Inscription / Connexion Nouveau Sujet
Niveau Licence Maths 1e ann
Partager :

dérivée partielle

Posté par
-Romane-
14-09-11 à 11:48

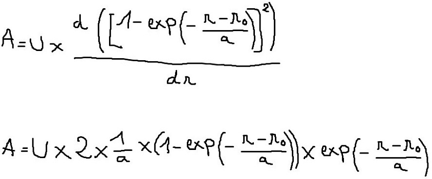
Bonjour, pourriez vous m'aider à comprendre comment a été fait ce calcul de manière détaillée, quelles formules de maths a t on utilisé ?
Peu importe la signification des variables, ici c'est le calcul qui m'intéresse..
Je l'ai écrit avec paint pour que ce soit plus lisible, j'aurais mis trop de temps avec le LaTeX

Merci beaucoup

dérivée partielle

Posté par
mimath
re : dérivée partielle 14-09-11 à 11:58

Bonjour,

Tu dérives par rapport à r, donc r0 et a sont considérés comme constantes.
Tu as 2 formules à appliquer pour parvenir facilement à ton résultat.
(un)' = n*u'*un-1
(eu)' = u'*eu

Montre tes calculs, et si tu n'y parviens pas, je te mettrai le détail.

Posté par
-Romane-
re : dérivée partielle 14-09-11 à 12:08

Bonjour, merci de venir m'aider

(eu)' = u'*eu explique le 2 (multiplié par U à la deuxième ligne) mais malgré ces formules j'ai encore du mal.. Peux tu me montrer les détails ?  j'aimerais vraiment comprendre

Je pense que tu peux te dispenser du LaTeX aussi ^^

Posté par
mimath
re : dérivée partielle 14-09-11 à 12:32

Je m'en serai dispensé dans tous les cas puisque je ne le maîtrise pas
Alors, on commence par appliquer : (un)' = n * u' * un-1, tout en sachant qu'on dérive par rapport à r comme précisé ci dessus, et en posant u = 1 - e- (r - r0)/a

/r (1 - e- (r - r0)/a)² = 2 * u' * ( 1 - e- (r - r0)/a )

u' = ( 1 - e- (r - r0)/a ) ' . Ici on utilise (eb)' = b' * eb avec b = (r - r0)/a
On a donc u' = 1/a * e- (r - r0)/a : le (1/a) vient du fait que /r (r - r0)/a = (1/a) * (r-r0)'

Mis bout à bout, on obtient ton résultat

Posté par
-Romane-
re : dérivée partielle 14-09-11 à 17:06

Il n'y a que le calcul de u' que je ne comprends pas.
\Large u = ( 1 - e^{-r-r_0 \times \frac{1}{a} )
et \Large (e^b)' = b' \times e^b avec \Large b = \frac{- r-r_0}{a}

Pourquoi il n'y a que 1/a qui sort ? On ne calcule pas  (r-r0)' ?

Posté par
mimath
re : dérivée partielle 14-09-11 à 23:35

Etant donnée que c'est une dérivée par rapport à r et uniquement par rapport à celui ci, r0 et a, sont considérés comme constantes.
Pour te simplifier, si tu poses a = une constante, (r)' = , ok jusque là ?
Donc si l'on ne prend que /r (r-r0) / a, on obtient donc 1/a car :

/r (r-r0) / a
= 1/a /r (r-r0)
= 1/a car r' = 1 et r0= 0 car constante comme expliqué à maintes reprises

Posté par
mimath
re : dérivée partielle 14-09-11 à 23:36

(r0)' = 0 pardon.

Posté par
-Romane-
re : dérivée partielle 15-09-11 à 09:24

Je croyais que dans les dérivées partielles on conservait les constantes !

Posté par
-Romane-
re : dérivée partielle 15-09-11 à 09:36

Tu écris qui signifie dérivée partielle

Posté par
-Romane-
re : dérivée partielle 15-09-11 à 09:37

alors que dans mon premier message j'ai écrit "d"

Posté par
mimath
re : dérivée partielle 15-09-11 à 23:14

Tu conserves les constantes par exemple quand tu as un produit, du style /r r*r0 = r0 mais pour r-r0 non pas du tout.
Ensuite, oui effectivement, là j'ai parlé de dérivée partielle, parce que ton premier message faisait apparaitre du r0 et un "a" et que tu n'as rien précisé dessus, mais comme j'ai dérivé toujours par rapport à "r" ( ton " d r " à toi ), il n'y a aucun problème, simplement, peut être, de notation, pour les plus pointilleux d'entre nous



Vous devez être membre accéder à ce service...

Pas encore inscrit ?

1 compte par personne, multi-compte interdit !

Ou identifiez-vous :


Rester sur la page

Inscription gratuite

Fiches en rapport

parmi 1760 fiches de maths

Désolé, votre version d'Internet Explorer est plus que périmée ! Merci de le mettre à jour ou de télécharger Firefox ou Google Chrome pour utiliser le site. Votre ordinateur vous remerciera !