Fiche de mathématiques
> >

Bac Spécialité Mathématiques 2025

Asie (contrôle) Jour 1

Partager :


Durée : 4 heures

L'usage de la calculatrice avec mode examen actif est autorisé.
L'usage de la calculatrice sans mémoire, "type collège" est autorisé.


Le sujet est composé de 4 exercices indépendants.

Tous les exercices doivent être traités.

La qualité de la rédaction, la clarté et la précision des raisonnements

entreront pour une part importante dans l'appréciation des copies.

Les candidates et les candidats sont invités à faire figurer sur leurs copies

toute trace de recherche, même incomplète ou infructueuse.



5 points

exercice 1



Bac spécialité maths 2025 Asie (remplacement) Jour 1 : image 2


5 points

exercice 2



Bac spécialité maths 2025 Asie (remplacement) Jour 1 : image 10

Bac spécialité maths 2025 Asie (remplacement) Jour 1 : image 8


4,75 points

exercice 3



Bac spécialité maths 2025 Asie (remplacement) Jour 1 : image 7

Bac spécialité maths 2025 Asie (remplacement) Jour 1 : image 11


5,25 points

exercice 4



Bac spécialité maths 2025 Asie (remplacement) Jour 1 : image 1

Bac spécialité maths 2025 Asie (remplacement) Jour 1 : image 5

Bac spécialité maths 2025 Asie (remplacement) Jour 1 : image 3

Bac spécialité maths 2025 Asie (remplacement) Jour 1 : image 4

Bac spécialité maths 2025 Asie (remplacement) Jour 1 : image 9

Bac spécialité maths 2025 Asie (remplacement) Jour 1 : image 6





Bac spécialité maths 2025

Asie (remplacement) Jour 1

Partager :



5 points

exercice 1

Soit  \overset{ { \white{ _. } } } {  f  }  la fonction définie sur  \overset{ { \white{ _. } } } { \R   }  par  \overset{ { \white{ _. } } } { f(x)=x\text e^{-2x}   } .
On admet que  \overset{ { \white{ _. } } } { f   }  est deux fois dérivable sur  \overset{ { \white{ _. } } } { \R   }  et on note  \overset{ { \white{ _. } } } {  f'  }  la dérivée de la fonction  \overset{ { \white{ _. } } } {   f } .
On note  \overset{ { \white{ _. } } } {  C_f  }  la courbe représentative de  \overset{ { \white{ _. } } } {  f  }  dans un repère orthonormé du plan.


Affirmation 1. Pour tout réel  \overset{ { \white{ -. } } } {  x  } , on a  \overset{ { \white{ . } } } {f'(x)=(-2x+1)\text e^{-2x}    } .
Affirmation  vraie

La fonction  \overset{ { \white{ _. } } } {  f  }  est dérivable sur  \overset{ { \white{ _. } } } { \R  } .

Pour tout réel  \overset{ { \white{ -. } } } {  x  } ,

{ \white{ xxi } }  f'(x)=\Big(x\text e^{-2x} \Big)' \\\overset{ { \white{ . } } } {  \phantom{ f'(x)}=x'\times \text e^{-2x}+x\times (\text e^{-2x})' } \\\overset{ { \white{ . } } } {  \phantom{ f'(x)}=1\times \text e^{-2x}+x\times (-2\text e^{-2x}) } \\\overset{ { \white{ . } } } {  \phantom{ f'(x)}=\text e^{-2x}-2x\,\text e^{-2x} } \\\overset{ { \phantom{ . } } } {  \phantom{ f'(x)}=(1-2x)\,\text e^{-2x} } \\\\\Longrightarrow\quad\boxed{\forall\,x\in\R,\quad f'(x)=(-2x+1)\,\text e^{-2x} }

L'affirmation 1 est donc vraie.


Affirmation 2. La fonction  \overset{ { \white{ _. } } } {  f  }  est une solution sur  \overset{ { \white{ _. } } } {  \R  }  de l'équation différentielle :  \overset{ { \white{ _. } } } {  y'+2y=\text e^{-2x}  } .
Affirmation  vraie

Montrons que pour tout réel  \overset{ { \white{ . } } } {  x ,\quad  f'(x)+2f(x)=\text e^{-2x}  } .

En effet, pour tout réel  \overset{ { \white{ -. } } } {  x  } ,

{ \white{ xxi } } f'(x)+2f(x)=(-2x+1)\,\text e^{-2x}+2\times x\text e^{-2x} \\\overset{ { \white{ . } } } {  \phantom{   f'(x)+2f(x)}=-2x\,\text e^{-2x}+\text e^{-2x}+2x\,\text e^{-2x} } \\\overset{ { \white{ . } } } {  \phantom{   f'(x)+2f(x)}=\text e^{-2x} } \\\\\Longrightarrow\quad\boxed{\forall\,x\in\R,\quad f'(x)+2f(x)=\text e^{-2x} }

L'affirmation 2 est donc vraie.


Affirmation 3. La fonction  \overset{ { \white{ _. } } } {  f  }  est convexe sur  \overset{ { \white{ _. } } } {  ]-\infty\;;\;1]} .
Affirmation  fausse

La convexité de  \overset{ { \white{ _. } } } {  f  }  dépend du signe de la dérivée seconde  \overset{ { \white{ _. } } } {  f''(x) } 

Pour tout réel  \overset{ { \white{ -. } } } {  x  } ,

{ \white{ xxi } } f''(x)=\Big((-2x+1)\,\text e^{-2x}\Big)' \\\overset{ { \white{ . } } } {  \phantom{ f''(x)}=(-2x+1)'\times\text e^{-2x}+(-2x+1)\times(\text e^{-2x})' } \\\overset{ { \white{ . } } } {  \phantom{ f''(x)}=(-2)\times\text e^{-2x}+(-2x+1)\times(-2\,\text e^{-2x}) } \\\overset{ { \white{ . } } } {  \phantom{ f''(x)}=-2\,\text e^{-2x}+(4x-2)\,\text e^{-2x} } \\\overset{ { \phantom{ . } } } {  \phantom{ f''(x)}=(4x-4)\,\text e^{-2x} } \\\\\Longrightarrow\quad\boxed{\forall\,x\in\R,\quad f''(x)=4(x-1)\,\text e^{-2x} }

Puisque l'exponentielle est strictement positive sur  \overset{ { \white{ _. } } } {  \R  } , le signe de  \overset{ { \white{ _. } } } {  f''(x)  }  est le signe de  \overset{ { \white{ _. } } } { x-1   } .

{ \white{ WWWW } } \begin{matrix}x-1<0\quad\Longleftrightarrow x <1\\\\x-1=0\quad\Longleftrightarrow\quad x=1\\\\x-1>0\quad\Longleftrightarrow\quad x>1\end{matrix} \begin{matrix} \\||\\||\\||\\||\\||\\||\\||\\||\\||\\|| \\\phantom{WWW}\end{matrix} \begin{array}{|c|ccccc|}\hline &&&&&\\x&-\infty&&1&&+\infty\\ &&&&& \\\hline &&&&&\\x-1&&-&0&+&\\&&&&&\\\hline &&&&&\\f''(x)&&-&0&+&\\&&&&&\\&&&&&\\\hline \end{array}

D'où pour tout réel  \overset{ { \white{ -. } } } {  x\in\;]-\infty\;;\;1], \quad f''(x)<0  } .
Nous en déduisons que sur l'intervalle  \overset{ { \white{ _. } } } {  ]-\infty\;;\;1]} , la fonction est concave.

L'affirmation 3 est donc fausse.


Affirmation 4. L'équation  \overset{ { \white{ _. } } } {  f(x)=-1  }  admet une unique solution sur  \overset{ { \white{ _. } } } { \R} .
Affirmation  vraie

Étudions d'abord les variations de la fonction  \overset{ { \white{ _. } } } {  f  }  sur  \overset{ { \white{ _. } } } {  \R  } .

Déterminons le signe de  \overset{ { \white{ _. } } } {  f'(x)=(-2x+1)\,\text e^{-2x}  }  sur  \overset{ { \white{ _. } } } {  \R  } 
Puisque l'exponentielle est strictement positive sur  \overset{ { \white{ _. } } } {  \R  } , le signe de  \overset{ { \white{ _. } } } {  f'(x)  }  est le signe de  \overset{ { \white{ _. } } } { -2x+1  } .

