Inscription / Connexion Nouveau Sujet

1 2 +


Niveau terminale
Partager :

Équations polynomiales

Posté par
Nunusse
26-10-20 à 20:33

Bonsoir,

J'ai un blocage avec un exercice dans lequel on considère le polynôme P défini sur C par:
P(z)=az3+bz2+cz+d où a non nul. P possède 3 racines distinctes: z1, z2 et z3. Je dois écrire la forme factoriser de P(z) et développer cette forme.

Posté par
Pirho
re : Équations polynomiales 26-10-20 à 20:36

Bonsoir,

pense à l'expression relative aux  polynômes du 2d degré

Posté par
Nunusse
re : Équations polynomiales 27-10-20 à 11:39

Lorsque j'ai ax2+bx+c sa forme factorisée est a(x-x1)(x-x2).
Donc si c'est un polynôme du 3ème degrés j'ai: a(z-z1)(z-z2)(z-z3) ? je ne sais pas si marche comme ça.

Posté par
carita
re : Équations polynomiales 27-10-20 à 12:04

bonjour

en l'absence de Pirho que je salue et qui reprend la main dès qu'il le peut.

oui, c'est la factorisation.

Posté par
Nunusse
re : Équations polynomiales 27-10-20 à 12:23

Ok ça marche donc j'ai factorisé sa forme développée me donne:
az-az1+az-az2+az-3.

Posté par
Nunusse
re : Équations polynomiales 27-10-20 à 12:24

az-az1+az-az2+az-az3 plutôt

Posté par
carita
re : Équations polynomiales 27-10-20 à 12:26

hum ça m'étonnerait

ce que tu écrit là est une forme développée, et qui n'a rien à voir avec le développement de a(z-z1)(z-z2)(z-z3)

montre ce que tu as fait

Posté par
carita
re : Équations polynomiales 27-10-20 à 12:30

normalement, dans la forme correctement développée, tu dois avoir des termes de degré 3, 2, 1 et 0.

sur ce que tu trouves, je vois des termes en z (degré 1) et des constantes.
pas de degré 2 ni 3

Posté par
Nunusse
re : Équations polynomiales 27-10-20 à 12:31

Oui en effet je suis en train de refaire le calcul, je me suis trompée dans mon développement.

Posté par
Nunusse
re : Équations polynomiales 27-10-20 à 12:37

Cela me donne donc:
P(z)= az3-azz3-az2z2-azz2z3-z2z1-zz1z3+zz2z1-z2z1z3

Posté par
carita
re : Équations polynomiales 27-10-20 à 12:44

non reste des erreurs

garde "a" sans le distribuer (en facteur, tu le distribueras à la fin)
si tu développes tout, avant réduction tu dois en effet compter 8 termes.

tu peux commencer par développer (z-z1)(z-z2) ,
pour limiter les erreurs.  (montre déjà ce que tu trouves là)

puis quand tu as fini ton développement, regroupe les termes par degré décroissant

tu dois trouver une forme a(z³ + Az² + Bz + C)
où A, B et C sont exprimés en fonction de z1, z2 et z3

Posté par
Nunusse
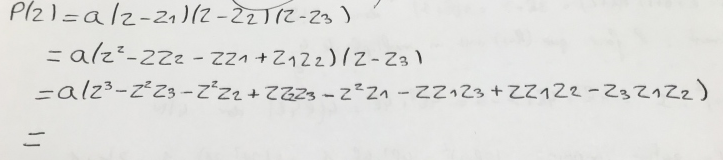
re : Équations polynomiales 27-10-20 à 12:54

je trouve donc ceci:

** image tournée et gardée exceptionnellement **
Équations polynomiales

Posté par
carita
re : Équations polynomiales 27-10-20 à 13:01

aïe tu vas te faire gronder, les scans sont interdits !
tu dois tout taper au clavier...

c'est mieux, juste une erreur de signe sur le 6ème terme, c'est  + zz1z3

à présent, regroupe les termes par degré décroissant, comme indiqué ci-dessus.
à la fin, tu distribueras ton "a" pour que le développement soit complet.

