\left(\dfrac{ x_E+x_F }{ 2 }\;;\dfrac{ y_E+y_F }{ 2 }\;;\dfrac{ z_E+z_F }{ 2 }\right) \\ \overset{ { \white{ . } } }{  \phantom{ (x_I\;;\;y_I\;;\;z_I) }=\left(\dfrac{ 0+4 }{ 2 }\;;\dfrac{ 0+0 }{ 2 }\;;\dfrac{ 8+4 }{ 2 }\right) } \\ \overset{ { \white{ . } } }{  \phantom{ (x_I\;;\;y_I\;;\;z_I) }=\left(2\;;0\;;6\right) }

Par conséquent, les coordonnées du point I  sont (2 ; 0 ; 6).

Coordonnées du point J 

Le point J  est le milieu du segment [AE ].

\text{ Donc  }\,(x_J\;;\;y_J\;;\;z_J)=\left(\dfrac{ x_A+x_E }{ 2 }\;;\dfrac{ y_A+y_E }{ 2 }\;;\dfrac{ z_A+z_E }{ 2 }\right) \\ \overset{ { \white{ . } } }{  \phantom{ \text{ Donc  }\,(x_J\;;\;y_J\;;\;z_J) }=\left(\dfrac{ 0+0 }{ 2 }\;;\dfrac{ 0+0 }{ 2 }\;;\dfrac{ 0+8 }{ 2 }\right) } \\ \overset{ { \white{ . } } }{  \phantom{ \text{ Donc  }\,(x_J\;;\;y_J\;;\;z_J) }=\left(0\;;0\;;4\right) }

Par conséquent, les coordonnées du point J  sont (0 ; 0 ; 4).

2.  Soit  \overset{ { \white{ . } } }{ \overrightarrow{ n } }  le vecteur de coordonnées  \overset{ { \white{ . } } }{\begin{pmatrix}-1\\1\\1\end{pmatrix} }\,.

2. a)  Nous allons montrer que le vecteur  \overset{ { \white{ . } } }{ \overrightarrow{ n } }  est normal au plan (IGJ ) en montrant que  \overrightarrow{ n }  est orthogonal à deux vecteurs non colinéaires du plan (IGJ ).

Nous avons : I (2 ; 0 ; 6) , J (0 ; 0 ; 4) et G (4 ; 4 ; 4).

Dès lors,  \overset{ { \white{ . } } }{ \left\lbrace\begin{matrix}\overrightarrow{ IJ }\ \begin{pmatrix}0-2\\0-0\\4-6\end{pmatrix}=\begin{pmatrix}-2\\0\\-2\end{pmatrix}\\ \\ \overrightarrow{ IG }\ \begin{pmatrix}4-2\\4-0\\4-6\end{pmatrix}=\begin{pmatrix}2\\4\\-2\end{pmatrix}\end{matrix}\right. }

Les vecteurs  \overrightarrow{ IJ }  et  \overrightarrow{ IG }  ne sont manifestement pas colinéaires.
De plus,

\left\lbrace\begin{matrix}\overrightarrow{ n }\ \begin{pmatrix}-1\\1\\1\end{pmatrix}\\ \\ \overrightarrow{ IJ }\begin{pmatrix}-2\\0\\-2\end{pmatrix}\end{matrix}\right.\quad\Longrightarrow\quad\begin{matrix}\\ \\ \overrightarrow{ n }\cdot\overrightarrow{ IJ }=(-1)\times(-2)+1\times0+1\times(-2)\\=2-2\phantom{ WWWWWWWW }\\=0\phantom{ WWWwWWWWWW }\end{matrix} \\ \phantom{ WWWWWW }\Longrightarrow\boxed{ \overrightarrow{ n }\perp\overrightarrow{ IJ } }

\left\lbrace\begin{matrix}\overrightarrow{ n }\ \begin{pmatrix}-1\\1\\1\end{pmatrix}\\ \\ \overrightarrow{ IG }\begin{pmatrix}2\\4\\-2\end{pmatrix}\end{matrix}\right.\quad\Longrightarrow\quad\begin{matrix}\\ \\ \overrightarrow{ n }\cdot\overrightarrow{ IG }=(-1)\times2+1\times4+1\times(-2)\\=-2+4-2\phantom{ WWWW }\\=0\phantom{ WWWwWWWW }\end{matrix} \\ \phantom{ WWWWWW }\Longrightarrow\boxed{ \overrightarrow{ n }\perp\overrightarrow{ IG } }

Le vecteur  \overrightarrow{ n }  est orthogonal à deux vecteurs  \overrightarrow{ IJ }  et  \overrightarrow{ IG }  non colinéaires du plan (IGJ ).
Par conséquent, le vecteur  \overrightarrow{ n }  est un vecteur normal au plan (IGJ ).