{ \white{ WWWW } } \begin{matrix}-2x+1<0\quad\Longleftrightarrow 2x >1\\\phantom{-4x-4<0}\quad\Longleftrightarrow x>\dfrac 12\phantom{x}\\\\-2x+1=0\quad\Longleftrightarrow\quad x=\dfrac 12\\\\-2x+1>0\quad\Longleftrightarrow\quad x<\dfrac 12\end{matrix} \begin{matrix} \\||\\||\\||\\||\\||\\||\\||\\||\\||\\|| \\\phantom{WWW}\end{matrix} \begin{array}{|c|ccccc|}\hline &&&&&\\x&-\infty&&\dfrac 12&&+\infty\\ &&&&& \\\hline &&&&&\\-2x+1&&+&0&-&\\&&&&&\\\hline &&&&&\\f'(x)&&+&0&-&\\&&&&&\\&&&&&\\\hline \end{array}

Déduisons-en les variations de  \overset{ { \white{ _. } } } {  f  } .

Quelques calculs préliminaires avant le tableau de variations de  \overset{ { \white{ _. } } } { f   } .

\overset{ { \white{ . } } }{\bullet}{\white{x}}Calculons  \overset{ { \white{W. } } } { \lim\limits_{x\to-\infty}f(x)   } .

{ \white{ xxi } }  \begin{cases}\lim\limits_{x\to-\infty}x=-\infty\\\lim\limits_{x\to-\infty}\text e^{-2x}=+\infty   \end{cases}\quad\Longrightarrow\quad \lim\limits_{x\to-\infty}x\,\text e^{-2x}=-\infty \\\overset{ { \white{ . } } } {  \phantom{  \begin{cases}\lim\limits_{x\to-\infty}x=-\infty\\\lim\limits_{x\to-\infty}\text e^{-2x}=+\infty   \end{cases}}\quad\Longrightarrow\quad\boxed{ \lim\limits_{x\to-\infty}f(x)=-\infty }}

\overset{ { \white{ . } } }{\bullet}{\white{x}}Calculons  \overset{ { \white{W. } } } { \lim\limits_{x\to+\infty}f(x)   } .

{ \white{ xxi } }   \lim\limits_{x\to+\infty}x\,\text e^{-2x}= \lim\limits_{x\to+\infty}\dfrac{x}{\text e^{2x}} \\\overset{ { \white{ . } } } {  \phantom{    \lim\limits_{x\to+\infty}x\,\text e^{-2x}}= \lim\limits_{x\to+\infty}\dfrac 12\times\dfrac{2x}{\text e^{2x}}} \\\overset{ { \white{ . } } } {  \phantom{    \lim\limits_{x\to+\infty}x\,\text e^{-2x}}= \dfrac 12\lim\limits_{x\to+\infty}\dfrac{2x}{\text e^{2x}}}  \\\overset{ { \white{ . } } } {  \phantom{    \lim\limits_{x\to+\infty}x\,\text e^{-2x}}= \dfrac 12\lim\limits_{X\to+\infty}\dfrac{X}{\text e^{X}}}
{ \white{ xxi } } \\\overset{ { \white{ . } } } {  \phantom{    \lim\limits_{x\to+\infty}x\,\text e^{-2x}}= \dfrac 12\times 0\quad(\text{croissances comparées})}  \\\overset{ { \white{ . } } } {  \phantom{    \lim\limits_{x\to+\infty}x\,\text e^{-2x}}=0}  \\\\\Longrightarrow\quad\boxed{ \lim\limits_{x\to+\infty}f(x)=0}

\overset{ { \white{ . } } }{\bullet}{\white{x}}Calculons  \overset{ { \white{. } } } { f\left(\dfrac 12\right)  } .

{ \white{ xxi } } f\left(\dfrac 12\right)=\dfrac 12\times \text e^{-2\times\frac 12} \\\overset{ { \white{ . } } } {  \phantom{  f\left(\dfrac 12\right)}=\dfrac 12\times \text e^{-1}  } \\\\\Longrightarrow\quad\boxed{f\left(\dfrac 12\right)=\dfrac 12\, \text e^{-1}\approx0,184}

Nous pouvons alors dresser le tableau de variations de  \overset{ { \white{ _. } } } { f   } .

{ \white{ WWWWw} } \begin{array}{|c|ccccc|}\hline &&&&&\\x&-\infty&&\dfrac 12&&+\infty\\ &&&&& \\\hline &&&&&\\f'(x)&&+&0&-&\\&&&&&\\\hline &&&\dfrac12\,\text e^{-1}\approx0,184&&\\f&&\nearrow&&\searrow&\\&-\infty&&&&0\\\hline \end{array}


\overset{ { \white{ . } } }{\bullet}{\white{x}}Montrons que l'équation  \overset{ { \white{ _. } } } {  f(x)=-1  }  admet une solution unique  \overset{ { \white{ _. } } } { \alpha   }  dans l'intervalle  \overset{ { \white{ _. } } } {  \left]-\infty\;;\;\dfrac 12\right]  } .

La fonction  \overset{ { \white{ . } } } {f  }  est continue et strictement croissante sur l'intervalle  \overset{ { \white{ . } } } {  \left]-\infty\;;\;\dfrac 12\right] } .
De plus,  \overset{ { \white{ . } } } { \begin{cases}\lim\limits_{x\to -\infty} f(x)=-\infty\\ \overset{ { \phantom{ . } } } {f\left(\dfrac 12\right)=\dfrac 12\,\text e^{-1}\approx 0,184>0}\end{cases}\quad\Longrightarrow\quad \boxed{-1\in\;\left]-\infty\;;\;\dfrac 12\,\text e^{-1}\,\right]} }    

Par le corollaire du théorème des valeurs intermédiaires, il existe un unique réel  \overset{ { \white{ . } } } { \alpha \in\; \left]-\infty\;;\;\dfrac 12\right]  } tel que  \overset{ { \white{ . } } } { f(\alpha)=-1 } .
Par conséquent, l'équation  \overset{ { \white{ _. } } } {  f(x)=-1  }  admet une solution unique  \overset{ { \white{ _. } } } { \alpha   }  dans l'intervalle  \overset{ { \white{ _. } } } {  \left]-\infty\;;\;\dfrac 12\right]  } .

\overset{ { \white{ . } } }{\bullet}{\white{x}}Montrons que l'équation  \overset{ { \white{ _. } } } {  f(x)=-1  }  n'admet pas solution dans l'intervalle  \overset{ { \white{ _. } } } {  \left[\dfrac 12\;;\;+\infty\right[  } .

Nous observons par le tableau de variations de  \overset{ { \white{ . } } } {f  }  que la fonction  \overset{ { \white{ . } } } {f  }  est strictement positive sur l'intervalle  \overset{ { \white{ _. } } } {  \left[\dfrac 12\;;\;+\infty\right[  } .
Dès lors, l'équation  \overset{ { \white{ _. } } } {  f(x)=-1  }  ne peut pas admettre de solution dans l'intervalle  \overset{ { \white{ _. } } } {  \left[\dfrac 12\;;\;+\infty\right[  } .

\overset{ { \white{ . } } }{\bullet}{\white{x}}En conclusion, l'équation  \overset{ { \white{ _. } } } {  f(x)=-1  }  admet une unique solution sur  \overset{ { \white{ _. } } } { \R} .

L'affirmation 4 est donc vraie.


Affirmation 5. L'aire du domaine délimité par la courbe  \overset{ { \white{ _. } } } {  C_f  } , l'axe des abscisses et les droites d'équations  \overset{ { \white{ _. } } } { x=0}  et  \overset{ { \white{ _. } } } { x=1}  est égale à  \overset{ { \white{ _. } } } { \dfrac 14-\dfrac{3\text e^{-2}}{4}} .
Affirmation  vraie

Pour tout  \overset{ { \white{ _. } } } {  x\in\,[0\;;\;1],\quad f(x)=x\text e^{-2x}\geq 0  } .
Donc l'aire demandée est donnée par :  \overset{ { \white{ _. } } } {   \displaystyle\int_0^1f(x)\,\text dx} .

Calculons  \overset{ { \white{  } } } {  \displaystyle\int_0^1 f(x)\,\text dx  } , soit  \overset{ { \white{  } } } {  \displaystyle\int_0^1 x\,\text e^{-2x}\,\text dx  } par parties.

