Bonjour à tous,
Je planche actuellement sur cette primitive :
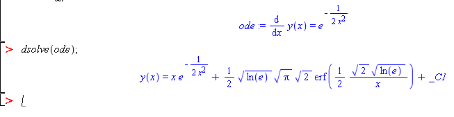
Mapple me sort un truc immonde ( voir image attaché )
Et je me demande par quelle moyens on peut la calculer manuellement ^^ Merci d'avance.

Salut
Comme tu le vois, Maple te sort la fonction erf (fonction erreur) qui correspond à la fonction .
Pour s'y ramener, on effectue le changement de variable t=1/(2x²) et on effectue après une IPP.
Salut Dahevos,
qu'y-a-t'il "d'immonde" dans la réponse donnée par Mapple ?
Est-ce que c'est parcequ'il n'a pas simplifié ln(e)=1 ?
A part cela, c'est une simple intégration par partie.
Il est clair que, par exemple, si on demande une primitive de 1/x à quelqu'un qui ne connaît pas la fonction ln(x), il ne saura pas répondre. Et s'il voit cette fonction donnée par Mapple, il dira "je ne comprend pas, Mapple sort une formule immonde" !
De même, si on demande une primitive de exp(-x²) à quelqu'un qui ne connaît pas la fonction erf(x), il ne saura pas répondre. Et s'il voit la formule donnée par Mapple avec erf(x) dedans, il dira "je ne comprend pas, Mapple sort une formule immonde" !
Mais ne t'inquiète pas, tu n'est pas le premier à être surpris par une fonction inconnue des uns et bien connue des autres. Il y a un article à ce sujet dans le magazine QUADRATURE n°55, pages 6-16, janvier 2005.
pourquoi tu utilises dsolve ? Je suis sur que si tu utilisais l'expression suivante, tu auras une réponse plus claire :
int(f(x),x);
(avec f(x) ta fonction ...)
Vous devez être membre accéder à ce service...
Pas encore inscrit ?
1 compte par personne, multi-compte interdit !
Ou identifiez-vous :