2. b)  Déterminons une équation du plan (IGJ ).
Nous savons que tout plan de vecteur normal  \overset{ { \white{ . } } } { \overrightarrow{ n }\begin{pmatrix}a\\b\\c\end{pmatrix} }   admet une équation cartésienne de la
forme :  ax   + by   + cz   + d   = 0.

Puisque le vecteur  \overset{ { \white{ . } } } { \overrightarrow{ n }\begin{pmatrix}-1\\1\\1\end{pmatrix} }   est normal au plan (IGJ ), nous déduisons qu'une équation cartésienne du plan (IGJ) est de la forme : -x + y + z + d = 0.

Or le point J (0 ; 0 ; 4) appartient au plan (IGJ ).
Ses coordonnées vérifient l'équation du plan.
D'où 0 + 0 + 4 + d  = 0  , soit d  = -4.
Par conséquent, une équation cartésienne du plan (IGJ ) est  \overset{ { \white{ . } } }{ \boxed{ -x+y+z-4=0 }\,. }

3.  Nous devons déterminer une représentation paramétrique de la droite d , perpendiculaire au plan (IGJ ) et passant par H .

La droite d  est dirigée par le vecteur  \overset{ { \white{ . } } }{ \boxed{ \overrightarrow{ n }\begin{pmatrix}{ \red{ -1 } }\\ { \red{ 1 } }\\ { \red{ 1 } }\end{pmatrix} } }  .
La droite d  passe par le point  \overset{ { \white{ . } } }{ H({ \blue{ 0 } }\,;\,{ \blue{ 4 } }\,;\,{ \blue{ 8 } }). }
D'où une représentation paramétrique de la droite (d ) est donnée par :  \left\lbrace\begin{array}l x={ \blue{ 0 } }+{ \red{ (-1) } }\times t\\y={ \blue{ 4 } }+{ \red{ 1 } }\times t\\z={ \blue{ 8 } }+{ \red{ 1 } }\times t \end{array}\ \ \ (t\in\mathbb{ R })
soit \overset{ { \phantom{ . } } }{ \boxed{ d:\left\lbrace\begin{array}l x=-t\\y=4+t\\z=8+t \end{array}\ \ \ (t\in\mathbb{ R }) } }

4.  On note L  le projeté orthogonal du point H  sur le plan (IGJ ).

Nous devons en déduire que le point L  a pour coordonnées  \left(\dfrac 8 3 \;;\; \dfrac 4 3 \;;\; \dfrac { 16 }{ 3 } \,\right)\;.

Par la définition du point L , nous déduisons que le point L  appartient à  \overset{ { \white{ . } } } { d\cap (IGJ). }

{ \white{ wl } }\bullet { \white{ w } } Le point L  appartient à d .
Donc les coordonnées de L  sont de la forme  \overset{ { \white{ . } } }{  (-t\,;\,4+t\,;\,8+t). }

{ \white{ wl } }\bullet { \white{ w } } Le point L  appartient au plan  \overset{ { \white{ . } } } { (IGJ):-x+y+z-4=0 } .
Donc ses coordonnées vérifient l'équation de  \overset{ { \white{ . } } } { (IGJ). } 
Nous obtenons ainsi :

-(-t)+(4+t)+(8+t)-4=0\quad\Longleftrightarrow\quad t+12+2t-4=0 \\ \phantom{ -(-t)+(8+t)+(2+t)-4=0 }\quad\Longleftrightarrow\quad 3t+8=0 \\ \phantom{ -(-t)+(8+t)+(2+t)-4=0 }\quad\Longleftrightarrow\quad 3t=-8 \\ \phantom{ -(-t)+(8+t)+(2+t)-4=0 }\quad\Longleftrightarrow\quad t=-\dfrac{ 8 }{ 3 }

Remplaçons t  par  -\dfrac{ 8 }{ 3 }  dans les coordonnées de L .
(-t\,;\,4+t\,;\,8+t)=\left(\dfrac{ 8 }{ 3 }\,;\,4-\dfrac{ 8 }{ 3 }\,;\,8-\dfrac{ 8 }{ 3 }\right) \\ \\ \phantom{ WWWWWWWW }=\left(\dfrac{ 8 }{ 3 }\,;\,\dfrac{ 4 }{ 3 }\,;\,\dfrac{ 16 }{ 3 }\right)
Par conséquent, le point L  a pour coordonnées  \left(\dfrac{ 8 }{ 3 }\,;\,\dfrac{ 4 }{ 3 }\,;\,\dfrac{ 16 }{ 3 }\right)\,.