\underline{\text{Formule de l'intégrale par parties}}\ :\ {\blue{\displaystyle\int_0^1u(x)v'(x)\,\text{d}x=\left[\overset{}{u(x)v(x)}\right]_0^1- \displaystyle\int_0^1u'(x)v(x)\,\text{d}x}}.  \\ \\ \begin{cases}u(x)= x\quad\Longrightarrow\quad u'(x)=1 \\v'(x)=\text e^{-2x}\quad\Longrightarrow\quad v(x)=-\dfrac 12\text e^{-2x}\end{cases}

\text{Dès lors }\;\overset{ { \white{ . } } } { \displaystyle\int_0^1 x\,\text e^{-2x}\,\text dx=\Big[-\dfrac 12 x\,\text e^{-2x}\Big]_0^1-\displaystyle\int_0^1-\dfrac 12 \,\text e^{-2x}\,\text dx} \\\overset{ { \white{ . } } } {\phantom{WWWWWWWvW}=\Big[-\dfrac 12 x\,\text e^{-2x}\Big]_0^1+\dfrac 12 \displaystyle\int_0^1\text e^{-2x}\,\text dx} \\\overset{ { \phantom{ . } } } {\phantom{WWWWWWWvW}=\Big[-\dfrac 12 x\,\text e^{-2x}\Big]_0^1+\dfrac12\Big[-\dfrac 12\text e^{-2x}\Big]_0^1}  \\\overset{ { \phantom{ . } } } {\phantom{WWWWWWWvW}=\Big[-\dfrac 12 x\,\text e^{-2x}\Big]_0^1-\dfrac14\Big[\text e^{-2x}\Big]_0^1}
\\\overset{ { \phantom{ . } } } {\phantom{WWWWWWWvW}=\Big(-\dfrac 12 \,\text e^{-2}-0\Big)-\dfrac14(\text e^{-2}-\text e^{0})}  \\\overset{ { \phantom{ . } } } {\phantom{WWWWWWWvW}=-\dfrac 12 \,\text e^{-2}-\dfrac 14\,\text e^{-2}+\dfrac 14}  \\\overset{ { \phantom{ . } } } {\phantom{WWWWWWWvW}=-\dfrac 34 \,\text e^{-2}+\dfrac 14}  \\\\\Longrightarrow\quad\boxed{ \displaystyle\int_0^1 x\,\text e^{-2x}\,\text dx=\dfrac 14-\dfrac 34\text e^{-2}\;(\text{u.a.})}

L'affirmation 5 est donc vraie.


5 points

exercice 2

On considère un cube  \overset{ { \white{ _. } } } {  ABC  }\overset{ { \white{ _. } } } {  D  }\overset{ { \white{ _. } } } {  E  }\overset{ { \white{ _. } } } {  F  }\overset{ { \white{ _. } } } { GH } de côté une unité.
L'espace est muni du repère  \overset{ { \white{ _. } } } {  (A;\overrightarrow{AB};\overrightarrow{AD};\overrightarrow{AE})  } .
On note  \overset{ { \white{ _. } } } {   I }  le milieu du segment  \overset{ { \white{ _. } } } { [AB]   }  et  \overset{ { \white{ _. } } } {  J  }  le milieu du segment  \overset{ { \white{ _. } } } { [BG]   } .

Bac spécialité maths 2025 Asie (remplacement) Jour 1 : image 15


1.  Nous devons donner sans justification les coordonnées des points  \overset{ { \white{ . } } } {  A, B, G, I  }  et  \overset{ { \white{ _. } } } {  A  } .

Les coordonnées demandées sont :

{ \white{ xxi } } A(0,\,0,\,0)\;;\;B(1,\,0,\,0)\;;\;G(1,\,1,\,1)\;;\;I(\dfrac 12,\,0,\, 0)\;\text{ et } \;J(1,\,\dfrac 12,\,\dfrac12)

2. a)  Nous devons déterminer une représentation paramétrique de la droite  \overset{ { \white{ _. } } } {(AJ)   } .

Un vecteur directeur de la droite  \overset{ { \white{ _. } } } {  (AJ)  }  est le vecteur  \overset{ { \white{  } } } { \overrightarrow{AJ}   } .
Déterminons ses coordonnées.
{ \white{ xxi } }\begin{cases}A(0\;;\;0\;;\;0)\\ \overset{ { \white{ . } } } { J(1\;;\;\dfrac12\;;\;\dfrac 12)}\end{cases}\quad\Longrightarrow\quad\overset{ { \white{ . } } } { \overrightarrow{ AJ }\begin{pmatrix}1\\\overset{ { \phantom{ . } } } {\dfrac 12}\\ \overset{ { \phantom{ . } } } {\dfrac 12}\end{pmatrix} }

Nous obtenons alors :

{ \white{ xxi } }  M\,(x\;;\;y\;;\;z) \in(AJ)\quad\Longleftrightarrow\quad \overrightarrow{AM}\text{ et }\overrightarrow{AJ}\text{ sont colinéaires} \\\overset{ { \white{ . } } } {  \phantom{   M\,(x\;;\;y\;;\;z) \in(AJ)}\quad\Longleftrightarrow\quad \exists\,k\in\R : \overrightarrow{AM}=k\,\overrightarrow{AJ}}  \\\overset{ { \white{ . } } } {  \phantom{   M\,(x\;;\;y\;;\;z) \in(AJ)}\quad\Longleftrightarrow\quad \exists\,k\in\R : \begin{pmatrix}x\\y\\z\end{pmatrix} =k\,\begin{pmatrix}1\\\overset{ { \phantom{ . } } } {\dfrac 12}\\ \overset{ { \phantom{ . } } } {\dfrac 12}\end{pmatrix} } \\\overset{ { \white{ . } } } {  \phantom{   M\,(x\;;\;y\;;\;z) \in(AJ)}\quad\Longleftrightarrow\quad \exists\,k\in\R : \begin{cases}x=k\\y=\dfrac12 k\\\overset{ { \phantom{ . } } } {z=\dfrac 12k}\end{cases} }

Par conséquent, une représentation paramétrique de la droite  \overset{ { \white{ _. } } } {(AJ)   }  est  \overset{ { \white{ _. } } } {  \boxed{\begin{cases}x=k\\y=\dfrac k2\quad\text{avec }k\in\R\\\overset{ { \phantom{ . } } } {z=\dfrac k2}\end{cases} }  } 


2. b)  Nous devons montrer qu'une représentation paramétrique de la droite  \overset{ { \white{ _. } } } { (IG)  }  est :  \overset{ { \white{ _. } } } {\begin{cases} x=\dfrac 12 + \dfrac 12 t\\y=t\\z=t   \end{cases}\;\text{avec }t\in\R.    } 

Déterminons une représentation paramétrique de la droite  \overset{ { \white{ . } } } { (IG). }   

Un vecteur directeur de  \overset{ { \white{ . } } } { (IG) }  est le vecteur  \overset{ { \white{ . } } } { \overrightarrow{IG}\,\begin{pmatrix}1-\dfrac12\\ 1-0\\1-0\end{pmatrix}\quad\Longrightarrow\quad \overrightarrow{IG}\,\begin{pmatrix}{\red{\dfrac 12}}\\ {\red{1}}\\ {\red{1}}\end{pmatrix} } 
Le point  \overset{ { \white{ . } } } { I\,({\blue{\dfrac 12}}\;;\;{\blue{0}}\;;\;{\blue{0}}) }  appartient à la droite  \overset{ { \white{ . } } } { (IG). } 

D'où, une représentation paramétrique de la droite  \overset{ { \white{ . } } } { (IG)}  est :  \overset{ { \white{ . } } } { \overset{ { \white{ . } } } {\left\lbrace\begin{matrix}x={\blue{\dfrac 12}}+{\red{\dfrac 12}}\times t\\\overset{ { \phantom{ . } } } {y={\blue{0}}+{\red{1}}\times t}\\z={\blue{0}}+{\red{1}}\times t\end{matrix}\right.\quad (t\in\R) } } 

soit  \overset{ { \white{ _. } } } {\begin{cases} x=\dfrac 12 + \dfrac 12 t\\y=t\\z=t \end{cases} \quad(t\in\R). }  

2. c)  Nous devons démontrer que les droites  \overset{ { \white{ _. } } } { (AJ)   }  et  \overset{ { \white{ _. } } } { (IG)   }  sont sécantes en un point  \overset{ { \white{ _. } } } { S   }  de coordonnées  \overset{ { \white{ _. } } } {  S\left(\dfrac 23\;;\;\dfrac 13\;;\;\dfrac 13\right).  } 
Nous allons démontrer qu'il existe  \overset{ { \white{ _. } } } { (k\;;\;t)\in\R^2 :\quad  \begin{cases} k=\dfrac 12 + \dfrac 12 t\\\dfrac k2=t\\\overset{ { \white{ _. } } } {\dfrac k2=t} \end{cases}   } 

