Inscription / Connexion Nouveau Sujet
Niveau Maths sup
Partager :

équation différentielle

Posté par
Seif
17-05-11 à 00:59

slt , quelle est la solution de l'équation différentielle : (2+x)y'=2-y ?????

Posté par
carpediem
re : équation différentielle 17-05-11 à 01:04

salut

donc (2+x)y' + y = 2 et on reconnait une équation différentielle linéaire du premier ordre ....

quelle est la difficulté ?

Posté par
Seif
re : équation différentielle 17-05-11 à 01:09

la difficulté est lorsque que je trouve la solution particuliére je vérifie elle dans l'équation diff je ne trouve pas qu'elle est égale à 2 .
je trouve la solution homogéne égale à /(2+x) et la solution particuliére égale à (x^2+4x)/(2+x) par la méthode de variation du constante

Posté par
carpediem
re : équation différentielle 17-05-11 à 01:15

alors c'est qu'il y a erreur .....

et si tu essaies y = ax + b  alors y' = a

donc 2a=0 et 2a+b = 2

donc la fonction constante x --> 2 est une solution particulière ce que l'on voyait directement d'ailleurs ...

Posté par
Seif
re : équation différentielle 17-05-11 à 01:20

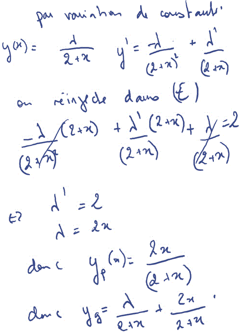
oui mais je veux savoir comment la trouver par la méthode de variation de constante s'il vous plait??

Posté par
Yggdrasyll
re : équation différentielle 17-05-11 à 01:43

bonsoir
je t'envoies une correction détaillées

si tu as compris essayes de l'expliquer sur ce topic

Posté par
Seif
re : équation différentielle 17-05-11 à 01:47

ok

Posté par
Yggdrasyll
re : équation différentielle 17-05-11 à 02:20

bon je le poste

équation différentielle

Posté par
elhor_abdelali Correcteur
re : équation différentielle 17-05-11 à 02:36

Bonjour ,

on pourra aussi remarquer que 5$\fbox{(2+x)y^'+y=\left((2+x)y\right)^'}



Vous devez être membre accéder à ce service...

Pas encore inscrit ?

1 compte par personne, multi-compte interdit !

Ou identifiez-vous :


Rester sur la page

Inscription gratuite

Fiches en rapport

parmi 1768 fiches de maths

Désolé, votre version d'Internet Explorer est plus que périmée ! Merci de le mettre à jour ou de télécharger Firefox ou Google Chrome pour utiliser le site. Votre ordinateur vous remerciera !