5.  Nous devons calculer la distance du point H  au plan (IGJ ).
Cette distance est donnée par HL.

\overrightarrow{ HL }\ \begin{pmatrix}\dfrac 8 3-0\\ \overset{ { \white{ . } } }{ \dfrac 4 3 -4 } \\ \overset{ { \white{ . } } }{ \dfrac{ 16 }{ 3 }-8 }\end{pmatrix}=\begin{pmatrix}\dfrac 8 3\\ \overset{ { \white{ . } } }{ -\dfrac{ 8 }{ 3 } }\\ \overset{ { \phantom{ . } } }{ -\dfrac{ 8 }{ 3 } }\end{pmatrix} \\ \\ \\ \Longrightarrow\quad HL=\sqrt{ \left(\dfrac{ 8 }{ 3 }\right)^2+\left(-\dfrac{ 8 }{ 3 }\right)^2+\left(-\dfrac{ 8 }{ 3 }\right)^2 } \\ \overset{ { \phantom{ . } } }{ \phantom{ WWWW }=\sqrt{ \dfrac{ 64 }{ 9 }+\dfrac{ 64 }{ 9 }+\dfrac{ 64 }{ 9 } } } \\ \overset{ { \phantom{ . } } }{ \phantom{ WWWW }=\sqrt{ 3\times \dfrac{ 64 }{ 9 } } } \\ \overset{ { \phantom{ . } } }{ \phantom{ WWWW }=\dfrac{ 8 }{ 3 }\sqrt{ 3 } }

Par conséquent, la distance du point H  au plan (IGJ ) est égale à  \dfrac{ 8 }{ 3 }\sqrt{ 3 }.

6.  Nous devons montrer que le triangle IGJ  est rectangle en I .

Montrons que  \overrightarrow{ IG }\perp\overrightarrow{ IJ }.

\left\lbrace\begin{matrix}\overrightarrow{ IG }\ \begin{pmatrix}2\\4\\-2\end{pmatrix}\\ \\ \overrightarrow{ IJ }\begin{pmatrix}-2\\0\\-2\end{pmatrix}\end{matrix}\right.\quad\Longrightarrow\quad \begin{matrix}\\ \\ \overrightarrow{ IG }\cdot\overrightarrow{ IJ }=2\times(-2)+4\times0+(-2)\times(-2)\\=-4+4\phantom{ WWWWWWW } \\=0\phantom{ WWWWiWWWWW }\end{matrix} \\ \phantom{ WWWWWW }\Longrightarrow\boxed{ \overrightarrow{ IG }\perp\overrightarrow{ IJ } }

Par conséquent, le triangle IGJ  est rectangle en I .

7.  Nous devons en déduire le volume  \overset{ { \white{ . } } }{ \mathscr V_{ IGJH } }  du tétraèdre IGJH .

Rappelons que le volume d'un tétraèdre est donné par la formule  \dfrac 1 3 \times \text{  Aire de la base  } \times h  où h  est la hauteur relative à la base.

Nous obtenons :  \mathscr V_{ IGJH }=\dfrac 1 3 \times \text{  Aire de }\,IGJ \times HL.

\bullet { \white{ w } } Calculons l'aire du triangle IGJ .

\left\lbrace\begin{matrix}IG=\sqrt{ 2^2+4^2+(-2)^2 }\\=\sqrt{ 24 }\phantom{ WWWW }\\=2\sqrt{ 6 }\phantom{ WWWW }\\ \\IJ=\sqrt{ (-2)^2+0^2+(-2)^2 }\\=\sqrt{ 8 }\phantom{ WWWµµWW }\\=2\sqrt{ 2 }\phantom{ WWWµWW }\end{matrix}\right.

D'où  \text{  Aire de }\,IGJ=\dfrac{ IG\times IJ }{ 2 }=\dfrac{ 2\sqrt{ 6 }\times 2\sqrt{ 2 } }{ 2 }=2\sqrt{ 12 }=4\sqrt{ 3 }.

