Inscription / Connexion Nouveau Sujet
Niveau Reprise d'études
Partager :

Calcul d'un Jacobien

Posté par
mikel83
20-11-24 à 18:19

Bonjour!
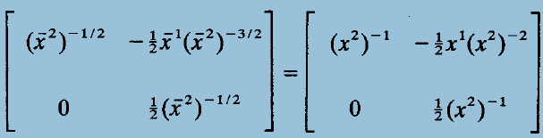
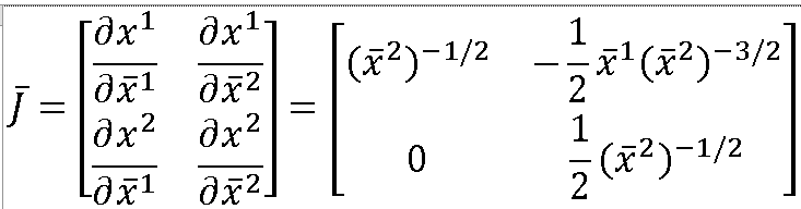
Dans un  calcul de Jacobien, j'ai trouvé: (image 1)
Le  corrigé  me donne: (image 2)
Comment passe t-on de la 1ère matrice à la  2ème matrice  du résultat ?

Calcul d\'un Jacobien

Calcul d\'un Jacobien

Posté par
mikel83
re : Calcul d'un Jacobien 20-11-24 à 18:29

Oups! Je n'avais pas vu que  cette 2ème matrice est exprimée dans le système de coordonnés d'origine ...
Désolé, je n'ai pas trouvé comment annuler la demande d'aide ...
Cordialement, Mikel



Vous devez être membre accéder à ce service...

Pas encore inscrit ?

1 compte par personne, multi-compte interdit !

Ou identifiez-vous :


Rester sur la page

Inscription gratuite

Fiches en rapport

parmi 1760 fiches de maths

Désolé, votre version d'Internet Explorer est plus que périmée ! Merci de le mettre à jour ou de télécharger Firefox ou Google Chrome pour utiliser le site. Votre ordinateur vous remerciera !