Bonjour, j'ai un exercice à faire, et je suis plutôt embêtée.
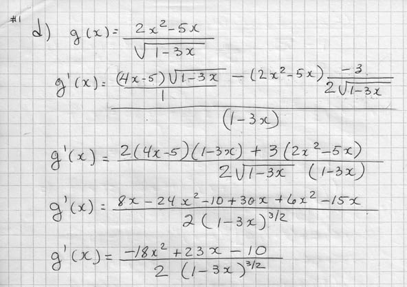
Voici la correction (en photo), mais à la troisième ligne, la prof dans son corrigé, a mis un 2 devant le (4x-5) et le terme (1-3x) au carré pour éliminer la racine. Je sais qu'il est question de mettre au même dénominateur commun, et je comprends que le 2 provient du terme (1-3x)^1/2 du dénominateur monté au numérateur et transformé à l'exposant -1/2 qu'on place devant le terme quand on le dérive; mais je ne comprends pas comment faire pour le (1-3x) (avant le -) pour le mettre au carré et éliminer sa racine carrée... Quelqu'un peux me scanner l'exercie avec l'étape intermédiaire qui le prouve, s'il vous plaît? Voici l'image de l'exercice...
Ps- mon cours s'appelle Calcul différentiel, et est au niveau du cégep au Québec. Ils couvre la matière des dérivées, en général.
Merci de votre réponse et joyeuses pâques!

pour faire plus simple, compose tes fonctions
.
Ainsi et la dérivée d'une telle fonction est:
et tu trouveras le résultat
Bonjour joyeuse fêtes ...
Je suis même as sur d'avoir compris ta question , mais si c'est le cas ...
Merci à tous pour vos réponses rapides. J'ai pigé, comme vous dites. En fait, il s'agit de multiplier le numérateur par 2 et la racine d'1-3x, ce qui l'augment au carré, nécessairement. Merci pour la rapidité! Gentil à vous! Et bonne journée. Ps- Monsieur green: j'ai pas vu ces termes au Québec, mais bien essayé! Merci pareil!
Bonjour.
J'espère que ce n'est pas trop tard pour rectifier.
@Green.
Vous avez une faute de frappe dans la formule que vous avez énoncée: il manque le 'prime' dans le dernier . Elle doit s'écrire:
.
@Mlle_Qui_Rit
Grenn a utilisé les formules de dérivation d'un produit usuel de fonctions et la dérivée de la composée de 2 fonctions:
En utilisant la formule qu'il a donnée (après correction) avec , on obtiendra:
et
Oui en effet, et j'ai d'ailleurs fais une petite erreur dans ma formule
Mais bon, delta-B a très bien résumé la situation,
voilà 
Vous devez être membre accéder à ce service...
Pas encore inscrit ?
1 compte par personne, multi-compte interdit !
Ou identifiez-vous :