\text{ Donc  }\;\left\lbrace\begin{matrix}\text{  Aire de }\,IGJ=4\sqrt{ 3 }\\ \\HL=\dfrac{ 8 }{ 3 }\sqrt{ 3 }\phantom{ WWW }\end{matrix}\right. \\ \\ \\ \Longrightarrow\quad\mathscr V_{ IGJH }=\dfrac 1 3 \times 4\sqrt{ 3 }\times \dfrac{ 8 }{ 3 }\sqrt{ 3 }=\dfrac{ 32 }{ 3 } \\ \\ \Longrightarrow\quad\boxed{ \mathscr V_{ IGJH }=\dfrac{ 32 }{ 3 }\text{  unités de volume } }

3 points

exercice 4

Un biologiste a modélisé l'évolution d'une population de bactéries (en milliers d'entités) par la fonction f  définie sur [0 ; +infini[ par  f(t)=\text{ e }^3-\text{ e }^{ -0,5t^2+t+2 }  où t  désigne le temps en heures depuis le début de l'expérience.

{ \white{ wl } }\bullet { \white{ w } } Affirmation 1 : "La population augmente en permanence".
{ \white{ WWWWWWWxxx } } Affirmation fausse.

Etudions la croissance de la fonction f  sur [0 ; +infini[.

La fonction f  est dérivable sur [0 ; +infini[.

\forall\ t\in[0\;;\;+\infty[,\;f'(t)=\left(\text{ e }^3-\text{ e }^{ -0,5t^2+t+2 }\right)' \\ \overset{ { \white{ . } } }{ \phantom{ WWWWWWWWl }=0-(-0,5t^2+t+2)'\times\text{ e }^{ -0,5t^2+t+2 } } \\ \overset{ { \white{ . } } }{ \phantom{ WWWWWWWWl }=-(-0,5\times2t+1)\times\text{ e }^{ -0,5t^2+t+2 } } \\ \overset{ { \white{ . } } }{ \phantom{ WWWWWWWWl }=(t-1)\times\text{ e }^{ -0,5t^2+t+2 } } \\ \\ \Longrightarrow\quad\boxed{ \forall\ t\in[0\;;\;+\infty[,\;f'(t)=(t-1)\,\text{ e }^{ -0,5t^2+t+2 } }

La fonction exponentielle est strictement positive sur [0 ; +infini[.
Dès lors, le signe de f' (t ) sur [0 ; +infini[ est le signe de (t  - 1).

{ \white{ WWW } }\begin{matrix}t-1=0\Longleftrightarrow t=1\\ \\t-1<0\Longleftrightarrow t<1\\ \\t-1>0\Longleftrightarrow t>1\end{matrix}\phantom{ WW } \begin{matrix}|\\|\\|\\|\\|\\|\\|\\|\\|\end{matrix}\phantom{ WW }\begin{array} { |c|ccccccc| } \hline &&&&&&&& t &0&&&1&&&+\infty\\ &&&&&&& \\ \hline&&&&&&& \\ t-1&& - && 0 & &+ &\\&&&&&&&\\ \hline&&&&&&&\\ f'(t)&&-&&0&&+&\\&&&& &&&\\ \hline&&&&&&&\\ f(t)&&\searrow&&&&\nearrow&\\&&&& &&&\\ \hline \end{array}

Par conséquent, la fonction f  est décroissante sur [0 ; 1].
Donc l'affirmation 1 est fausse.

{ \white{ wl } }\bullet { \white{ w } } Affirmation 2 : "À très long terme, la population dépassera 21 000 bactéries".
{ \white{ WWWWWWWxxx } } Affirmation fausse.

Calculons  \overset{ { \white{ \frac{  }{ . } } } }{ \lim\limits_{ t\to+\infty }f(t). }

\left\lbrace\begin{matrix}\lim\limits_{ t\to+\infty }(-0,5t^2+t+2)=\lim\limits_{ t\to+\infty }-0,5t^2=-\infty \\ \overset{ { \white{ . } } }{ \lim\limits_{ T\to-\infty }\text{ e }^T=0\phantom{ WWWWWWWWWWWWW } }\end{matrix}\right.\quad\underset{ (T=-0,5t^2+t+2) }{ \Longrightarrow }\quad\lim\limits_{ t\to+\infty }\text{ e }^{ -0,5t^2+t+2 }=0 \\ \\ \phantom{ WWWWWWWWWWWWWWWWWWWWWWW }\Longrightarrow\quad\quad\lim\limits_{ t\to+\infty }\left(\text{ e }^3-\text{ e }^{ -0,5t^2+t+2 }\right)=\text{ e }^3
Il s'ensuit que  \overset{ { \white{ . } } }{ \boxed{ \lim\limits_{ t\to+\infty }f(t)=\text{ e }^3 }. }