{ \white{ xxi } }  \begin{cases} k=\dfrac 12 + \dfrac 12 t\\\dfrac k2=t\\\overset{ { \white{ _. } } } {\dfrac k2=t} \end{cases}  \quad\Longleftrightarrow\quad \begin{cases} k=\dfrac 12 + \dfrac 12 t\\\dfrac k2=t\end{cases}   \\\overset{ { \white{ . } } } {  \phantom{  \begin{cases} k=\dfrac 12 + \dfrac 12 t\\\dfrac k2=t\end{cases}  }\quad\Longleftrightarrow\quad \begin{cases} k=\dfrac 12 + \dfrac 12 t\\k=2t\end{cases}  } \\\overset{ { \white{ . } } } {  \phantom{  \begin{cases} k=\dfrac 12 + \dfrac 12 t\\\dfrac k2=t\end{cases}  }\quad\Longleftrightarrow\quad \begin{cases} 2t=\dfrac 12 + \dfrac 12 t\\k=2t\end{cases}  }
{ \white{ xxi } } .\overset{ { \white{ . } } } {  \phantom{  \begin{cases} k=\dfrac 12 + \dfrac 12 t\\\dfrac k2=t\end{cases}  }\quad\Longleftrightarrow\quad  \begin{cases} 2t-\dfrac 12 t=\dfrac 12  \\k=2t\end{cases}  } \\\overset{ { \white{ . } } } {  \phantom{  \begin{cases} k=\dfrac 12 + \dfrac 12 t\\\dfrac k2=t\end{cases}  }\quad\Longleftrightarrow\quad  \begin{cases}t=\dfrac 13  \\k=2t\end{cases}  } \\\overset{ { \white{ . } } } {  \phantom{  \begin{cases} k=\dfrac 12 + \dfrac 12 t\\\dfrac k2=t\end{cases}  }\quad\Longleftrightarrow\quad  \boxed{\begin{cases}t=\dfrac 13  \\\overset{ { \phantom{ . } } } { k=\dfrac 23}\end{cases}  }}

Par conséquent, le point d'intersection  \overset{ { \white{ _. } } } {  S  }  des droites  \overset{ { \white{ _. } } } { (AJ)   }  et  \overset{ { \white{ _. } } } { (IG)   }  est de paramètre  \overset{ { \white{ _. } } } { k= \dfrac 23  }  dans la représentation paramétrique de  \overset{ { \white{ _. } } } { (AJ)   }  et  \overset{ { \white{ _. } } } { t=\dfrac 13   }  dans la représentation paramétrique de  \overset{ { \white{ _. } } } { (IG)   } .

Les coordonnées de  \overset{ { \white{ _. } } } { S  }  sont alors  \overset{ { \white{  } } } { \boxed{ S\left(\dfrac 23\;;\;\dfrac 13\;;\;\dfrac 13\right)} .  } 


3. a)  Nous devons montrer que le vecteur  \overset{ { \white{ _. } } } { \overrightarrow {n}\begin{pmatrix}0\\-1\\1\end{pmatrix}    }  est normal au plan  \overset{ { \white{ _. } } } { (ABG)   } .
Montrons que  \overset{ { \white{  } } } {  \overrightarrow {n}  }  est orthogonal aux deux vecteurs non colinéaires  \overset{ { \white{. } } } {  \overrightarrow{AB}\begin{pmatrix}1\\0\\0\end{pmatrix}   }  et  \overset{ { \white{.} } } { \overrightarrow{AG} \begin{pmatrix}1\\1\\1\end{pmatrix}   }  du plan  \overset{ { \white{ . } } } {  (ABG).  } 
Nous obtenons :

{ \white{ xxi } } \bullet\quad  \overrightarrow{n} \cdot \overrightarrow{AB} =0\times1-1\times0+1\times0 \\\overset{ { \white{ . } } } {  \phantom{   \bullet\quad  \overrightarrow{n} \cdot \overrightarrow{AB}} =0-0+0} \\\overset{ { \white{ . } } } {  \phantom{   \bullet\quad  \overrightarrow{n} \cdot \overrightarrow{AB}} =0} \\\\\qquad\Longrightarrow\quad\boxed{\overrightarrow{n} \cdot \overrightarrow{AB} =0}

{ \white{ xxi } } \bullet\quad  \overrightarrow{n} \cdot \overrightarrow{AG} =0\times1-1\times1+1\times1 \\\overset{ { \white{ . } } } {  \phantom{   \bullet\quad  \overrightarrow{n} \cdot \overrightarrow{AB}} =0-1+1} \\\overset{ { \white{ . } } } {  \phantom{   \bullet\quad  \overrightarrow{n} \cdot \overrightarrow{AB}} =0} \\\\\qquad\Longrightarrow\quad\boxed{\overrightarrow{n} \cdot \overrightarrow{AG} =0}

Dès lors, le vecteur  \overset{ { \white{  } } } {  \overrightarrow {n}  }  est orthogonal aux deux vecteurs non colinéaires   {  \overrightarrow{AB}  }  et   { \overrightarrow{AG}   }  du plan  \overset{ { \white{ . } } } {  (ABC).  } 
Par conséquent, le vecteur  \overset{ { \white{  } } } {  \overrightarrow {n}  }  est orthogonal au plan  \overset{ { \white{ . } } } {  (ABG).  } 


3. b)  Nous devons en déduire une équation cartésienne du plan  \overset{ { \white{ . } } } {  (ABG)  } .

Nous savons que le vecteur  \overset{ { \white{ . } } } {\overrightarrow {n}\begin{pmatrix}0\\-1\\1\end{pmatrix} }  est un vecteur normal au plan  \overset{ { \white{ . } } } {(ABG).  } 
D'où l'équation du plan  \overset{ { \white{ . } } } {(ABG) }  est de la forme  \overset{ { \white{ . } } } { - y + z + d = 0 }  où  \overset{ { \white{ _. } } } {d }  est un nombre réel.

Nous savons que  \overset{ { \white{ . } } } {A(0\;;\;0\;;\;0) }  appartient à ce plan  \overset{ { \white{ . } } } {(ABG). } 
Donc  \overset{ { \white{ . } } } {-0+0+d=0, }  soit  \overset{ { \white{ _. } } } {d=0. } 

Par conséquent, une équation cartésienne du plan  \overset{ { \white{ . } } } {(ABG) }  est  \overset{ { \white{ . } } } {\boxed{ - y + z = 0}\,. }


3. c)  On admet qu'une représentation paramétrique de la droite  \overset{ { \white{ _. } } } { (d)   }  de vecteur directeur  \overset{ { \white{ _. } } } { \vec n   }  et passant par le point  \overset{ { \white{ _. } } } {  K  }  de coordonnées  \overset{ { \white{ _. } } } { \left(\dfrac 12\;;\;0\;;\;1\right)   }  est :  \overset{ { \white{ _. } } } { \overset{ { \white{ _. } } } {\begin{cases} x=\dfrac 12 \\y=-t\\z=1+t \end{cases}\quad \quad\text{avec }t\in\R. }     } 

Nous devons montrer que cette droite  \overset{ { \white{ _. } } } {  (d)  }  coupe le plan  \overset{ { \white{ _. } } } { (ABG)   }  en un point  \overset{ { \white{ _. } } } {  L  }  de coordonnées  \overset{ { \white{ _. } } } {L\,\left(\dfrac 12\;;\;\dfrac 12\;;\;\dfrac 12\right)    } .

Résolvons le système  \overset{ { \white{ _. } } } {\begin{cases} x=\dfrac 12 \\y=-t\\z=1+t\\-y+z=0 \end{cases} }   .

Nous obtenons :

{ \white{ xxi } }\begin{cases} x=\dfrac 12 \\y=-t\\z=1+t\\-y+z=0 \end{cases} \quad\Longleftrightarrow\quad \begin{cases} x=\dfrac 12 \\y=-t\\z=1+t\\t+(1+t)=0 \end{cases} \quad\Longleftrightarrow\quad \begin{cases} x=\dfrac 12 \\y=-t\\z=1+t\\2t+1=0 \end{cases} \\\overset{ { \white{ . } } } {  \phantom{  \begin{cases} x=\dfrac 12 \\y=-t\\z=1+t\\-y+z=0 \end{cases}  }  \quad\Longleftrightarrow\quad \begin{cases} x=\dfrac 12 \\y=-t\\z=1+t\phantom{WW}\\t=-\dfrac 12 \end{cases}  \quad\Longleftrightarrow\quad \begin{cases} x=\dfrac 12 \\\overset{ { \phantom{ . } } } {y=\dfrac 12}\\\overset{ { \phantom{ . } } } {z=\dfrac 12}\\\overset{ { \phantom{ . } } } { t=-\dfrac 12} \end{cases} } \\\\\Longrightarrow\quad\boxed{(x\;;\;y\;;\;z)=\left(\dfrac 12\;;\;\dfrac 12\;;\;\dfrac 12\right)} 

Par conséquent, la droite  \overset{ { \white{ _. } } } {  (d)  }  coupe le plan  \overset{ { \white{ _. } } } { (ABG)   }  en un point  \overset{ { \white{ _. } } } {  L  }  de coordonnées  \overset{ { \white{ _. } } } {L\,\left(\dfrac 12\;;\;\dfrac 12\;;\;\dfrac 12\right)    } .


