Yop to all,
J'ai un exo à préparer pour mes partiels sur la loi uniforme. J'ai fait mon exo, mais la fin me laisse plus que sceptique. Est-ce qu'il serait possible d'avoir des retours de gens qui s'y connaissent mieux que moi svp ?
Voilà l'énoncé :
Citation :
a. Soit Y une va de loi uniforme U([0,1]) et a un réel strictement négatif. Déterminer la loi de la va aY.
b. Soient X et Y deux va indépendantes de même loi uniforme U([0,1]). Déduire de la question précédente la loi de X-Y (on pourra s'aider de la convolution). Retrouver, à l'aide de sa densité, mais sans aucun calcul, l'espérance de X-Y.
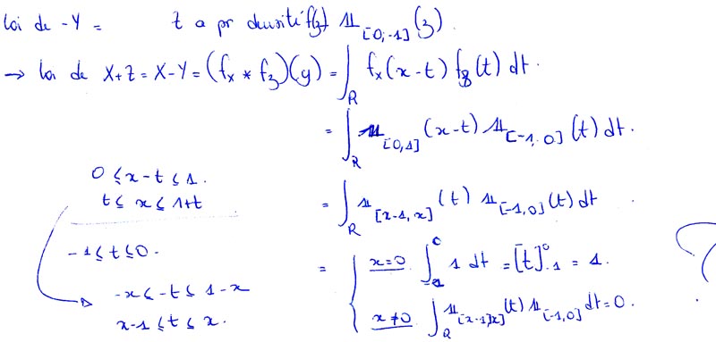
Alors, pour la question a. je suis passé par une fonction PHI, et j'en ai déduis que Z=aY avait pour densité (1/a)*Indicatrice de z sur [a,0]
Pour la question b. j'ai utilisé ce résultat, donc la va -Y suit une loi de densité -1*Indicatrice de y sur [-1;0].Je suis passé par une convolution pour parvenir au résultat que je mets en image, mais ça me parait complètement faux. Je pense que le souci vient du passage aux bornes de l'intégrale via les indicatrices, mais j'en suis pas certain..
Merci d'avances à ceux qui accepteront de se pencher sur mon cas
Loïc
Ps. Sur mon papier, à la toute première ligne, j'ai inversé les bornes de mon indicatrice, c'est évidemment une erreur!