Posté par
mathafou Moderateur
re : Équations polynomiales 27-10-20 à 13:10

Bonjour,

vu que carita à répondu sur ce calcul, je le laisse en photo pour garder du sens à la discussion

mais toute récidive serait sanctionnée, et avec suppression immédiate de l'image !
à lire : le règlement Sujet ancien- ne plus donner ce lien-merci et la FAQ [lien]
(en particulier la question Q05 sur les images autorisées)

modérateur.

Posté par
Nunusse
re : Équations polynomiales 27-10-20 à 13:34

Ah désolé je pensais que l'on avait pas le droit de prendre en photo uniquement l'exercice comment je peux supprimer la photo ?

Sinon merci beaucoup.

Posté par
Nunusse
re : Équations polynomiales 27-10-20 à 13:41

Après avoir ordonné j'ai:
P(z)=az3+az2(-z3-z2-z1)+az(z2z3+z1z3+z1z2)-az3z1z2

Posté par
mathafou Moderateur
re : Équations polynomiales 27-10-20 à 13:48

Citation :
comment je peux supprimer la photo
on ne peut pas (seuls les modérateurs le peuvent) mais comme j'ai dit si on la supprime maintenant, la discussion sur son contenu n'a plus de sens, on la garde donc (par indulgence).
et on va poursuivre sur le fond (sur les calculs effectués et à suivre)

Posté par
carita
re : Équations polynomiales 27-10-20 à 13:52

ton développement est bon
on peut écrire aussi,
P(z)=az3- az2(z3+z2+z1)+az(z2z3+z1z3+z1z2)-az3z1z2

pour les questions suivantes, tu sais faire ?

Posté par
Nunusse
re : Équations polynomiales 27-10-20 à 14:18

Ok ça marche merci
Et je ne sais pas je vais d'abord essayer de faire en autonomie.

Posté par
Nunusse
re : Équations polynomiales 27-10-20 à 14:43

La question suivante consiste à déterminer , en fonction de a, b, c et d, z1+z2+z3 (j'ai trouvé -b/a), z1z2+z2z3+z1z3 (j'ai trouvé c/a) et z1z2z3 (-d/a). J'ai trouvé mes résultats grâce à la technique de l'identification.
Cependant mes résultats me semblent étranges car dans les exemples vus en classe les résultats ne se ressemblent pas.

Posté par
carita
re : Équations polynomiales 27-10-20 à 15:22

tes résultats sont exacts.

pourquoi dis-tu que ces résultats sont étranges ?
montre ton exemple de cours.

Posté par
Nunusse
re : Équations polynomiales 27-10-20 à 15:36

Ah d'accord merci je pense que c'est parce que dans mon cours nous avons étudier des cas concrets.  

Posté par
carita
re : Équations polynomiales 27-10-20 à 15:45

oui, à partir d'un cas concret, où a, b, c et d sont connus, ainsi que les 3 racines z1, z2 et z3,
tu peux vérifier tes résultats ici, qui sont valables pour tout polynôme de degré 3.

bonne continuation !

Posté par
Nunusse
re : Équations polynomiales 28-10-20 à 14:23

merci j'en aurais besoin car maintenant je dois montrer que Q polynôme défini dans C par:
Q(z)= 18z3-27z2+13z-2
possède 3 racines réelles x1, x2 et x3 que l'on ne cherchera pas à calculer.

Merci d'avance de votre aide svp

Posté par
Nunusse
re : Équations polynomiales 28-10-20 à 15:38

Je sais qu'il y a 3 racines car c'est un polynôme de degrés 3 cependant je ne sais pas comment montrer que ses racines sont réelles.

Posté par
Nunusse
re : Équations polynomiales 28-10-20 à 15:39

Ahhh a moins que je calcule le discriminant et que je regarde son signe.

Posté par
Nunusse
re : Équations polynomiales 28-10-20 à 16:36

Je viens de me rendre compte que je ne peux pas calculer le discriminant car c'est un polynôme de degrés 3. Pourriez vous m'aider svp ?