3. d)  Nous devons montrer que le point  \overset{ { \white{ _. } } } {  L  }  est équidistant des points  \overset{ { \white{ . } } } {  A, B  }  et  \overset{ { \white{ _. } } } {  G  } .

{ \white{ xxi } } \overset{ { \white{ . } } } { \bullet}{\white{x}}AL=\sqrt{(x_L-x_A)^2+(y_L-y_A)^2+(z_L-z_A)^2} \\\overset{ { \white{ . } } } {  \phantom{  {x\phantom{x}}AL}=\sqrt{\left(\dfrac 12-0\right)^2+\left(\dfrac 12-0\right)^2+\left(\dfrac 12-0\right)^2} } \\\overset{ { \phantom{ . } } } {  \phantom{  {x\phantom{x}}AL}=\sqrt{\dfrac 14+\dfrac 14+\dfrac 14} }  \\\overset{ { \phantom{ . } } } {  \phantom{  {x\phantom{x}}AL}=\sqrt{\dfrac 34} }  \\\\\Longrightarrow\quad\boxed{AL=\dfrac{\sqrt 3}{2}}

{ \white{ xxi } }   \overset{ { \white{ . } } } { \bullet}{\white{x}}BL=\sqrt{(x_L-x_B)^2+(y_L-y_B)^2+(z_L-z_B)^2} \\\overset{ { \white{ . } } } {  \phantom{  {x\phantom{x}}AL}=\sqrt{\left(\dfrac 12-1\right)^2+\left(\dfrac 12-0\right)^2+\left(\dfrac 12-0\right)^2} } \\\overset{ { \phantom{ . } } } {  \phantom{  {x\phantom{x}}AL}=\sqrt{\dfrac 14+\dfrac 14+\dfrac 14} }  \\\overset{ { \phantom{ . } } } {  \phantom{  {x\phantom{x}}AL}=\sqrt{\dfrac 34} }  \\\\\Longrightarrow\quad\boxed{BL=\dfrac{\sqrt 3}{2}}

{ \white{ xxi } }   \overset{ { \white{ . } } } { \bullet}{\white{x}}CL=\sqrt{(x_L-x_C)^2+(y_L-y_C)^2+(z_L-z_C)^2} \\\overset{ { \white{ . } } } {  \phantom{  {x\phantom{x}}AL}=\sqrt{\left(\dfrac 12-1\right)^2+\left(\dfrac 12-1\right)^2+\left(\dfrac 12-0\right)^2} } \\\overset{ { \phantom{ . } } } {  \phantom{  {x\phantom{x}}AL}=\sqrt{\dfrac 14+\dfrac 14+\dfrac 14} }  \\\overset{ { \phantom{ . } } } {  \phantom{  {x\phantom{x}}AL}=\sqrt{\dfrac 34} }  \\\\\Longrightarrow\quad\boxed{CL=\dfrac{\sqrt 3}{2}}

Nous en déduisons que le point  \overset{ { \white{ _. } } } {  L  }  est équidistant des points  \overset{ { \white{ . } } } {  A, B  }  et  \overset{ { \white{ _. } } } {  G  } .


4.  Nous devons montrer que le triangle  \overset{ { \white{ _. } } } {ABG}  est rectangle en  \overset{ { \white{ _. } } } {  B  } .

En effet,

{ \white{ xxi } }  \begin{cases}A(0\;;\;0\;;\;0)\\ \overset{ { \white{ . } } } { B(1\;;\;0\;;\;0)}\end{cases}\quad\Longrightarrow\quad \overrightarrow{ AB }\begin{pmatrix}1\\0\\0\end{pmatrix}  . \\\\\begin{cases}B(1\;;\;0\;;\;0)\\ \overset{ { \white{ . } } } { G(1\;;\;1\;;\;1)}\end{cases}\quad\Longrightarrow\quad \overrightarrow{ BG }\begin{pmatrix}1-1\\1-0\\1-0\end{pmatrix}\quad\Longrightarrow\quad \overrightarrow{ BG }\begin{pmatrix}0\\1\\1\end{pmatrix}  \\\\\Longrightarrow\quad \overrightarrow{ AB }\cdot \overrightarrow{ BG }=1\times0+0\times1+0\times1 \\\overset{ { \white{ . } } } {  \phantom{ \Longrightarrow\quad \overrightarrow{ AB }\cdot \overrightarrow{ BG }}=0+0+0} \\\overset{ { \phantom{ . } } } {  \phantom{ \Longrightarrow\quad \overrightarrow{ AB }\cdot \overrightarrow{ BG }}=0}
{ \white{ xxi } } \\\overset{ { \white{ . } } } {  \phantom{ \Longrightarrow\quad \overrightarrow{ AB }\cdot \overrightarrow{ BG }}=0} \\\\\Longrightarrow\quad \boxed{\overrightarrow{ AB }\cdot \overrightarrow{ BG }=0}

Dès lors, les vecteurs  \overrightarrow{ AB }  et  \overrightarrow{ BG }  sont orthogonaux.

Par conséquent, le triangle  \overset{ { \white{ _. } } } {    } ABG est rectangle en  \overset{ { \white{ _. } } } {  B  } .


5. a)  Nous devons identifier le centre du cercle circonscrit, le centre de gravité et l'orthocentre du triangle  \overset{ { \white{ _. } } } { ABG   } .

\overset{ { \white{ . } } }{\bullet}{\white{x}}Le centre du cercle circonscrit au triangle  \overset{ { \white{ _. } } } { ABG   }  :
Nous avons montré que le point  \overset{ { \white{ _. } } } {  L  }  est équidistant des points  \overset{ { \white{ _. } } } {  A, B  }  et  \overset{ { \white{ _. } } } {  G  } .
Donc le centre du cercle circonscrit au triangle  \overset{ { \white{ _. } } } { ABG   }  est le point  \overset{ { \white{ _. } } } {  L  } .

\overset{ { \white{ . } } }{\bullet}{\white{x}}Le centre de gravité du triangle  \overset{ { \white{ _. } } } { ABG   }  :
Le centre de gravité d'un triangle est le point d'intersection des médianes de ce triangle.
Or  \overset{ { \white{ _. } } } { (AJ)   }  et  \overset{ { \white{ _. } } } { (IG)   }  sont deux médianes du triangle  \overset{ { \white{ _. } } } { ABG   }  se coupant en  \overset{ { \white{ _. } } } {  S  } .
Donc le centre de gravité du triangle  \overset{ { \white{ _. } } } { ABG   }  est le point  \overset{ { \white{ _. } } } {  S  } .

\overset{ { \white{ . } } }{\bullet}{\white{x}}L'orthocentre du triangle  \overset{ { \white{ _. } } } { ABG   }  :
L'orthocentre d'un triangle est le point d'intersection des hauteurs de ce triangle.
Or  \overset{ { \white{ _. } } } { (AB)   }  et  \overset{ { \white{ _. } } } { (BG)   }  sont deux hauteurs du triangle  \overset{ { \white{ _. } } } { ABG   }  se coupant en  \overset{ { \white{ _. } } } {  B  } .
Donc l'orthocentre du triangle  \overset{ { \white{ _. } } } { ABG   }  est le point  \overset{ { \white{ _. } } } {  B  } .


5. b)  Nous devons montrer par un calcul que ces trois points sont alignés.

Montrons que les vecteurs  \overrightarrow{BL}  et  \overrightarrow{BS}  sont colinéaires.

