Inscription / Connexion Nouveau Sujet
Niveau Licence Maths 1e ann
Partager :

Problème avec Maple (série géométrique)

Posté par
avrl
21-05-09 à 15:31

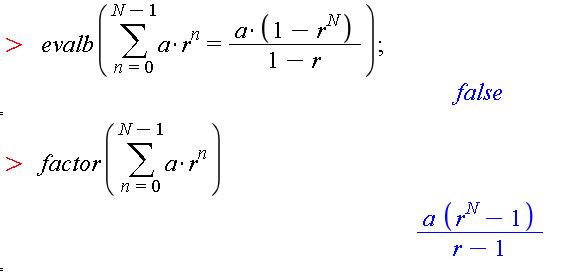
Bonjour
je ne comprends pas pourquoi maple me donne ces mauvais résultats !!??
Avez vous une idée?

Problème avec Maple (série géométrique)

Posté par
imaginaire
re : Problème avec Maple (série géométrique) 21-05-09 à 15:57

dans evalb le b est mis pour booléen
il te renverra true ou false pour l'égalité demandée

factor va te factoriser le terme, ici vu que c'est une suite géométrique il va te donner ce qu'elle vaut

en quoi sont ils faux ?

Posté par
avrl
re : Problème avec Maple (série géométrique) 21-05-09 à 16:49

Mais justement dans la première ligne, ça devrait renvoyer "true" car l'expression est bonne !!

Posté par
imaginaire
re : Problème avec Maple (série géométrique) 21-05-09 à 18:27

En effet, je n'avais pas fait le lien entre les deux
D'après le help :
Important: The evalb command does not simplify expressions. It may return false for a relation that is true. In such a case, apply a simplification to the relation before using evalb

Rmq : la différence = 0 renvoie false aussi

Posté par
avrl
re : Problème avec Maple (série géométrique) 21-05-09 à 19:06

Merci !!

Effectivement cela fonctionne bien avec evalb(simplify(.)). Je ne comprenais plus grand chose!!
Je me méfierai de cette fonction evalb dorénavant...



Vous devez être membre accéder à ce service...

Pas encore inscrit ?

1 compte par personne, multi-compte interdit !

Ou identifiez-vous :


Rester sur la page

Inscription gratuite

Fiches en rapport

parmi 1768 fiches de maths

Désolé, votre version d'Internet Explorer est plus que périmée ! Merci de le mettre à jour ou de télécharger Firefox ou Google Chrome pour utiliser le site. Votre ordinateur vous remerciera !