Posté par
carita
re : Équations polynomiales 28-10-20 à 18:18

bonsoir Nunusse

excuse-moi, pas très disponible aujourd'hui, mais j'avais vu ta question et elle m'a trottée dans la tête.

en fait, je n'ai pas la réponse, juste quelques réflexions : peut-être en raisonnant par l'absurde ?

en utilisant les réponses aux questions précédentes, on sait que la somme, le produit et x1x2+x1x3+x2x3   sont tous trois des réels.

1) on sait que la courbe représentative intersecte au moins une fois l'axe des réels, donc il y a au moins une racine réelle

2) cas une seule racine complexe (avec partie imaginaire non nulle) :
dans ce cas, l'addition des 3 racines sera forcément complexe, idem pour la multiplication, donc pas possible

2) cas 2 racines complexes  (avec parties imaginaires non nulles) :
là ça se complique
car si les 2 complexes soit conjugués l'un de l'autre, les somme, produit etc. soient réels.

une méthode serait peut-être de poser x[sub]1= mi + p    (j'évite les a, b x, et y)
et  x[sub]2= m'i + p '      (mm'0)
de poser un système avec les somme, produit, etc.,
et de voir qu'on arrive à des parties imaginaires nulles.

sans conviction, car je n'ai pas le temps dans l'immédiat d'essayer la piste.
et peut-être bien que la réponse est beaucoup plus simple !

je signale le topic, un autre aidant saura sans doute mieux que moi et t'évitera des calculs inutiles.

Posté par
Nunusse
re : Équations polynomiales 28-10-20 à 18:36

Ce n'est pas grave j'ai encore jusqu'à lundi pour le rendre. Cependant je n'ai pas très bien compris ce que vous m'avez expliqué.

Posté par
sanantonio312
re : Équations polynomiales 28-10-20 à 18:43

Citation :
merci j'en aurais besoin car maintenant je dois montrer que Q polynôme défini dans C par:
Q(z)= 18z3-27z2+13z-2
possède 3 racines réelles x1, x2 et x3 que l'on ne cherchera pas à calculer.

Merci d'avance de votre aide svp

Bonjour, juste une confirmation s'il te plaît: s'agit-il bien du même exercice?
Dans lequel il faut tenir compte des résultats précédents?

Posté par
Nunusse
re : Équations polynomiales 28-10-20 à 18:45

Oui, c'est dans le même exercice. En revanche ce n'est pas précisé de prendre en compte les résultats précédents.

Posté par
sanantonio312
re : Équations polynomiales 28-10-20 à 18:48

Dans ce cas, tu peux étudier la fonction Q(x) dans
Mais je crains que ça ne soit pas ce qu'on te demande

Posté par
Nunusse
re : Équations polynomiales 28-10-20 à 18:50

Comment je peux l'étudier ? Je peux aussi chercher ses racines évidentes ?

Posté par
sanantonio312
re : Équations polynomiales 28-10-20 à 18:52

Étudier  = dérivée  tableau de variations....
Racine évidente: oui, tu peux en chercher une

Posté par
sanantonio312
re : Équations polynomiales 28-10-20 à 19:08

Il y a une racine (presque evidente), mais on te demande de ne pas chercher à les déterminer...

Posté par
Nunusse
re : Équations polynomiales 28-10-20 à 19:19

Oui en effet il y'a 0,5 mais si je factorise par (z-0,5) ?
J'aurais: Q(z)= (z-0,5)(az2+bz+c)
J'utilise ensuite le principe d'identification puis j'aurais a, b et c et je pourrais commencer à résoudre l'équation de ce polynôme factorisé qui sera plus simple en utiliser le théorème d'un produit nul si et seulement si l'un de ses facteurs et nul.
je trouverais que la première racine vaut 0,5. Ensuite pour (az2+bz+c) je regarderais le signe du discriminant qui devrait être supérieur à zéro. Par conséquent j'aurais uniquement des racines réelles.

Posté par
sanantonio312
re : Équations polynomiales 28-10-20 à 19:23

Oui. C'est ça.
Reste à savoir si c'est satisfaisant vis à vis de l'énoncé

Posté par
Nunusse
re : Équations polynomiales 28-10-20 à 19:25

Super merci et je pense oui car je ne chercherais pas les valeurs des autres racines, je m'arrêterais au signe du discriminant. j'espère surtout que le discriminant positif ce que je vais vérifier tout de suite.