{ \white{ xxi } } \begin{cases}B(1\;;\;0\;;\;0)\\ \overset{ { \white{ . } } } { L\left(\dfrac 12\;;\;\dfrac 12\;;\;\dfrac 12\right)}\end{cases}\quad\Longrightarrow\quad \overrightarrow{ BL }\begin{pmatrix}\dfrac 12-1\\\overset{ { \phantom{ . } } } {\dfrac 12-0}\\\overset{ { \phantom{ . } } } {\dfrac 12-0}\end{pmatrix}\quad\Longrightarrow\quad \overrightarrow{ BL }\begin{pmatrix}\overset{ { \phantom{ . } } } {-\dfrac 12}\\\overset{ { \phantom{ . } } } {\dfrac 12}\\\overset{ { \phantom{ . } } } {\dfrac 12}\end{pmatrix}
{ \white{ xxi } }\begin{cases}B(1\;;\;0\;;\;0)\\ \overset{ { \white{ . } } } { S\left(\overset{ { \phantom{ . } } } {\dfrac 23}\;;\;\overset{ { \phantom{ . } } } {\dfrac 13}\;;\;\overset{ { \phantom{ . } } } {\dfrac 13}\right)}\end{cases}\quad\Longrightarrow\quad \overrightarrow{ BS }\begin{pmatrix}\overset{ { \phantom{ . } } } {\dfrac 23}-1\\\overset{ { \phantom{ . } } } {\dfrac 13}-0\\\overset{ { \phantom{ . } } } {\dfrac 13}-0\end{pmatrix}\quad\Longrightarrow\quad \overrightarrow{ BS }\begin{pmatrix}-\overset{ { \phantom{ . } } } {\dfrac 13}\\\overset{ { \phantom{ . } } } {\dfrac 13}\\\overset{ { \phantom{ . } } } {\dfrac 13}\end{pmatrix}  \\\\\Longrightarrow\quad \boxed{\overrightarrow{ BL }=\dfrac 32\, \overrightarrow{ BS }}

Donc les vecteurs  \overrightarrow{BL}  et  \overrightarrow{BS}  sont colinéaires.

Nous en déduisons que les points  \overset{ { \white{ _. } } } { B, L   }  et  \overset{ { \white{ _. } } } {  S  }  sont alignés.


4,75 points

exercice 3

Dominique répond à un QCM comportant 10 questions.
Pour chaque question, il est proposé 4 réponses dont une seule est exacte.
Dominique répond au hasard à chacune des 10 questions en cochant, pour chaque question, exactement une case parmi 4.
Pour chacune des questions, la probabilité qu'il réponde correctement est donc  \overset{ { \white{ _. } } } { \dfrac 14   } .
On note  \overset{ { \white{ _. } } } {   X }  la variable aléatoire qui compte le nombre de bonnes réponses à ce QCM.

1.  Nous devons déterminer la loi suivie par la variable aléatoire  \overset{ { \white{ _. } } } {   X }  et donner les paramètres de cette loi.

Lors de cette expérience, on répète 10 fois des épreuves identiques et indépendantes.
Chaque épreuve comporte deux issues :
Succès : '' la réponse à la question posée est correcte '' dont la probabilité est  \overset{ { \white{ . } } } { p=\dfrac 14 } ;
Echec : '' la réponse à la question posée est incorrecte '' dont la probabilité est  \overset{ { \white{ . } } } {1-p=\dfrac 34 } .
La variable aléatoire  \overset{ { \white{ _. } } } { X }   compte le nombre de bonnes réponses à ce QCM, soit le nombre de succès à la fin de la répétition des épreuves.
D'où la variable aléatoire  \overset{ { \white{ _. } } } { X }   suit une loi binomiale  \overset{ { \white{ . } } }{ \mathscr{ B }\left(10\,;\,\dfrac 14\right) } .
Cette loi est donnée par :  \boxed{ P(X=k)=\begin{pmatrix}10\\k\end{pmatrix}\times\left(\dfrac 14\right)^k\times\left(\dfrac 34\right)^{ 10-k } } 


2.  Nous devons déterminer la probabilité que Dominique obtienne exactement 5 bonnes réponses, soit  \overset{ { \white{ _. } } } { P(X=5)   } .

{ \white{ xxi } }P(X=5)=\begin{pmatrix}10\\5\end{pmatrix}\times\left(\dfrac 14\right)^5\times\left(\dfrac 34\right)^{ 10-5 } \\\overset{ { \white{ . } } } {  \phantom{P(X=5)}=252\times\dfrac {1}{1024}\times\dfrac {243}{1024}} \\\overset{ { \white{ . } } } {\phantom{P(X=5)}=\dfrac {61\,236}{1\,048\,576}\approx0,0584}

{ \white{ xxi } }\Longrightarrow\quad\boxed{P(X=5)\approx0,0584}

3.  Nous devons calculer l'espérance  \overset{ { \white{ _. } } } {  E(X)  }  de la variable aléatoire  \overset{ { \white{ _. } } } {  X  } et interpréter le résultat.

{ \white{ xxi } }E(X)=np=10\times\dfrac 14\quad\Longrightarrow\quad\boxed{E(X)=2,5}

Cela signifie qu'en répondant au hasard comme Dominique, il y a aura en moyenne 2,5 bonnes réponses.


4.  On suppose dans cette question qu'une bonne réponse rapporte un point et qu'une mauvaise réponse fait perdre 0,5 point. La note finale peut donc être négative.
On note  \overset{ { \white{ _. } } } {  Y  }  la variable aléatoire qui donne le nombre de points obtenus.

4. a)  Nous devons calculer  \overset{ { \white{ _. } } } { P(Y=10)   } , on donnera la valeur exacte du résultat.

 \overset{ { \white{ _. } } } { Y=10   }  signifie que Dominique a obtenu 10 points et par suite, il a répondu correctement aux 10 questions.

Dès lors,

{ \white{ xxi } }  P(Y=10)=P(X=10) \\\overset{ { \white{ . } } } {  \phantom{  P(Y=10)}=\begin{pmatrix}10\\10\end{pmatrix}\times\left(\dfrac 14\right)^{10}\times\left(\dfrac 34\right)^{ 10-10 }  } \\\overset{ { \white{ . } } } {  \phantom{  P(Y=10)}=1\times\left(\dfrac 14\right)^{10}\times1 } \\\overset{ { \white{ . } } } {  \phantom{  P(Y=10)}=\dfrac {1}{4^{10}}} \\\\\Longrightarrow\quad\boxed{P(Y=10)=\dfrac {1}{4^{10}}=\dfrac{1}{1\,048\,576}}


4. b)  Déterminons à partir de combien de bonnes réponses la note finale de Dominique est positive.

Supposons que Dominique a répondu correctement à  \overset{ { \white{ . } } } { x   }  questions, ce qui lui a fait gagner  \overset{ { \white{ . } } } { x   } points.
Dans ce cas, il a donné  \overset{ { \white{ _. } } } { 10-x   }  mauvaises réponses et a donc perdu  \overset{ { \white{ _. } } } { 0,5\times(10-x)   }  points.

Nous devons déterminer le plus petit entier naturel  \overset{ { \white{ _. } } } {  x  }  vérifiant l'inéquation :  \overset{ { \white{ _. } } } { x-0,5(10-x)\geq 0   } .

{ \white{ xxi } } x-0,5(10-x)\geq 0\quad\Longleftrightarrow\quad x-5+0,5x\geq 0 \\\overset{ { \white{ . } } } {  \phantom{  x-0,5(10-x)\geq 0}\quad\Longleftrightarrow\quad 1,5x\geq 5 } \\\overset{ { \white{ . } } } {  \phantom{  x-0,5(10-x)\geq 0}\quad\Longleftrightarrow\quad 3x\geq 10 } \\\overset{ { \white{ . } } } {  \phantom{  x-0,5(10-x)\geq 0}\quad\Longleftrightarrow\quad x\geq \dfrac{10}{3} } \\\\\text{Or }\quad \dfrac{10}{3}\approx3,333

Donc le plus petit entier naturel  \overset{ { \white{ . } } } {  x  }  vérifiant l'inéquation est  \overset{ { \white{ _. } } } { x=4   } .

Par conséquent, la note finale de Dominique est positive à partir de 4 bonnes réponses.


4. c)  Nous devons calculer  \overset{ { \white{ _. } } } { P(Y\leq 0)   } .

En nous aidant de la question précédente, nous obtenons :  \overset{ { \white{ _. } } } { P(Y\leq 0)=P(X\leq 3)   } .
La calculatrice nous donne :  \overset{ { \white{ _. } } } { P(X\leq 3)\approx 0,78   } .
D'où  \overset{ { \white{ _. } } } { \boxed{P(Y\leq 0)\approx 0,78}   } .


4. d)  Nous devons montrer que  \overset{ { \white{ _. } } } { Y=1,5X-5   } .

Supposons que Dominique a répondu correctement à  \overset{ { \white{ _. } } } {X   }  questions, ce qui lui a fait gagner  \overset{ { \white{ _. } } } { X   } points.
Dans ce cas, il a donné  \overset{ { \white{ _. } } } { 10-X   }  mauvaises réponses et a donc perdu  \overset{ { \white{ _. } } } { 0,5\times(10-X)   }  points.

