Bonjour à tous!
Je veux calculer l'aire d'un secteur d'ellipse de rayon a (grand rayon) et b (petit rayon).
Le secteur d'ellipse étant orienté selon l'axe d'un rayon.
Pouvez vous m'aider, si vous voulez plus de précisions je vous répondrai sous peu
Merci
a et b sont les deux rayons qui définissent l'ellipse, ils sont perpendiculaires entre eux.
Le secteur
est dirigée sur la direction d'un rayon
voici un petit croquis
Avez vous une petite piste pour caculer l'aire de ce secteur d'ellipse
Merci d'avance
Je ne comprends pas votre figure.
est-ce que alpha = pi/2 ?
Mais ce n'est pas suffisant : par quoi est définie la position du premier rayon par rapport à un axe de l'ellispe ?
Non l'angle alpha est quelconque.
Ce que j'ai appelé rayons, sont les axes d'ellipse
OK, alpha est donné et quelconque. Donc l'angle d'ouverture du secteur est bien défini par la donnée de alpha.
Mais cela n'est pas suffisant pour que le secteur soit défini et donc que l'on puisse calculer son aire.
Par quoi est définie la position du secteur par rapport à un axe de l'ellipse ?
je crois l'avoir énoncé dans mon premier message:
l'angle est orienté selonun axe
c'est à dire quel'axe est la bissectrice de l'angle
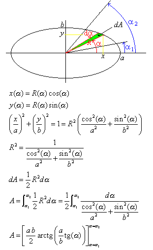
Avec la figure jointe et en fixant les angles alpha1 et alpha2 comme vous le voulez, vous pourrez trouver le résultat.

merci beaucoup JJa
peut tu me donner ton raisonnement ou une adresse ou je peux voir la démonstration
Merci beaucoup
Vous devez être membre accéder à ce service...
Pas encore inscrit ?
1 compte par personne, multi-compte interdit !
Ou identifiez-vous :