Posté par
carita
re : Équations polynomiales 28-10-20 à 20:09

je partage mon calcul...
celui dont je parlais, à savoir poser un système avec pour hypothèse :
1 racine réelle x1 (non nulle)
et 2 racines complexes quelconques (pas forcément conjuguées),
et en utilisant les résultats de la 1ère question.

j'arrive rapidement à montrer que les deux complexes sont conjugués l'un de l'autre.
en poursuivant les calculs, j'arrive à une équation en x1, du second degré, dont le discriminant est négatif, i.e. pas de solution réelle pour x1.

donc hypothèse fausse, donc pas de racine complexe.

en revanche, je ne sais pas si c'est la meilleure façon de répondre à la question posée par l'énoncé…

Posté par
carita
re : Équations polynomiales 28-10-20 à 20:09

et grand merci sanantonio312 de t'être penché sur le sujet

Posté par
sanantonio312
re : Équations polynomiales 28-10-20 à 21:24

De rien carita
Bonne soirée

Posté par
Nunusse
re : Équations polynomiales 29-10-20 à 16:14

Bonjour,

La question suivante de cet exercice est de déterminer la valeur de 1/x1+1/x2+1/x3 grâce aux formules Viète que j'ai trouvé précédemment. Je sais que l'expression de z1+z2+z3 est -b/a. Cependant je ne sais pas si j'ai le droit de faire 1/-b/a car la question me demande de déterminer les inverses des racines.

Merci d'avance pour votre aide.

Posté par
carita
re : Équations polynomiales 29-10-20 à 16:36

bonjour

commence par mettre 1/x1+1/x2+1/x3 sur dénominateur commun...

Posté par
Nunusse
re : Équations polynomiales 29-10-20 à 19:50

ah oui merci en effet cela m'a beaucoup aider

Posté par
Nunusse
re : Équations polynomiales 29-10-20 à 19:51

aidé*

Posté par
carita
re : Équations polynomiales 29-10-20 à 19:52



par curiosité : tu reviendras nous dire la méthode attendue,
quand tu auras le corrigé ? (pour la seconde question).
on veut savoir ! !

bonne soirée

Posté par
Nunusse
re : Équations polynomiales 29-10-20 à 19:55

J'ai donc trouvé c/a/-d/a ce qui me donne au final 13/162

Posté par
Nunusse
re : Équations polynomiales 29-10-20 à 19:55

oui bien sûr

Posté par
Nunusse
re : Équations polynomiales 29-10-20 à 20:12

Excusez moi de vous déranger encore (décidément ce dm...), mais j'ai encore besoin d'aide svp.
la question suivante me demande de déterminer un polynôme de degrés 3 ayant trois racines. Je sais que z1+z2+z3=17
z1z2+z2z3+z1z3=94
z1z2z3=168
Je sais donc que dans un polynôme supposons R(z) de forme
R(z)=az3+az2+cz+d
On a en m'aidant des formules de Viète:
-b/a=17
c/a=94
-d/a=168

Je pense que je suis supposé faire un système mais j'ai vraiment du mal.

Posté par
carita
re : Équations polynomiales 29-10-20 à 21:29

c'est un DM à tiroirs ?

on doit donc déterminer un polynôme de degré 3, R(z)=az³+az²+cz+d
et non pas trouver les valeurs des racines.

tu as posé le bon système
-b/a=17
c/a=94
-d/a=168

3 équations pour 4 inconnues (a,b,c et d)
cela signifie que 3 variables vont s'exprimer en fonction de la 4ème.

et donc une infinité de polynômes possibles (d'où le "un polynôme ")

tu n'as besoin que du système que tu as posé... ça t'aide à avancer?

1 2 +




Vous devez être membre accéder à ce service...

Pas encore inscrit ?

1 compte par personne, multi-compte interdit !

Ou identifiez-vous :


Rester sur la page

Inscription gratuite

Fiches en rapport

parmi 1766 fiches de maths

Désolé, votre version d'Internet Explorer est plus que périmée ! Merci de le mettre à jour ou de télécharger Firefox ou Google Chrome pour utiliser le site. Votre ordinateur vous remerciera !