Nous obtenons ainsi :

{ \white{ xxi } } Y=X-0,5(10-X) \\\overset{ { \white{ . } } } {  \phantom{   Y}=X-5+0,5X  } \\\overset{ { \white{ . } } } {  \phantom{   Y}=1,5X-5 } \\\\\Longrightarrow\quad\boxed{Y=1,5X-5}


4. e)  Nous devons l'espérance  \overset{ { \white{ _. } } } {  E(Y)  }  de la variable aléatoire  \overset{ { \white{ _. } } } {  Y } .

{ \white{ xxi } } E(Y)=1,5\times E(X)-5 \\\overset{ { \white{ . } } } {  \phantom{  E(Y)}=1,5\times 2,5-5  } \\\overset{ { \white{ . } } } {  \phantom{  E(Y)}=-1,25 } \\\\\Longrightarrow\quaq\boxed{E(Y)=-1,25}


5,25 points

exercice 4

Soit  \overset{ { \white{ -. } } } {  n  }  un entier naturel non nul.
Dans le cadre d'une expérience aléatoire, on considère une suite d'événements  \overset{ { \white{ _. } } } { A_n   }  et on note  \overset{ { \white{ _. } } } {  p_n  }  la probabilité de l'événement  \overset{ { \white{ _. } } } { A_n   } .
Pour les parties A et B de l'exercice, on considère que :

{ \white{ xxi } } \overset{ { \white{ . } } }{\bullet}{\white{x}} Si l'événement  \overset{ { \white{ _. } } } {  A_n  }  est réalisé alors l'événement  \overset{ { \white{ _. } } } { A_{n+1}   }  est réalisé avec une probabilité 0,3.
{ \white{ xxi } } \overset{ { \white{ . } } }{\bullet}{\white{x}} Si l'événement  \overset{ { \white{ _. } } } { A_n   }  n'est pas réalisé alors l'événement  \overset{ { \white{ _. } } } { A_{n+1}  }  est réalisé avec une probabilité 0,7.
On suppose que  \overset{ { \white{ _. } } } { p_1=1   } .

Partie A :

1.  Arbre des probabilités complété.

Bac spécialité maths 2025 Asie (remplacement) Jour 1 : image 14


2.  Nous devons montrer que  \overset{ { \white{ _. } } } {  p_3=0,58  } .

Les événements  \overset{{\white{_.}}}{A_2}  et  \overline{A_2}  forment une partition de l'univers.
En utilisant la formule des probabilités totales, nous obtenons :

{ \white{ xxi } }p_3=P(A_3)=P(A_2\cap A_3)+P(\overline{A_2}\cap A_3)  \\\overset{ { \white{ . } } } {\phantom{p_3=P(A_3)}=P(A_2)\times P_{A_2}(A_3)+P(\overline{A_2})\times P_{\overline{A_2}}(A_3)}  \\\overset{ { \white{ . } } } {\phantom{p_3=P(A_3)}=0,3\times0,3+0,7\times0,7}  \\\overset{ { \white{ . } } } {\phantom{p_3=P(A_3)}=0,58}  \\\\\Longrightarrow\quad\boxed{p_3=0,58}

3.  Nous devons calculer la probabilité conditionnelle  \overset{ { \white{ _. } } } {P_{A_3}(A_2)    } .

{ \white{ xxi } }   P_{A_3}(A_2)=\dfrac{P(A_2 \cap A_3)}{P(A_3)} \\\overset{ { \white{ . } } } {  \phantom{   P_{A_3}(A_2)}=\dfrac{P(A_2)\times P_{A_2}(A_3)}{P(A_3)}  } \\\overset{ { \white{ . } } } {  \phantom{   P_{A_3}(A_2)}=\dfrac{0,3\times0,3}{0,58}  } \\\overset{ { \phantom{ . } } } {  \phantom{   P_{A_3}(A_2)}=\dfrac{0,09}{0,58}=\dfrac{9}{58}  } \\\overset{ { \white{ . } } } {  \phantom{    P_{A_3}(A_2)}\approx0,16} \\\\\Longrightarrow\quad\boxed{   P_{A_3}(A_2)\approx0,16}

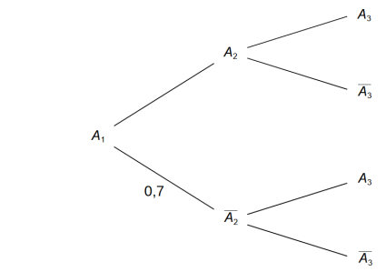
Partie B :

Dans cette partie, on étudie la suite  \overset{ { \white{ _. } } } { (p_n)   }  avec  \overset{ { \white{ _. } } } { n\geq 1   } .

1.  Arbre des probabilités complété.

Bac spécialité maths 2025 Asie (remplacement) Jour 1 : image 12


2. a)  Nous devons montrer que pour tout entier  \overset{ { \white{ _. } } } {  n\ge 1\; :\;  p_{n+1}=-0,4\,p_n+0,7 .  } 

Les événements  \overset{{\white{_.}}}{A_n}  et  \overline{A_n}  forment une partition de l'univers.
En utilisant la formule des probabilités totales, nous obtenons :

{ \white{ xxi } }P(A_{n+1})=P(A_n\cap A_{n+1})+P(\overline{A_n}\cap A_{n+1})  \\\overset{ { \white{ . } } } {\phantom{P(A_{n+1})}=P(A_n)\times P_{A_n}(A_{n+1})+P(\overline{A_n})\times P_{\overline{A_n}}(A_{n+1})}  \\\overset{ { \white{ . } } } {\phantom{P(A_{n+1})}=p_n\times0,3+(1-p_n)\times0,7} \\\overset{ { \phantom{ . } } } {\phantom{P(A_{n+1})}=0,3p_n+0,7-0,7p_n}  \\\overset{ { \white{ . } } } {\phantom{P(A_{n+1})}=-0,4p_n+0,7}  \\\\\Longrightarrow\quad\boxed{p_{n+1}=-0,4p_n+0,7}


On considère la suite  \overset{ { \white{ _. } } } { (u_n)   } , définie pour tout entier naturel  \overset{ { \white{ . } } } { n   }  non nul par :  \overset{ { \white{ _. } } } { u_n = p_n -0,5   } .

2. b)  Nous devons montrer que  \overset{ { \white{ _. } } } { (u_n)   }  est une suite géométrique dont on précisera la raison et le premier terme.

Pour tout entier naturel  \overset{ { \white{ . } } } { n   }  non nul,

{ \white{ xxi } } u_{n+1}=p_{n+1}-0,5 \\\overset{ { \white{ . } } } {  \phantom{u_{n+1}}=-0,4p_{n}+0,7-0,5  } \\\overset{ { \white{ . } } } {  \phantom{u_{n+1}}=-0,4p_{n}+0,2} \\\overset{ { \white{ . } } } {  \phantom{u_{n+1}}=-0,4(p_{n}-0,5)} \\\overset{ { \phantom{ . } } } {  \phantom{u_{n+1}}=-0,4u_n} \\\\\Longrightarrow\quad\boxed{\forall\,n\in\N^*,\quad u_{n+1}=-0,4u_n}

D'où  \overset{ { \white{ _. } } } { (u_n)   }  est une suite géométrique de raison  \overset{ { \white{ _. } } } { q=-0,4   }  et de premier terme  \overset{ { \white{ _. } } } { u_1=p_1-0,5=1-0,5=0,5   } .

2. c)  Nous devons en déduire l'expression de  \overset{ { \white{ . } } } {  u_n  } , puis de  \overset{ { \white{o. } } } { p_n  }  en fonction de  \overset{ { \white{ . } } } {  n  } .

Le terme général de la suite  \overset{ { \white{ _. } } } { (u_n)   }  est  \overset{{\white{.}}}{u_n=u_1\times q^{n-1}} .
Donc, pour tout [tex[\overset{{\white{.}}}{n\in\N^*,\quad\boxed{u_n=0,5\times(-0,4)^{n-1}}}[/tex]

De plus,

\forall\ n\in\N^*,\quad \begin{cases}u_n=p_n-0,5\\u_n=0,5\times(-0,4)^{n-1}\end{cases}\quad\Longrightarrow\quad p_n-0,5=0,5\times (-0,4)^{n-1} \\\overset{ { \white{ . } } } {  \phantom{   \forall\ n\in\N^*,\quad \begin{cases}u_n=p_n-0,5\\u_n=0,5\times(-0,4)^{n-1}\end{cases}d}  \Longrightarrow\quad\boxed{p_n=0,5+0,5\times(-0,4)^{n-1}}}


2. d)  Nous devons déterminer la limite de la suite  \overset{ { \white{ _. } } } { (p_n)   } .

