slt
je me demande
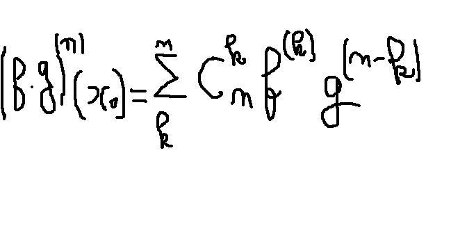
a koi sert cette formule est comment l appliquer?
Cela permet de définir une equation inconnue en fonction de fonctions connues pour la simplification et le calcule
est ce ke il est obliger ke les 2 fonction f et g sont dérivables sur x0 

Sauf erreur elle permet de calculer la dérivée nième d'un produit de deux fonctions...je vois pas trop où est le problème.
si f et g ne sont pas n fois dérivables je vois pas trop comment on pourrait appliquer la formule ...
C est un forum de maths, soyons indulgent.
J ai connu ca etant plus jeune...
Certes mais c'est une question de correction...
De plus, en 6éme c'est pardonable, mais étudier la formule de liebniz sans savoir différencier "ses" et "ces", c'est un peu le monde à l'envers.
C est à cause de calcul que j ai oublié comment écrire les mots lol

Vous devez être membre accéder à ce service...
Pas encore inscrit ?
1 compte par personne, multi-compte interdit !
Ou identifiez-vous :