Puisque la fonction f  est croissante sur [1 ; +infini[, les valeurs de f (t ) tendront vers  \text{ e }^3  par valeurs inférieures à  \text{ e }^3. 
Or   \text{ e }^3\approx20,1<21.
Par conséquent, à très long terme, la population ne dépassera pas 21 000 bactéries.
Donc l'affirmation 2 est fausse.

{ \white{ wl } }\bullet { \white{ w } } Affirmation 3 : "La population de bactéries aura un effectif de 10 000 à deux reprises au cours du temps".
{ \white{ WWWWWWWxxx } } Affirmation vraie.

\bullet { \white{ w } } Montrons que l'équation f (t ) = 10 admet une unique solution, notée alpha, sur l'intervalle [0 ; 1]

La fonction f  est continue sur l'intervalle [0 ; 1] car elle est dérivable sur cet intervalle.
La fonction f  est strictement décroissante sur l'intervalle [0 ; 1] (voir "Affirmation 1.")

\left\lbrace\begin{matrix}f(0)=\text{ e }^3-\text{ e }^{ 2 }\approx12,69>10\phantom{ ww }\\f(1)=\text{ e }^3-\text{ e }^{ 2,5 }\approx7,90<10\phantom{ ww }\end{matrix}\right.\quad\Longrightarrow\quad  \boxed{ 10\in[\,f(0)\,;\,f(1)\,] }
Selon le corollaire du théorème des valeurs intermédiaires, l'équation  \overset{ { \white{ . } } }{ f(t)=10 }  admet une unique solution notée  \overset{ { \white{ . } } }{ \alpha }  appartenant à l'intervalle [0 ; 1].

\bullet { \white{ w } } Montrons que l'équation f (t ) = 10 admet une unique solution, notée beta, sur l'intervalle  \overset{ { \white{ . } } }{ [1\;;\;+\infty[\,. }

La fonction f  est continue sur l'intervalle  \overset{ { \white{ . } } }{ [1\;;\;+\infty[ } car elle est dérivable sur cet intervalle.
La fonction f  est strictement croissante sur l'intervalle  \overset{ { \white{ . } } }{ [1\;;\;+\infty[ } (voir "Affirmation 1.")

\left\lbrace\begin{matrix}f(1)=\text{ e }^3-\text{ e }^{ 2,5 }\approx7,90<10\phantom{ ww }\\ \lim\limits_{ t\to+\infty }f(t)=\text{ e }^3\approx20,1>10\phantom{ xx }\end{matrix}\right.\quad\Longrightarrow\quad  \boxed{ 10\in[\,f(1)\,;\,\lim\limits_{ t\to+\infty }f(t)\,[ }

Selon le corollaire du théorème des valeurs intermédiaires, l'équation  \overset{ { \white{ . } } }{ f(t)=10 }  admet une unique solution notée  \overset{ { \white{ . } } }{ \beta }  appartenant à l'intervalle  \overset{ { \white{ . } } }{ [1\;;\;+\infty[\,. }.

D'où, l'équation f (t ) = 10 admet exactement deux solutions sur l'intervalle [0 ; +infini[.
Par conséquent, la population de bactéries aura un effectif de 10 000 à deux reprises au cours du temps
Donc l'affirmation 3 est vraie.

Publié le
ceci n'est qu'un extrait
Pour visualiser la totalité des cours vous devez vous inscrire / connecter (GRATUIT)
Inscription Gratuite se connecter
Merci à
Hiphigenie
/
malou Webmaster
pour avoir contribué à l'élaboration de cette fiche


Vous devez être membre accéder à ce service...

Pas encore inscrit ?

1 compte par personne, multi-compte interdit !

Ou identifiez-vous :


Rester sur la page

Inscription gratuite

Fiches en rapport

parmi 1768 fiches de maths

Désolé, votre version d'Internet Explorer est plus que périmée ! Merci de le mettre à jour ou de télécharger Firefox ou Google Chrome pour utiliser le site. Votre ordinateur vous remerciera !