{ \white{ xxi } }-1<-0,4<1\quad\Longrightarrow\quad\lim\limits_{n\to+\infty}(-0,4)^{n-1}=0 \\\overset{ { \white{ . } } } {  \phantom{   -1<-0,4<1}\quad\Longrightarrow\quad\lim\limits_{n\to+\infty}0,5\times(-0,4)^{n-1}=0  } \\\overset{ { \white{ . } } } {  \phantom{   -1<-0,4<1}\quad\Longrightarrow\quad\lim\limits_{n\to+\infty}\Big(0,5+0,5\times(-0,4)^{n-1}\Big)=0,5  } \\\overset{ { \white{ . } } } {  \phantom{   -1<-0,4<1}\quad\Longrightarrow\quad\boxed{\lim\limits_{n\to+\infty}p_n=0,5}  }


Partie C :

Soit  \overset{ { \white{ _. } } } {  x\in\;]0\;;\;1[  } .
On suppose que  \overset{ { \white{ _. } } } {  P_{\overline{A_n}}(A_{n+1})=P_{A_n}(\overline{A_{n+1}})=x  } .
On rappelle que  \overset{ { \white{ _. } } } { p_1=1   } .

1.  Nous devons montrer que pour tout entier naturel  \overset{ { \white{ _. } } } { n   }  non nul,  \overset{ { \white{ _. } } } { p_{n+1}=(1-2x)p_n+x   } .

Représentons la situation par un arbre pondéré.

Bac spécialité maths 2025 Asie (remplacement) Jour 1 : image 13


Les événements  \overset{{\white{_.}}}{A_n}  et  \overline{A_n}  forment une partition de l'univers.
En utilisant la formule des probabilités totales, nous obtenons :

{ \white{ xxi } }P(A_{n+1})=P(A_n\cap A_{n+1})+P(\overline{A_n}\cap A_{n+1})  \\\overset{ { \white{ . } } } {\phantom{P(A_{n+1})}=P(A_n)\times P_{A_n}(A_{n+1})+P(\overline{A_n})\times P_{\overline{A_n}}(A_{n+1})}  \\\overset{ { \white{ . } } } {\phantom{P(A_{n+1})}=p_n\times(1-x)+(1-p_n)\times x } \\\overset{ { \phantom{ . } } } {\phantom{P(A_{n+1})}=p_n-x\,p_n+x-x\,p_n} \\\overset{ { \phantom{ . } } } {\phantom{P(A_{n+1})}=p_n-2x\,p_n+x} \\\overset{ { \phantom{ . } } } {\phantom{P(A_{n+1})}=(1-2x)p_n+x}  \\\\\Longrightarrow\quad\boxed{p_{n+1}=(1-2x)p_n+x}


2.  Nous devons démontrer par récurrence sur  \overset{ { \white{ . } } } {   n }  que pour tout entier naturel  \overset{ { \white{ . } } } { n   }  non nul :

p_n=\dfrac 12(1-2x)^{n-1}+\dfrac 12

Initialisation  : Montrons que la propriété est vraie pour  \overset{ { \white{ _. } } } { n=1   } , soit que :  \overset{{\white{.}}}{p_1=\dfrac 12(1-2x)^{1-1}+\dfrac 12} .
C'est une évidence puisque  \overset{{\white{.}}}{\begin{cases} p_1=1\\\\\dfrac 12(1-2x)^{1-1}+\dfrac 12=\dfrac 12(1-2x)^{0}+\dfrac 12\\\overset{ { \phantom{ . } } } {  \phantom{  \dfrac 12(1-2x)^{1-1}+\dfrac 12}=\dfrac 12\times1+\dfrac 12 }  \\\overset{ { \phantom{ . } } } {  \phantom{  \dfrac 12(1-2x)^{1-1}+\dfrac 12}=1 }  \end{cases}} \quad\Longrightarrow\quad \boxed{p_1=\dfrac 12(1-2x)^{1-1}+\dfrac 12}
Donc l'initialisation est vraie.

Hérédité  : Montrons que si pour un nombre naturel non nul  \overset{ { \white{ -. } } } { n   }  fixé, la propriété est vraie au rang  \overset{ { \white{ -. } } } { n   }  , alors elle est encore vraie au rang  \overset{ { \white{ _. } } } {  n+1  } .
Montrons donc que si pour un nombre naturel non nul  \overset{ { \white{ -. } } } { n   }   fixé,  \overset{{\white{.}}}{p_n=\dfrac 12(1-2x)^{n-1}+\dfrac 12} , alors nous avons : \overset{{\white{.}}}{p_{n+1}=\dfrac 12(1-2x)^{n}+\dfrac 12} .

En effet,

{ \white{ xxi } }p_{n+1}=(1-2x)p_n+x \\\overset{ { \white{ . } } } {  \phantom{ p_{n+1}}=(1-2x)\left[\dfrac 12(1-2x)^{n-1}+\dfrac 12\right]+x } \\\overset{ { \white{ . } } } {  \phantom{ p_{n+1}}=\dfrac 12(1-2x)(1-2x)^{n-1}+\dfrac 12(1-2x)+x } \\\overset{ { \white{ . } } } {  \phantom{ p_{n+1}}=\dfrac 12(1-2x)^{n}+\dfrac 12-x+x } \\\overset{ { \phantom{ . } } } {  \phantom{ p_{n+1}}=\dfrac 12(1-2x)^{n}+\dfrac 12 } \\\\\Longrightarrow\quad\boxed{p_{n+1}=\dfrac 12(1-2x)^{n}+\dfrac 12 }
Donc l'hérédité est vraie.

Puisque l'initialisation et l'hérédité sont vraies, nous avons montré par récurrence que, pour tout entier naturel  \overset{ { \white{ . } } } { n   }  non nul,  \overset{{\white{.}}}{p_n=\dfrac 12(1-2x)^{n-1}+\dfrac 12}

3.  Nous devons montrer que la suite  \overset{ { \white{ o. } } } {  p_n  }  est convergente et donner sa limite.

{ \white{ xxi } }   x\in\;]0\;;\;1[\quad\Longrightarrow\quad 0 < x< 1 \\\overset{ { \white{ . } } } {  \phantom{x\in\;]0\;;\;1[}\quad\Longrightarrow\quad 0 < 2x< 2} \\\overset{ { \white{ . } } } {  \phantom{x\in\;]0\;;\;1[}\quad\Longrightarrow\quad -2 < -2x< 0} \\\overset{ { \white{ . } } } {  \phantom{x\in\;]0\;;\;1[}\quad\Longrightarrow\quad -1 < 1-2x< 1}
{ \white{ xxi } }  \\\overset{ { \white{ . } } } {  \phantom{x\in\;]0\;;\;1[}\quad\Longrightarrow\quad \lim\limits_{n\to+\infty}(1-2x)^{n-1}=0} \\\overset{ { \white{ . } } } {  \phantom{x\in\;]0\;;\;1[}\quad\Longrightarrow\quad \lim\limits_{n\to+\infty}\dfrac 12(1-2x)^{n-1}=0} \\\overset{ { \white{ . } } } {  \phantom{x\in\;]0\;;\;1[}\quad\Longrightarrow\quad \lim\limits_{n\to+\infty}\left(\dfrac 12(1-2x)^{n-1}+\dfrac 12\right)=\dfrac 12} \\\\\Longrightarrow\quad\boxed{\lim\limits_{n\to+\infty}p_n=\dfrac 12}

Par conséquent, la suite  \overset{ { \white{ o. } } } {  p_n  }  est convergente et sa limite est égale à  \overset{ { \white{ _. } } } {  \dfrac 12  } .
Merci à Hiphigenie et malou pour l'élaboration de cette contribution.
Publié le
ceci n'est qu'un extrait
Pour visualiser la totalité des cours vous devez vous inscrire / connecter (GRATUIT)
Inscription Gratuite se connecter
Merci à
Hiphigenie
/
malou Webmaster
pour avoir contribué à l'élaboration de cette fiche


Vous devez être membre accéder à ce service...

Pas encore inscrit ?

1 compte par personne, multi-compte interdit !

Ou identifiez-vous :


Rester sur la page

Inscription gratuite

Fiches en rapport

parmi 1768 fiches de maths

Désolé, votre version d'Internet Explorer est plus que périmée ! Merci de le mettre à jour ou de télécharger Firefox ou Google Chrome pour utiliser le site. Votre ordinateur vous remerciera !